• 文献检索
  • 文档翻译
  • 深度研究
  • 学术资讯
  • Suppr Zotero 插件Zotero 插件
  • 邀请有礼
  • 套餐&价格
  • 历史记录
应用&插件
Suppr Zotero 插件Zotero 插件浏览器插件Mac 客户端Windows 客户端微信小程序
定价
高级版会员购买积分包购买API积分包
服务
文献检索文档翻译深度研究API 文档MCP 服务
关于我们
关于 Suppr公司介绍联系我们用户协议隐私条款
关注我们

Suppr 超能文献

核心技术专利:CN118964589B侵权必究
粤ICP备2023148730 号-1Suppr @ 2026

文献检索

告别复杂PubMed语法,用中文像聊天一样搜索,搜遍4000万医学文献。AI智能推荐,让科研检索更轻松。

立即免费搜索

文件翻译

保留排版,准确专业,支持PDF/Word/PPT等文件格式,支持 12+语言互译。

免费翻译文档

深度研究

AI帮你快速写综述,25分钟生成高质量综述,智能提取关键信息,辅助科研写作。

立即免费体验

左旋和右旋提取物对白细胞介素-10基因敲除小鼠肝脏的抗氧化和抗炎作用

Antioxidant and Anti-Inflammatory Effects of L. and D. Extracts on the Liver of IL-10 Knockout Mice.

作者信息

Baptista Anderson Barbosa, Sarandy Mariáurea M, Gonçalves Reggiani Vilela, Novaes Rômulo Dias, Gonçalves da Costa Cláudio, Leite João Paulo Viana, Peluzio Maria do Carmo Gouveia

机构信息

Department of Nutrition and Health, Universidade Federal de Viçosa, Viçosa, Minas Gerais 36570-900, Brazil.

Department of General Biology, Universidade Federal de Viçosa, Viçosa, Minas Gerais 36570-900, Brazil.

出版信息

Evid Based Complement Alternat Med. 2020 Dec 7;2020:3054521. doi: 10.1155/2020/3054521. eCollection 2020.

DOI:10.1155/2020/3054521
PMID:33376496
原文链接:https://pmc.ncbi.nlm.nih.gov/articles/PMC7744185/
Abstract

BACKGROUND

The L. (cashew) and D. (cajuí) are plants commonly found in Brazil. They present phytochemical compounds with antioxidant and anti-inflammatory action. Therefore, the objective of this study was to analyze the antioxidant and anti-inflammatory activities of ethanolic extracts from leaves of and and its effect on the hepatic tissue in experimental knockout models after they received Paracetamol®.

METHODS

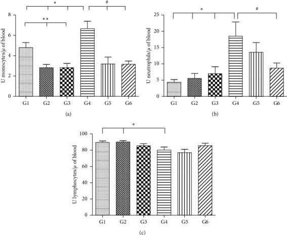
Ethanol extracts from and leaves were prepared. Total phenolics were determined by Folin-Ciocalteau reagent, and flavonoids are based on the complexation reaction with the aluminum metal, forming a colored complex. Fingerprint HPLC was performed to detect phenolic compounds. Knockout IL-10 mice randomly divided into six groups were used and received the following treatments: G1, only water; G2, extract; G3, extract; G4, Paracetamol®; G5, Paracetamol® +  extract (400 mg/kg); G6, Paracetamol® +  extract (400 mg/kg). Biochemical parameters of the blood and differential count of leukocytes were done. Oxidative markers and histopathological analyses were performed on their liver tissue.

RESULTS

Phenolic compounds and total flavonoids were detected in both two extracts analyzed. The HPLC fingerprint detected phenolic acid, gallic acid, and catechin flavonoid in the two extracts. Histopathological analyses of the hepatic tissue permitted evaluation of nuclear increase, sinusoid congestion, and inflammatory infiltrate. pum presented more antioxidant activity increasing antioxidant enzyme levels and reducing TBARS and carbonyl protein when compared to the other treatments after exposure to Paracetamol®. Histopathological analyses showed a decrease in the inflammatory infiltrate after treatment with extracts.

CONCLUSION

Our findings indicate that both extracts, especially , can reduce hepatic damage in knockout mice exposed to paracetamol, indicating the curative power of these extracts reducing lipid peroxidation and in the morphofunctional damage to the liver parenchyma.

