• 文献检索
  • 文档翻译
  • 深度研究
  • 学术资讯
  • Suppr Zotero 插件Zotero 插件
  • 邀请有礼
  • 套餐&价格
  • 历史记录
应用&插件
Suppr Zotero 插件Zotero 插件浏览器插件Mac 客户端Windows 客户端微信小程序
定价
高级版会员购买积分包购买API积分包
服务
文献检索文档翻译深度研究API 文档MCP 服务
关于我们
关于 Suppr公司介绍联系我们用户协议隐私条款
关注我们

Suppr 超能文献

核心技术专利:CN118964589B侵权必究
粤ICP备2023148730 号-1Suppr @ 2026

文献检索

告别复杂PubMed语法,用中文像聊天一样搜索,搜遍4000万医学文献。AI智能推荐,让科研检索更轻松。

立即免费搜索

文件翻译

保留排版,准确专业,支持PDF/Word/PPT等文件格式,支持 12+语言互译。

免费翻译文档

深度研究

AI帮你快速写综述,25分钟生成高质量综述,智能提取关键信息,辅助科研写作。

立即免费体验

乙烯和硫协同调节盐胁迫下芥菜植株的抗氧化系统和脱落酸积累。

Ethylene and Sulfur Coordinately Modulate the Antioxidant System and ABA Accumulation in Mustard Plants under Salt Stress.

作者信息

Fatma Mehar, Iqbal Noushina, Gautam Harsha, Sehar Zebus, Sofo Adriano, D'Ippolito Ilaria, Khan Nafees A

机构信息

Plant Physiology and Biochemistry Laboratory, Department of Botany, Aligarh Muslim University, Aligarh 202002, India.

Department of Botany, Jamia Hamdard, New Delhi 110062, India.

出版信息

Plants (Basel). 2021 Jan 19;10(1):180. doi: 10.3390/plants10010180.

DOI:10.3390/plants10010180
PMID:33478097
原文链接:https://pmc.ncbi.nlm.nih.gov/articles/PMC7835815/
Abstract

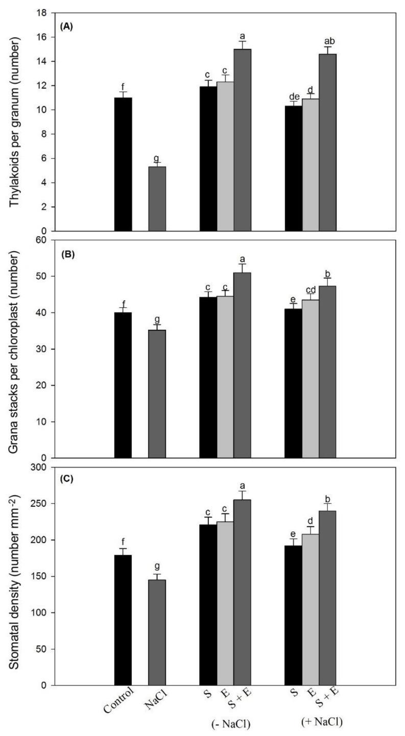
This study explored the interactive effect of ethephon (2-chloroethyl phosphonic acid; an ethylene source) and sulfur (S) in regulating the antioxidant system and ABA content and in maintaining stomatal responses, chloroplast structure, and photosynthetic performance of mustard plants ( L. Czern.) grown under 100 mM NaCl stress. The treatment of ethephon (200 µL L) and S (200 mg S kg soil) together markedly improved the activity of enzymatic and non-enzymatic components of the ascorbate-glutathione (AsA-GSH) cycle, resulting in declined oxidative stress through lesser content of sodium (Na) ion and hydrogen peroxide (HO) in salt-stressed plants These changes promoted the development of chloroplast thylakoids and photosynthetic performance under salt stress. Ethephon + S also reduced abscisic acid (ABA) accumulation in guard cell, leading to maximal stomatal conductance under salt stress. The inhibition of ethylene action by norbornadiene (NBD) in salt- plus non-stressed treated plants increased ABA and HO contents, and reduced stomatal opening, suggesting the involvement of ethephon and S in regulating stomatal conductance. These findings suggest that ethephon and S modulate antioxidant system and ABA accumulation in guard cells, controlling stomatal conductance, and the structure and efficiency of the photosynthetic apparatus in plants under salt stress.

