• 文献检索
  • 文档翻译
  • 深度研究
  • 学术资讯
  • Suppr Zotero 插件Zotero 插件
  • 邀请有礼
  • 套餐&价格
  • 历史记录
应用&插件
Suppr Zotero 插件Zotero 插件浏览器插件Mac 客户端Windows 客户端微信小程序
定价
高级版会员购买积分包购买API积分包
服务
文献检索文档翻译深度研究API 文档MCP 服务
关于我们
关于 Suppr公司介绍联系我们用户协议隐私条款
关注我们

Suppr 超能文献

核心技术专利:CN118964589B侵权必究
粤ICP备2023148730 号-1Suppr @ 2026

文献检索

告别复杂PubMed语法,用中文像聊天一样搜索,搜遍4000万医学文献。AI智能推荐,让科研检索更轻松。

立即免费搜索

文件翻译

保留排版,准确专业,支持PDF/Word/PPT等文件格式,支持 12+语言互译。

免费翻译文档

深度研究

AI帮你快速写综述,25分钟生成高质量综述,智能提取关键信息,辅助科研写作。

立即免费体验

认知功能与分裂型人格特质:一项为期四年的研究。

Cognitive Functioning and Schizotypy: A Four-Years Study.

作者信息

Karamaouna Penny, Zouraraki Chrysoula, Giakoumaki Stella G

机构信息

Laboratory of Neuropsychology, Department of Psychology, Faculty of Social Sciences, University of Crete, Rethymno, Greece.

University of Crete Research Center for the Humanities, The Social and Educational Sciences (UCRC), University of Crete, Rethymno, Greece.

出版信息

Front Psychiatry. 2021 Jan 8;11:613015. doi: 10.3389/fpsyt.2020.613015. eCollection 2020.

DOI:10.3389/fpsyt.2020.613015
PMID:33488431
原文链接:https://pmc.ncbi.nlm.nih.gov/articles/PMC7820122/
Abstract