摘要

背景

腰果树(L.,腰果)和卡朱伊树(D.)是巴西常见的植物。它们含有具有抗氧化和抗炎作用的植物化学化合物。因此,本研究的目的是分析腰果树和卡朱伊树叶片乙醇提取物的抗氧化和抗炎活性,以及它们对接受扑热息痛后的实验性基因敲除模型肝脏组织的影响。

方法

制备了腰果树和卡朱伊树叶片的乙醇提取物。用福林-西奥尔特试剂测定总酚含量,黄酮类化合物基于与铝金属的络合反应,形成有色络合物。采用高效液相色谱指纹图谱法检测酚类化合物。使用随机分为六组的白细胞介素-10基因敲除小鼠,并给予以下处理:G1,仅饮水;G2,腰果树提取物;G3,卡朱伊树提取物;G4,扑热息痛;G5,扑热息痛+腰果树提取物(400mg/kg);G6,扑热息痛+卡朱伊树提取物(400mg/kg)。进行了血液生化参数和白细胞分类计数。对其肝脏组织进行了氧化标记物和组织病理学分析。

结果

在所分析的两种提取物中均检测到酚类化合物和总黄酮。高效液相色谱指纹图谱在两种提取物中检测到酚酸、没食子酸和儿茶素类黄酮。肝脏组织的组织病理学分析允许评估细胞核增多、窦状隙充血和炎症浸润。与扑热息痛处理后的其他处理相比,腰果树提取物表现出更强的抗氧化活性,增加了抗氧化酶水平,降低了丙二醛和羰基蛋白含量。组织病理学分析显示提取物处理后炎症浸润减少。

结论

我们的研究结果表明,两种提取物,尤其是腰果树提取物,可减轻扑热息痛处理的基因敲除小鼠的肝脏损伤,表明这些提取物具有减轻脂质过氧化和对肝实质形态功能损伤的治疗作用。

https://cdn.ncbi.nlm.nih.gov/pmc/blobs/e86c/7744185/e86886fb0ef8/ECAM2020-3054521.005.jpg
https://cdn.ncbi.nlm.nih.gov/pmc/blobs/e86c/7744185/cd46a8328ed7/ECAM2020-3054521.001.jpg
https://cdn.ncbi.nlm.nih.gov/pmc/blobs/e86c/7744185/81a1b49d4101/ECAM2020-3054521.002.jpg
https://cdn.ncbi.nlm.nih.gov/pmc/blobs/e86c/7744185/c4c6cf565208/ECAM2020-3054521.003.jpg
https://cdn.ncbi.nlm.nih.gov/pmc/blobs/e86c/7744185/4df7cbc3e30f/ECAM2020-3054521.004.jpg
https://cdn.ncbi.nlm.nih.gov/pmc/blobs/e86c/7744185/e86886fb0ef8/ECAM2020-3054521.005.jpg
https://cdn.ncbi.nlm.nih.gov/pmc/blobs/e86c/7744185/cd46a8328ed7/ECAM2020-3054521.001.jpg
https://cdn.ncbi.nlm.nih.gov/pmc/blobs/e86c/7744185/81a1b49d4101/ECAM2020-3054521.002.jpg
https://cdn.ncbi.nlm.nih.gov/pmc/blobs/e86c/7744185/c4c6cf565208/ECAM2020-3054521.003.jpg
https://cdn.ncbi.nlm.nih.gov/pmc/blobs/e86c/7744185/4df7cbc3e30f/ECAM2020-3054521.004.jpg
https://cdn.ncbi.nlm.nih.gov/pmc/blobs/e86c/7744185/e86886fb0ef8/ECAM2020-3054521.005.jpg