摘要

本研究探讨了乙烯利(2-氯乙基膦酸;一种乙烯源)和硫(S)在调节抗氧化系统和脱落酸(ABA)含量以及维持在100 mM氯化钠胁迫下生长的芥菜(L. Czern.)气孔反应、叶绿体结构和光合性能方面的交互作用。乙烯利(200 µL L)和硫(200 mg S kg土壤)共同处理显著提高了抗坏血酸-谷胱甘肽(AsA-GSH)循环中酶促和非酶促成分的活性,通过降低盐胁迫植物中钠离子(Na)和过氧化氢(HO)的含量减轻了氧化应激。这些变化促进了盐胁迫下叶绿体类囊体的发育和光合性能。乙烯利+硫还减少了保卫细胞中脱落酸(ABA)的积累,导致盐胁迫下气孔导度最大。在盐胁迫和非胁迫处理的植物中,降冰片二烯(NBD)对乙烯作用的抑制增加了ABA和HO的含量,并减少了气孔开放,表明乙烯利和硫参与调节气孔导度。这些发现表明,乙烯利和硫调节抗氧化系统以及保卫细胞中ABA的积累,控制气孔导度以及盐胁迫下植物光合机构的结构和效率。

https://cdn.ncbi.nlm.nih.gov/pmc/blobs/a883/7835815/09d536c95b2a/plants-10-00180-g005.jpg
https://cdn.ncbi.nlm.nih.gov/pmc/blobs/a883/7835815/5f90afaabe6b/plants-10-00180-g001.jpg
https://cdn.ncbi.nlm.nih.gov/pmc/blobs/a883/7835815/3da849a06ec0/plants-10-00180-g002.jpg
https://cdn.ncbi.nlm.nih.gov/pmc/blobs/a883/7835815/7d9487baec38/plants-10-00180-g003.jpg
https://cdn.ncbi.nlm.nih.gov/pmc/blobs/a883/7835815/64ec4b447415/plants-10-00180-g004.jpg
https://cdn.ncbi.nlm.nih.gov/pmc/blobs/a883/7835815/09d536c95b2a/plants-10-00180-g005.jpg
https://cdn.ncbi.nlm.nih.gov/pmc/blobs/a883/7835815/5f90afaabe6b/plants-10-00180-g001.jpg
https://cdn.ncbi.nlm.nih.gov/pmc/blobs/a883/7835815/3da849a06ec0/plants-10-00180-g002.jpg
https://cdn.ncbi.nlm.nih.gov/pmc/blobs/a883/7835815/7d9487baec38/plants-10-00180-g003.jpg
https://cdn.ncbi.nlm.nih.gov/pmc/blobs/a883/7835815/64ec4b447415/plants-10-00180-g004.jpg
https://cdn.ncbi.nlm.nih.gov/pmc/blobs/a883/7835815/09d536c95b2a/plants-10-00180-g005.jpg

相似文献

1
Ethylene and Sulfur Coordinately Modulate the Antioxidant System and ABA Accumulation in Mustard Plants under Salt Stress.乙烯和硫协同调节盐胁迫下芥菜植株的抗氧化系统和脱落酸积累。
Plants (Basel). 2021 Jan 19;10(1):180. doi: 10.3390/plants10010180.
2
Ethylene Suppresses Abscisic Acid, Modulates Antioxidant System to Counteract Arsenic-Inhibited Photosynthetic Performance in the Presence of Selenium in Mustard.乙烯抑制脱落酸,调节抗氧化系统以在芥菜中存在硒的情况下对抗砷抑制的光合性能。
Front Plant Sci. 2022 May 16;13:852704. doi: 10.3389/fpls.2022.852704. eCollection 2022.
3
Nitric Oxide Alleviates Salt Stress Inhibited Photosynthetic Performance by Interacting with Sulfur Assimilation in Mustard.一氧化氮通过与芥菜中硫同化作用相互作用缓解盐胁迫对光合性能的抑制
Front Plant Sci. 2016 Apr 25;7:521. doi: 10.3389/fpls.2016.00521. eCollection 2016.
4
Ethylene reverses photosynthetic inhibition by nickel and zinc in mustard through changes in PS II activity, photosynthetic nitrogen use efficiency, and antioxidant metabolism.乙烯通过改变光系统II活性、光合氮利用效率和抗氧化代谢,逆转了镍和锌对芥菜光合作用的抑制作用。
Protoplasma. 2014 Sep;251(5):1007-19. doi: 10.1007/s00709-014-0610-7. Epub 2014 Jan 30.
5
Ethephon increases photosynthetic-nitrogen use efficiency, proline and antioxidant metabolism to alleviate decrease in photosynthesis under salinity stress in mustard.乙烯利可提高芥菜在盐胁迫下的光合氮利用效率、脯氨酸含量及抗氧化代谢能力,以减轻光合作用的下降。
Plant Signal Behav. 2017 May 4;12(5):e1297000. doi: 10.1080/15592324.2017.1297000. Epub 2017 May 24.
6
Ethylene Is Crucial in Abscisic Acid-Mediated Modulation of Seed Vigor, Growth, and Photosynthesis of Salt-Treated Mustard.乙烯在脱落酸介导的盐处理芥菜种子活力、生长和光合作用调节中起关键作用。
Plants (Basel). 2024 Aug 19;13(16):2307. doi: 10.3390/plants13162307.
7
Ethylene-nitrogen synergism induces tolerance to copper stress by modulating antioxidant system and nitrogen metabolism and improves photosynthetic capacity in mustard.乙烯-氮协同作用通过调节抗氧化系统和氮代谢诱导对铜胁迫的耐受性,并提高芥菜的光合作用能力。
Environ Sci Pollut Res Int. 2022 Jul;29(32):49029-49049. doi: 10.1007/s11356-022-19380-y. Epub 2022 Feb 25.
8
Ethylene Potentiates Sulfur-Mediated Reversal of Cadmium Inhibited Photosynthetic Responses in Mustard.乙烯增强硫介导的对镉抑制芥菜光合反应的逆转作用。
Front Plant Sci. 2016 Nov 2;7:1628. doi: 10.3389/fpls.2016.01628. eCollection 2016.
9
Ethylene Supplementation Combined with Split Application of Nitrogen and Sulfur Protects Salt-Inhibited Photosynthesis through Optimization of Proline Metabolism and Antioxidant System in Mustard ( L.).乙烯补充结合氮和硫的分次施用通过优化芥菜脯氨酸代谢和抗氧化系统来保护盐抑制的光合作用。
Plants (Basel). 2021 Jun 27;10(7):1303. doi: 10.3390/plants10071303.
10
Involvement of ethylene in gibberellic acid-induced sulfur assimilation, photosynthetic responses, and alleviation of cadmium stress in mustard.乙烯参与赤霉素诱导的芥菜硫同化、光合响应及镉胁迫缓解过程。
Plant Physiol Biochem. 2016 Jul;104:1-10. doi: 10.1016/j.plaphy.2016.03.017. Epub 2016 Mar 12.

