Suppr超能文献

使用全球定位系统(GPS),根据比赛位置和连续比赛中对手水平,分析10岁以下七人制足球锦标赛中球员的身体需求。

Physical Demands of U10 Players in a 7-a-Side Soccer Tournament Depending on the Playing Position and Level of Opponents in Consecutive Matches Using Global Positioning Systems (GPS).

作者信息

Hernandez-Martin Antonio, Sanchez-Sanchez Javier, Felipe Jose Luis, Manzano-Carrasco Samuel, Majano Carlos, Gallardo Leonor, Garcia-Unanue Jorge

机构信息

IGOID Research Group, Physical Activity and Sport Sciences Department, University of Castilla-La Mancha, 45071 Toledo, Spain.

School of Sport Sciences, Universidad Europea de Madrid, 28670 Villaviciosa de Odón, Spain.

出版信息

Sensors (Basel). 2020 Dec 6;20(23):6968. doi: 10.3390/s20236968.

Abstract

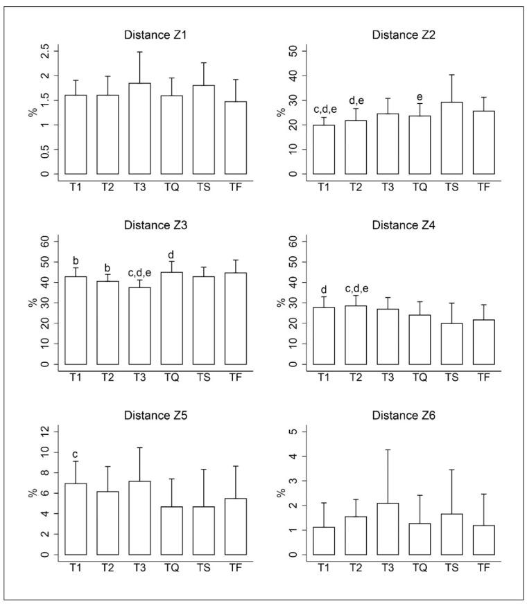
The aim of this study was to analyse the physical demands of U10 players in a 7-a-side-soccer tournament based on the playing positions in 6 consecutive matches by global positioning systems (GPS). Variables of total distance, relative distance in different speed zones, maximum speed, time interval between accelerations, maximum speed acceleration, maximum acceleration, acceleration distance and the number of high-intensity accelerations were analysed. Differences between playing positions were found in the total distance covered by the midfielders. They covered higher total distances than the defenders (+1167 m; 95% CI: 411 to 1922 m; effect size (ES) = 1.41; < 0.05) and forwards (+1388 m; CI 95%: 712 a 2063 m; TE = 0.85; < 0.05). The total covered distance increased in the final rounds with respect to the group stage ( < 0.05; ES: 0.44 to 1.62), and high-intensity actions, such as the number of accelerations, were greater in the final rounds compared to the group stage ( < 0.05; ES: 0.44 to 1.62). The physical performance of young football players in a tournament with consecutive matches on a 40 × 62 m football field on the same day is influenced by the playing position and dependent on the level difference between opponents.

摘要

本研究旨在通过全球定位系统(GPS)分析10岁以下球员在一场七人制足球锦标赛中连续6场比赛的身体需求,基于比赛位置进行分析。分析了总距离、不同速度区域的相对距离、最大速度、加速之间的时间间隔、最大速度加速度、最大加速度、加速距离以及高强度加速次数等变量。发现中场球员覆盖的总距离在比赛位置之间存在差异。他们覆盖的总距离比后卫多(+1167米;95%置信区间:411至1922米;效应大小(ES)=1.41;<0.05),也比前锋多(+1388米;95%置信区间:712至2063米;TE=0.85;<0.05)。与小组赛阶段相比,决赛轮的总覆盖距离有所增加(<0.05;ES:0.44至1.62),并且决赛轮的高强度动作,如加速次数,比小组赛阶段更多(<0.05;ES:0.44至1.62)。在同一天于40×62米足球场进行的连续比赛的锦标赛中,年轻足球运动员的身体表现受比赛位置影响,并取决于对手之间的水平差异。

https://cdn.ncbi.nlm.nih.gov/pmc/blobs/1960/7729596/755a29ea1d93/sensors-20-06968-g001.jpg

文献检索

告别复杂PubMed语法,用中文像聊天一样搜索,搜遍4000万医学文献。AI智能推荐,让科研检索更轻松。

立即免费搜索

文件翻译

保留排版,准确专业,支持PDF/Word/PPT等文件格式,支持 12+语言互译。

免费翻译文档

深度研究

AI帮你快速写综述,25分钟生成高质量综述,智能提取关键信息,辅助科研写作。

立即免费体验