相似文献

1
Antioxidant and Anti-Inflammatory Effects of L. and D. Extracts on the Liver of IL-10 Knockout Mice.左旋和右旋提取物对白细胞介素-10基因敲除小鼠肝脏的抗氧化和抗炎作用
Evid Based Complement Alternat Med. 2020 Dec 7;2020:3054521. doi: 10.1155/2020/3054521. eCollection 2020.
2
Antioxidant and Antimicrobial Activities of Crude Extracts and Fractions of Cashew ( L.), Cajui , and Pequi ( C.): A Systematic Review.腰果(L.)、巴西栗(Cajui)和普伊(Pequi)粗提取物和馏分的抗氧化和抗菌活性:系统评价。
Oxid Med Cell Longev. 2018 Apr 18;2018:3753562. doi: 10.1155/2018/3753562. eCollection 2018.
3
Assessment of Phenolic Compounds and Anti-Inflammatory Activity of Ethyl Acetate Phase of Anacardium occidentale L. Bark.腰果树皮乙酸乙酯相的酚类化合物评估及抗炎活性
Molecules. 2016 Aug 19;21(8):1087. doi: 10.3390/molecules21081087.
4
Comparison of supercritical CO extraction and pressurized fluid extraction for isolation of alkaloids from Anacardium occidentale with the study of its anti-inflammatory activity.超临界 CO2 萃取与加压流体萃取法从腰果中分离生物碱及其抗炎活性研究。
J Pharm Biomed Anal. 2024 Apr 15;241:115982. doi: 10.1016/j.jpba.2024.115982. Epub 2024 Jan 13.
5
Phytochemical profiling, antioxidant activities, enzymatic activities and insecticidal potential of aqueous extracts of four plants on the larvae of Helicoverpa armigera (Lepidoptera: Noctuidae), the main pest of cotton plant in Ivory Coast.四种植物的水提物对棉铃虫幼虫(鳞翅目:夜蛾科)的植物化学成分分析、抗氧化活性、酶活性和杀虫潜力,棉铃虫是科特迪瓦棉花作物的主要害虫。
Arch Insect Biochem Physiol. 2023 Jul;113(3):e22017. doi: 10.1002/arch.22017. Epub 2023 Apr 26.
6
Evidence for the involvement of IL-1β and TNF-α in anti-inflammatory effect and antioxidative stress profile of the standardized dried extract from Miconia albicans Sw. (Triana) Leaves (Melastomataceae).证据表明,Miconia albicans Sw.(Melastomataceae)叶标准化干燥提取物的抗炎作用和抗氧化应激特性与白细胞介素-1β(IL-1β)和肿瘤坏死因子-α(TNF-α)有关。
J Ethnopharmacol. 2020 Sep 15;259:112908. doi: 10.1016/j.jep.2020.112908. Epub 2020 May 6.
7
Antioxidant and Anti-Inflammatory Properties of Leaf Extract.叶提取物的抗氧化和抗炎特性
Evid Based Complement Alternat Med. 2017;2017:2787308. doi: 10.1155/2017/2787308. Epub 2017 Aug 17.
8
Ultrasound assisted extraction of antioxidative phenolics from cashew ( L.) leaves.超声辅助从腰果叶中提取抗氧化酚类物质。
J Food Sci Technol. 2019 Apr;56(4):1785-1792. doi: 10.1007/s13197-019-03617-9. Epub 2019 Feb 13.
9
Leaf extract of ameliorates biomarkers of neuroinflammation, memory loss, and neurobehavioral deficit in N(ω)-nitro-L-arginine methyl ester (L-NAME) treated rats.[提取物名称]的叶提取物可改善经N(ω)-硝基-L-精氨酸甲酯(L-NAME)处理的大鼠的神经炎症、记忆丧失和神经行为缺陷的生物标志物。
Biomarkers. 2023 May;28(3):263-272. doi: 10.1080/1354750X.2022.2164354. Epub 2023 Jan 25.
10
Anti-inflammatory and bronchodilatory constituents of leaf extracts of Anacardium occidentale L. in animal models.番荔枝叶提取物在动物模型中的抗炎和支气管扩张成分。
J Integr Med. 2018 Jan;16(1):62-70. doi: 10.1016/j.joim.2017.12.009. Epub 2017 Dec 20.

引用本文的文献

1
Therapeutic potential of curcumin in regenerative dentistry.姜黄素在再生牙科中的治疗潜力。
Front Dent Med. 2025 Mar 24;6:1537478. doi: 10.3389/fdmed.2025.1537478. eCollection 2025.
2
Natural Products That Protect Against Acetaminophen Hepatotoxicity: A Call for Increased Rigor in Preclinical Studies of Dietary Supplements.预防对乙酰氨基酚肝毒性的天然产物:呼吁提高膳食补充剂临床前研究的严谨性。
J Diet Suppl. 2025;22(1):105-122. doi: 10.1080/19390211.2024.2335573. Epub 2024 Apr 1.
3
Immunomodulatory Effect of Phytoactive Compounds on Human Health: A Narrative Review Integrated with Bioinformatics Approach.