引用本文的文献

1
Potassium and methionine mitigate the alternate bearing of Balady mandarin via reducing gibberellins and increasing salicylic acid and auxins.钾和蛋氨酸通过降低赤霉素含量、增加水杨酸和生长素含量来减轻巴拉迪柑桔的隔年结果现象。
Sci Rep. 2025 Jun 20;15(1):20141. doi: 10.1038/s41598-025-04943-z.
2
Dressed Up to the Nines: The Interplay of Phytohormones Signaling and Redox Metabolism During Plant Response to Drought.盛装以待:植物对干旱响应过程中植物激素信号传导与氧化还原代谢的相互作用
Plants (Basel). 2025 Jan 13;14(2):208. doi: 10.3390/plants14020208.
3
Integrative physiological, biochemical, and proteomic analysis of the leaves of two cotton genotypes under heat stress.

本文引用的文献

1
Ethylene involvement in the regulation of Fe-deficiency stress responses by Strategy I plants.乙烯参与策略I植物缺铁胁迫反应的调控。
Funct Plant Biol. 2004 May;31(4):315-328. doi: 10.1071/FP03165.
2
Ethylene: A Master Regulator of Salinity Stress Tolerance in Plants.乙烯:植物耐盐胁迫的主控调节剂。
Biomolecules. 2020 Jun 25;10(6):959. doi: 10.3390/biom10060959.
3
Low Salinity Improves Photosynthetic Performance in Under Drought Stress.低盐度改善干旱胁迫下的光合性能。
热胁迫下两种棉花基因型叶片的综合生理、生化和蛋白质组学分析
PLoS One. 2025 Jan 9;20(1):e0316630. doi: 10.1371/journal.pone.0316630. eCollection 2025.
4
Ethylene Is Crucial in Abscisic Acid-Mediated Modulation of Seed Vigor, Growth, and Photosynthesis of Salt-Treated Mustard.乙烯在脱落酸介导的盐处理芥菜种子活力、生长和光合作用调节中起关键作用。
Plants (Basel). 2024 Aug 19;13(16):2307. doi: 10.3390/plants13162307.
5
Concordant Gene Expression and Alternative Splicing Regulation under Abiotic Stresses in Arabidopsis.拟南芥非生物胁迫下基因表达和可变剪接调控的一致性。
Genes (Basel). 2024 May 23;15(6):675. doi: 10.3390/genes15060675.
6
Nitric Oxide and Proline Modulate Redox Homeostasis and Photosynthetic Metabolism in Wheat Plants under High Temperature Stress Acclimation.一氧化氮和脯氨酸在高温胁迫适应下调节小麦植株的氧化还原稳态和光合代谢
Plants (Basel). 2023 Mar 10;12(6):1256. doi: 10.3390/plants12061256.
7
Ethylene and Jasmonates Signaling Network Mediating Secondary Metabolites under Abiotic Stress.乙烯和茉莉酸信号网络介导非生物胁迫下的次生代谢物。
Int J Mol Sci. 2023 Mar 22;24(6):5990. doi: 10.3390/ijms24065990.
8
Biomining for halotolerant PGPR and endophytes for promotion of salt tolerance in L.利用生物采矿获取耐盐植物根际促生细菌和内生菌以提高番茄耐盐性
Front Microbiol. 2023 Feb 14;14:1085787. doi: 10.3389/fmicb.2023.1085787. eCollection 2023.
9
Nitric Oxide and Salicylic Acid Regulate Glutathione and Ethylene Production to Enhance Heat Stress Acclimation in Wheat Involving Sulfur Assimilation.一氧化氮和水杨酸通过调节谷胱甘肽和乙烯生成来增强小麦对热胁迫的适应性,这一过程涉及硫同化作用。