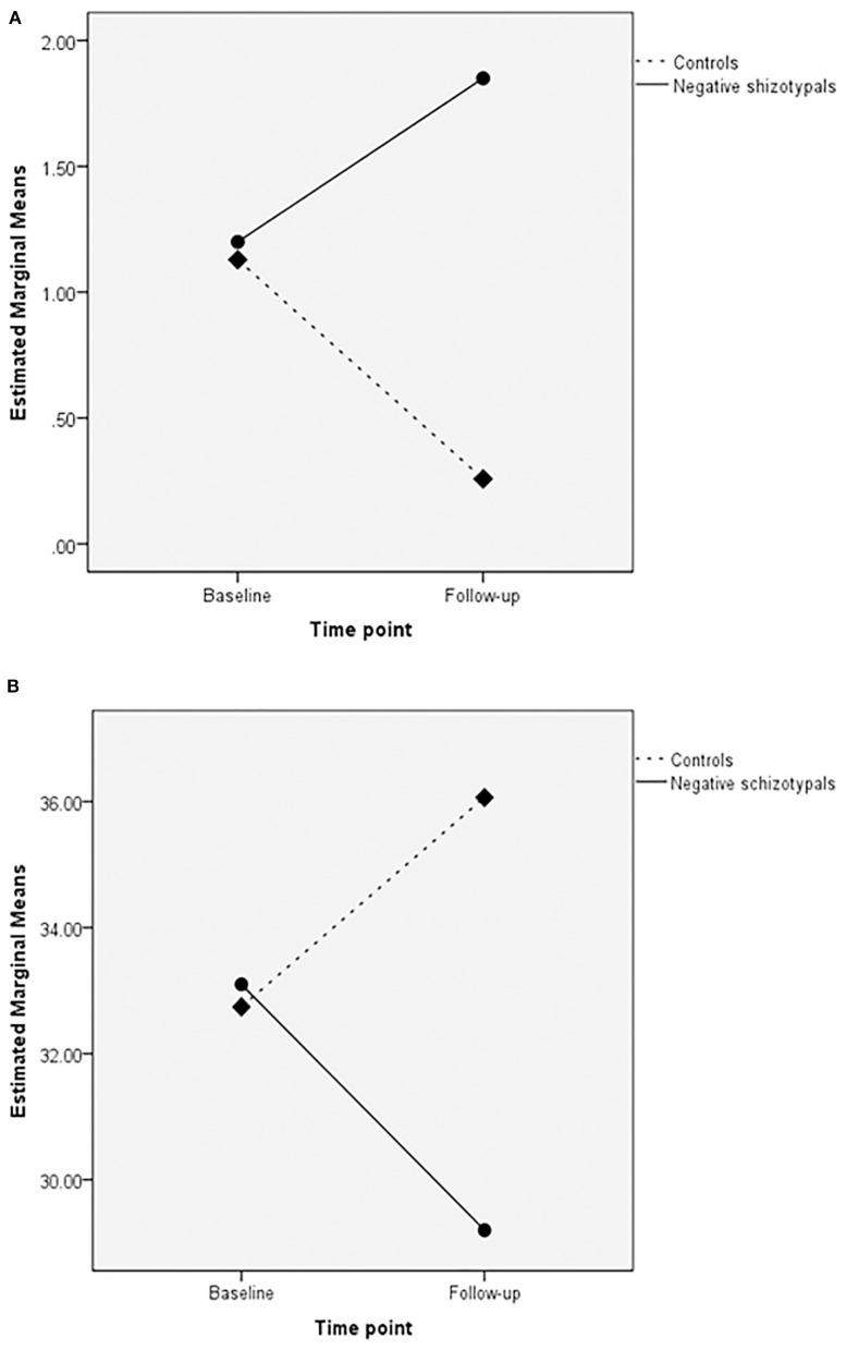
Although there is ample evidence from cross-sectional studies indicating cognitive deficits in high schizotypal individuals that resemble the cognitive profile of schizophrenia-spectrum patients, there is still lack of evidence by longitudinal/follow-up studies. The present study included assessments of schizotypal traits and a wide range of cognitive functions at two time points (baseline and 4-years assessments) in order to examine (a) their stability over time, (b) the predictive value of baseline schizotypy on cognition at follow-up and (c) differences in cognition between the two time points in high negative schizotypal and control individuals. Only high negative schizotypal individuals were compared with controls due to the limited number of participants falling in the other schizotypal groups at follow-up. Seventy participants (mean age: 36.17; 70% females) were assessed at baseline and follow-up. Schizotypal traits were evaluated with the Schizotypal Personality Questionnaire. We found that schizotypal traits decreased over time, except in a sub-group of participants ("schizotypy congruent") that includes individuals who consistently meet normative criteria of inclusion in either a schizotypal or control group. In these individuals, negative schizotypy and aspects of cognitive-perceptual and disorganized schizotypy remained stable. The stability of cognitive functioning also varied over time: response inhibition, aspects of cued attention switching, set-shifting and phonemic/semantic verbal fluency improved at follow-up. High negative schizotypy at baseline predicted poorer response inhibition and semantic switching at follow-up while high disorganized schizotypy predicted poorer semantic processing and complex processing speed/set-shifting. The between-group analyses revealed that response inhibition, set-shifting and complex processing speed/set-shifting were poorer in negative schizotypals compared with controls at both time points, while maintaining set and semantic switching were poorer only at follow-up. Taken together, the findings show differential stability of the schizotypal traits over time and indicate that different aspects of schizotypy predict a different pattern of neuropsychological task performance during a 4-years time window. These results are of significant use in the formulation of targeted early-intervention strategies for high-risk populations.

摘要

尽管横断面研究有充分证据表明,高分裂型人格特质个体存在认知缺陷,类似于精神分裂症谱系患者的认知特征,但纵向/随访研究仍缺乏相关证据。本研究在两个时间点(基线和4年评估)对分裂型人格特质和广泛的认知功能进行了评估,以检验:(a)它们随时间的稳定性;(b)基线分裂型人格特质对随访时认知的预测价值;(c)高阴性分裂型人格特质个体与对照组在两个时间点的认知差异。由于随访时其他分裂型人格特质组的参与者数量有限,仅将高阴性分裂型人格特质个体与对照组进行了比较。70名参与者(平均年龄:36.17岁;70%为女性)在基线和随访时接受了评估。使用分裂型人格问卷评估分裂型人格特质。我们发现,除了一组参与者(“分裂型人格特质一致组”)外,分裂型人格特质随时间下降,该组包括始终符合分裂型人格特质组或对照组纳入标准的个体。在这些个体中,阴性分裂型人格特质以及认知-感知和紊乱型分裂型人格特质的各个方面保持稳定。认知功能的稳定性也随时间变化:随访时反应抑制、线索提示注意转换、定势转换以及音素/语义言语流畅性方面有所改善。基线时高阴性分裂型人格特质预测随访时反应抑制和语义转换较差,而高紊乱型分裂型人格特质预测语义加工和复杂加工速度/定势转换较差。组间分析显示,在两个时间点,阴性分裂型人格特质个体的反应抑制、定势转换和复杂加工速度/定势转换均比对照组差,而保持定势和语义转换仅在随访时较差。综上所述,研究结果表明分裂型人格特质随时间具有不同的稳定性,并表明在4年的时间窗口内,分裂型人格特质的不同方面预测了不同模式的神经心理学任务表现。这些结果对于为高危人群制定有针对性的早期干预策略具有重要意义。