本文引用的文献

1
Consumption of . (Cashew Nuts) Inhibits Oxidative Stress through Modulation of the Nrf2/HO-1 and NF-kB Pathways.食用. (腰果) 通过调节 Nrf2/HO-1 和 NF-kB 通路抑制氧化应激。
Molecules. 2020 Sep 26;25(19):4426. doi: 10.3390/molecules25194426.
2
Hepatoprotective Activity of () on Acetaminophen-Induced Toxicity in Mice: Study and Characterization of Bioactive Compounds through Molecular Docking Approaches.()对乙酰氨基酚诱导的小鼠肝毒性的保护作用:通过分子对接方法研究和表征生物活性化合物。
Biomed Res Int. 2020 Aug 31;2020:3807234. doi: 10.1155/2020/3807234. eCollection 2020.
3
Cashew ( L.) Nuts Counteract Oxidative Stress and Inflammation in an Acute Experimental Model of Carrageenan-Induced Paw Edema.
植物活性化合物对人类健康的免疫调节作用:结合生物信息学方法的叙述性综述
Curr Top Med Chem. 2024;24(12):1075-1100. doi: 10.2174/0115680266274272240321065039.
4
Antagonistic effectiveness of Anacardium occidentale leaf extract on lead-acetate exposure-induced hepatorenal toxicity in rats.腰果树叶提取物对醋酸铅暴露诱导的大鼠肝肾毒性的拮抗作用。
Environ Anal Health Toxicol. 2023 Dec;38(4):e2023028-0. doi: 10.5620/eaht.2023028. Epub 2023 Dec 29.
5
Anacardium occidentale L. (cajueiro) in the healing of skin wounds: an experimental study in rats.腰果(巴西栗)在皮肤创伤愈合中的作用:大鼠实验研究。
Acta Cir Bras. 2023 Jan 6;37(10):e371006. doi: 10.1590/acb371006. eCollection 2023.
6
Quercetin-Rich Ethanolic Extract of var Pakphai Leaves Decreased Gene Expression and Secretion of Pro-Inflammatory Mediators in Lipopolysaccharide-Induced Murine RAW264.7 Macrophages.富含槲皮素的 pakphai 叶乙醇提取物可降低脂多糖诱导的小鼠 RAW264.7 巨噬细胞中促炎介质的基因表达和分泌。
Molecules. 2022 Jun 7;27(12):3657. doi: 10.3390/molecules27123657.
腰果(L.)坚果在角叉菜胶诱导的爪肿胀急性实验模型中可对抗氧化应激和炎症。
Antioxidants (Basel). 2020 Jul 24;9(8):660. doi: 10.3390/antiox9080660.
4
Antioxidant, Antimicrobial, and Anticancer Effects of Plants: An Ethnopharmacological Perspective.植物的抗氧化、抗菌和抗癌作用:一种民族药理学视角。
Front Endocrinol (Lausanne). 2020 Jun 12;11:295. doi: 10.3389/fendo.2020.00295. eCollection 2020.
5
The Role of Cashew ( L.) Nuts on an Experimental Model of Painful Degenerative Joint Disease.腰果(L.)坚果在疼痛性退行性关节病实验模型中的作用
Antioxidants (Basel). 2020 Jun 10;9(6):511. doi: 10.3390/antiox9060511.
6
The Antioxidant and Anti-Inflammatory Properties of L. Cashew Nuts in a Mouse Model of Colitis.腰果在结肠炎小鼠模型中的抗氧化和抗炎特性。
Nutrients. 2020 Mar 20;12(3):834. doi: 10.3390/nu12030834.
7
Plants: Chemical,Nutritional Composition and Biotechnological Applications.植物:化学、营养成分与生物技术应用。
Biomolecules. 2019 Sep 9;9(9):465. doi: 10.3390/biom9090465.
8
Application of multivariate optimization for the selective extraction of phenolic compounds in cashew nuts (Anacardium occidentale L.).多元优化在腰果(Anacardium occidentale L.)中酚类化合物选择性提取中的应用。
Talanta. 2019 Dec 1;205:120100. doi: 10.1016/j.talanta.2019.06.100. Epub 2019 Jun 29.
9
The Protective Effect of Fruit Extract on Acetaminophen-Induced Liver Injury in Mice.水果提取物对乙酰氨基酚诱导的小鼠肝损伤的保护作用
Evid Based Complement Alternat Med. 2019 Jun 19;2019:6919834. doi: 10.1155/2019/6919834. eCollection 2019.
10
Extract from L. Berries Protects Against Cadmium-induced Lipid Peroxidation and Oxidative Damage to Proteins and DNA in the Liver: A Study using a Rat Model of Environmental Human Exposure to this Xenobiotic.从 L. 浆果中提取出来的物质可以防止镉引起的脂质过氧化以及对肝脏蛋白质和 DNA 的氧化损伤:一项使用环境中人类接触这种外源性物质的大鼠模型进行的研究。
Nutrients. 2019 Mar 31;11(4):758. doi: 10.3390/nu11040758.