Plants (Basel). 2022 Nov 16;11(22):3131. doi: 10.3390/plants11223131.
10
Mulberry based zinc nano-particles mitigate salinity induced toxic effects and improve the grain yield and zinc bio-fortification of wheat by improving antioxidant activities, photosynthetic performance, and accumulation of osmolytes and hormones.基于桑椹的锌纳米颗粒通过提高抗氧化活性、光合性能以及渗透调节物质和激素的积累,减轻盐胁迫诱导的毒性效应,提高小麦的籽粒产量和锌生物强化。
Front Plant Sci. 2022 Sep 27;13:920570. doi: 10.3389/fpls.2022.920570. eCollection 2022.
Front Plant Sci. 2020 May 29;11:481. doi: 10.3389/fpls.2020.00481. eCollection 2020.
4
Salt Tolerance Mechanisms of Plants.植物的耐盐机制。
Annu Rev Plant Biol. 2020 Apr 29;71:403-433. doi: 10.1146/annurev-arplant-050718-100005. Epub 2020 Mar 13.
5
The role of endogenous nitric oxide in salicylic acid-induced up-regulation of ascorbate-glutathione cycle involved in salinity tolerance of pepper (Capsicum annuum L.) plants.内源一氧化氮在水杨酸诱导的参与辣椒(Capsicum annuum L.)耐盐性的抗坏血酸-谷胱甘肽循环上调中的作用。
Plant Physiol Biochem. 2020 Feb;147:10-20. doi: 10.1016/j.plaphy.2019.11.040. Epub 2019 Dec 9.
6
Exogenously-Sourced Ethylene Modulates Defense Mechanisms and Promotes Tolerance to Zinc Stress in Mustard ( L.).外源乙烯调节芥菜(L.)的防御机制并增强其对锌胁迫的耐受性。
Plants (Basel). 2019 Nov 25;8(12):540. doi: 10.3390/plants8120540.
7
New insights into cadmium stressful-conditions: Role of ethylene on selenium-mediated antioxidant enzymes.关于镉胁迫条件的新见解:乙烯在硒介导的抗氧化酶中的作用。
Ecotoxicol Environ Saf. 2019 Dec 30;186:109747. doi: 10.1016/j.ecoenv.2019.109747. Epub 2019 Oct 18.
8
Regulation of Ascorbate-Glutathione Pathway in Mitigating Oxidative Damage in Plants under Abiotic Stress.非生物胁迫下植物中抗坏血酸-谷胱甘肽途径对减轻氧化损伤的调控
Antioxidants (Basel). 2019 Sep 9;8(9):384. doi: 10.3390/antiox8090384.
9
Ethylene Inhibits Methyl Jasmonate-Induced Stomatal Closure by Modulating Guard Cell Slow-Type Anion Channel Activity via the OPEN STOMATA 1/SnRK2.6 Kinase-Independent Pathway in Arabidopsis.乙烯通过 OPEN STOMATA 1/SnRK2.6 激酶非依赖途径调控保卫细胞慢型阴离子通道活性抑制茉莉酸甲酯诱导的气孔关闭。
Plant Cell Physiol. 2019 Oct 1;60(10):2263-2271. doi: 10.1093/pcp/pcz121.
10
Reactive oxygen species signaling and stomatal movement in plant responses to drought stress and pathogen attack.活性氧信号转导与气孔运动在植物应对干旱胁迫和病原体攻击中的作用。
J Integr Plant Biol. 2018 Sep;60(9):805-826. doi: 10.1111/jipb.12654. Epub 2018 Jul 3.