https://cdn.ncbi.nlm.nih.gov/pmc/blobs/5793/7820122/c2c50f5c51dc/fpsyt-11-613015-g0001.jpg
https://cdn.ncbi.nlm.nih.gov/pmc/blobs/5793/7820122/c2c50f5c51dc/fpsyt-11-613015-g0001.jpg
https://cdn.ncbi.nlm.nih.gov/pmc/blobs/5793/7820122/c2c50f5c51dc/fpsyt-11-613015-g0001.jpg

相似文献

1
Cognitive Functioning and Schizotypy: A Four-Years Study.认知功能与分裂型人格特质:一项为期四年的研究。
Front Psychiatry. 2021 Jan 8;11:613015. doi: 10.3389/fpsyt.2020.613015. eCollection 2020.
2
Cognitive profiles of schizotypal dimensions in a community cohort: Common properties of differential manifestations.社区队列中分裂型维度的认知特征:差异表现的共同特性
J Clin Exp Neuropsychol. 2016 Nov;38(9):1050-63. doi: 10.1080/13803395.2016.1188890. Epub 2016 Jun 13.
3
Self-perceived cognitive lapses and psychological well-being in schizotypy: Generalized and domain-specific associations.感知认知失误与精神分裂症倾向者的心理健康:泛化与领域特定的关联。
Scand J Psychol. 2021 Apr;62(2):134-140. doi: 10.1111/sjop.12704. Epub 2020 Dec 29.
4
Schizotypy-Independent and Schizotypy-Modulated Cognitive Impairments in Unaffected First-Degree Relatives of Schizophrenia-spectrum Patients.精神分裂症谱系患者未患病的一级亲属中与分裂型人格特质无关及受分裂型人格特质调节的认知障碍
Arch Clin Neuropsychol. 2017 Dec 1;32(8):1010-1025. doi: 10.1093/arclin/acx029.
5
Cognitive-perceptual and disorganized schizotypal traits are nonlinearly related to atypical semantic content on tasks of semantic fluency.在语义流畅性任务中,认知感知和紊乱的分裂型特质与非典型语义内容呈非线性相关。
J Psychiatr Res. 2021 Apr;136:7-13. doi: 10.1016/j.jpsychires.2021.01.038. Epub 2021 Jan 25.
6
Schizotypal traits and neuropsychological performance: The role of processing speed.分裂型特质与神经心理学表现:加工速度的作用。
Schizophr Res. 2020 Sep;223:128-134. doi: 10.1016/j.schres.2020.06.030. Epub 2020 Jul 4.
7
Visual Verbal Information Processing under Conditions of Reading and Categorization in Schizotypy: An Event-Related Brain Potential Study.精神分裂症倾向个体阅读和分类条件下的视-言语信息加工:一项事件相关脑电位研究。
J Integr Neurosci. 2023 Feb 16;22(2):35. doi: 10.31083/j.jin2202035.
8
Cognitive and Affective Theory of Mind in Positive Schizotypy: Relationship to Schizotypal Traits and Psychosocial Functioning.正精神分裂症倾向的认知和情感心理理论:与精神分裂症特质和心理社会功能的关系。
J Pers Disord. 2021 Aug;35(4):538-553. doi: 10.1521/pedi_2020_34_473. Epub 2020 Mar 12.
9
Clustering of Schizotypal Features in Unaffected First-Degree Relatives of Schizophrenia Patients.精神分裂症患者未受影响的一级亲属中精神分裂症特征的聚类。
Schizophr Bull. 2018 Oct 15;44(suppl_2):S536-S546. doi: 10.1093/schbul/sby035.
10
Schizotypy and clinical symptoms, cognitive function, and quality of life in individuals with a psychotic disorder.精神分裂症样人格特质与精神病性障碍患者的临床症状、认知功能及生活质量
Schizophr Res. 2015 Aug;166(1-3):92-7. doi: 10.1016/j.schres.2015.04.038. Epub 2015 May 19.

引用本文的文献

1
Neuro- and social-cognition in schizotypal personality disorder and schizophrenia: A spectrum of severity.分裂型人格障碍和精神分裂症中的神经认知与社会认知:严重程度谱
Psychiatry Res. 2025 Jun;348:116445. doi: 10.1016/j.psychres.2025.116445. Epub 2025 Mar 15.
2
Facial Emotion Recognition and its Associations With Psychological Well-Being Across Four Schizotypal Dimensions: a Cross-Sectional Study.面部表情识别及其与精神分裂症四个维度心理健康的关联:一项横断面研究。
Arch Clin Neuropsychol. 2025 Jul 25;40(5):965-976. doi: 10.1093/arclin/acae123.
3
Quantifying the effects of practicing a semantic task according to subclinical schizotypy.

本文引用的文献

1
Social anhedonia and clinical outcomes in early adulthood: A three-year follow-up study within a community sample.成年早期的社交快感缺乏与临床结局:一项社区样本中的三年随访研究。
Schizophr Res. 2020 Sep;223:213-219. doi: 10.1016/j.schres.2020.07.024. Epub 2020 Aug 10.
2
Dynamic reconfiguration of functional brain networks supporting response inhibition in a stop-signal task.在停止信号任务中支持反应抑制的功能脑网络的动态重新配置。
Brain Imaging Behav. 2020 Dec;14(6):2500-2511. doi: 10.1007/s11682-019-00203-7.
3
Anterior vs Posterior Hippocampal Subfields in an Extended Psychosis Phenotype of Multidimensional Schizotypy in a Nonclinical Sample.
根据亚临床精神分裂症特质量化执行语义任务的效果。
Sci Rep. 2024 Feb 5;14(1):2900. doi: 10.1038/s41598-024-53468-4.
4
The effect of schizotypy on spatial learning in an environment with a distinctive shape.精神分裂型人格特质对在具有独特形状环境中的空间学习的影响。
Front Psychol. 2022 Jul 29;13:929653. doi: 10.3389/fpsyg.2022.929653. eCollection 2022.
非临床样本中多维精神分裂症样表现的扩展精神病表型中前后海马亚区的比较。
Schizophr Bull. 2021 Jan 23;47(1):207-218. doi: 10.1093/schbul/sbaa099.
4
Recruiting the right hemisphere: Sex differences in inter-hemispheric communication during semantic verbal fluency.招募右半球:语义流畅性任务中左右半球间通讯的性别差异。
Brain Lang. 2020 Aug;207:104814. doi: 10.1016/j.bandl.2020.104814. Epub 2020 Jun 2.
5
A multimodal imaging study of brain structural correlates of schizotypy dimensions using the MSS.使用 MSS 对精神分裂症特质维度的大脑结构相关性进行多模态成像研究。
Psychiatry Res Neuroimaging. 2020 Aug 30;302:111104. doi: 10.1016/j.pscychresns.2020.111104. Epub 2020 May 25.
6
Neural Correlates of Verb Fluency Performance in Cognitively Healthy Older Adults and Individuals With Dementia: A Pilot fMRI Study.认知健康的老年人和痴呆症患者动词流畅性表现的神经关联:一项fMRI试点研究
Front Aging Neurosci. 2020 Mar 20;12:73. doi: 10.3389/fnagi.2020.00073. eCollection 2020.
7
Developmental Trajectories of Cortical Thickness in Relation to Schizotypy During Adolescence.青春期皮质厚度与分裂型人格特质相关的发育轨迹
Schizophr Bull. 2020 Sep 21;46(5):1306-1316. doi: 10.1093/schbul/sbaa020.
8
No evidence for the reduction of task competition and attentional adjustment during task-switching practice.在任务转换练习过程中,没有证据表明任务竞争和注意力调整有所减少。
Acta Psychol (Amst). 2020 Mar;204:103036. doi: 10.1016/j.actpsy.2020.103036. Epub 2020 Feb 18.
9
Examining 3-month test-retest reliability and reliable change using the Cambridge Neuropsychological Test Automated Battery.使用剑桥神经心理测试自动成套系统检验3个月的重测信度和可靠变化。
Appl Neuropsychol Adult. 2022 Mar-Apr;29(2):146-154. doi: 10.1080/23279095.2020.1722126. Epub 2020 Feb 21.
10
Neuroimaging in Schizophrenia.精神分裂症的神经影像学研究。
Neuroimaging Clin N Am. 2020 Feb;30(1):73-83. doi: 10.1016/j.nic.2019.09.007. Epub 2019 Nov 11.