• 文献检索
  • 文档翻译
  • 深度研究
  • 学术资讯
  • Suppr Zotero 插件Zotero 插件
  • 邀请有礼
  • 套餐&价格
  • 历史记录
应用&插件
Suppr Zotero 插件Zotero 插件浏览器插件Mac 客户端Windows 客户端微信小程序
定价
高级版会员购买积分包购买API积分包
服务
文献检索文档翻译深度研究API 文档MCP 服务
关于我们
关于 Suppr公司介绍联系我们用户协议隐私条款
关注我们

Suppr 超能文献

核心技术专利:CN118964589B侵权必究
粤ICP备2023148730 号-1Suppr @ 2026

文献检索

告别复杂PubMed语法,用中文像聊天一样搜索,搜遍4000万医学文献。AI智能推荐,让科研检索更轻松。

立即免费搜索

文件翻译

保留排版,准确专业,支持PDF/Word/PPT等文件格式,支持 12+语言互译。

免费翻译文档

深度研究

AI帮你快速写综述,25分钟生成高质量综述,智能提取关键信息,辅助科研写作。

立即免费体验

木质素衍生基质生产香草胺的恶臭假单胞菌代谢工程。

Metabolic engineering of Pseudomonas putida for production of vanillylamine from lignin-derived substrates.

机构信息

Grupo Engenharia de Biocatalisadores, Instituto de Ciências Biológicas, Universidade de Brasília, Brasília, Brazil.

Division of Applied Microbiology, Department of Chemistry, Faculty of Engineering, Lund University, PO Box 124, Lund, 221 00, Sweden.

出版信息

Microb Biotechnol. 2021 Nov;14(6):2448-2462. doi: 10.1111/1751-7915.13764. Epub 2021 Feb 3.

DOI:10.1111/1751-7915.13764
PMID:33533574
原文链接:https://pmc.ncbi.nlm.nih.gov/articles/PMC8601178/
Abstract

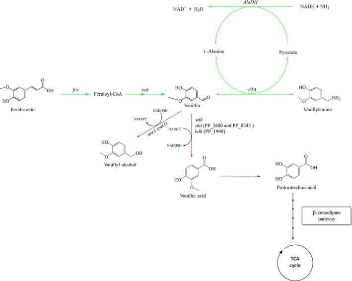
Whole-cell bioconversion of technical lignins using Pseudomonas putida strains overexpressing amine transaminases (ATAs) has the potential to become an eco-efficient route to produce phenolic amines. Here, a novel cell growth-based screening method to evaluate the in vivo activity of recombinant ATAs towards vanillylamine in P. putida KT2440 was developed. It allowed the identification of the native enzyme Pp-SpuC-II and ATA from Chromobacterium violaceum (Cv-ATA) as highly active towards vanillylamine in vivo. Overexpression of Pp-SpuC-II and Cv-ATA in the strain GN442ΔPP_2426, previously engineered for reduced vanillin assimilation, resulted in 94- and 92-fold increased specific transaminase activity, respectively. Whole-cell bioconversion of vanillin yielded 0.70 ± 0.20 mM and 0.92 ± 0.30 mM vanillylamine, for Pp-SpuC-II and Cv-ATA, respectively. Still, amine production was limited by a substantial re-assimilation of the product and formation of the by-products vanillic acid and vanillyl alcohol. Concomitant overexpression of Cv-ATA and alanine dehydrogenase from Bacillus subtilis increased the production of vanillylamine with ammonium as the only nitrogen source and a reduction in the amount of amine product re-assimilation. Identification and deletion of additional native genes encoding oxidoreductases acting on vanillin are crucial engineering targets for further improvement.

摘要

利用过表达胺转氨酶(ATAs)的恶臭假单胞菌菌株对工业木质素进行全细胞生物转化,有可能成为生产酚胺的生态高效途径。在此,开发了一种新的基于细胞生长的筛选方法,用于评估重组 ATAs 在恶臭假单胞菌 KT2440 中对香草基胺的体内活性。它鉴定了天然酶 Pp-SpuC-II 和来自类杆菌属(Cv-ATA)的 ATA 对香草基胺具有高的体内活性。在先前为降低香草醛同化而工程改造的菌株 GN442ΔPP_2426 中过表达 Pp-SpuC-II 和 Cv-ATA,分别导致特异性转氨酶活性分别提高了 94 倍和 92 倍。全细胞生物转化香草醛产生了 0.70±0.20mM 和 0.92±0.30mM 的香草基胺,分别来自 Pp-SpuC-II 和 Cv-ATA。尽管如此,由于产品的大量再同化和副产物香草酸和香草醇的形成,胺的生产受到限制。同时过表达来自枯草芽孢杆菌的 Cv-ATA 和丙氨酸脱氢酶,增加了以铵作为唯一氮源的香草基胺的产量,并减少了胺产物的再同化量。鉴定和缺失其他编码对香草醛起作用的氧化还原酶的天然基因是进一步提高的关键工程目标。

https://cdn.ncbi.nlm.nih.gov/pmc/blobs/e126/8601178/b39e9a994ac3/MBT2-14-2448-g003.jpg
https://cdn.ncbi.nlm.nih.gov/pmc/blobs/e126/8601178/a91947af8a6c/MBT2-14-2448-g006.jpg
https://cdn.ncbi.nlm.nih.gov/pmc/blobs/e126/8601178/63c6894e49cc/MBT2-14-2448-g004.jpg
https://cdn.ncbi.nlm.nih.gov/pmc/blobs/e126/8601178/ef1b881fccec/MBT2-14-2448-g001.jpg
https://cdn.ncbi.nlm.nih.gov/pmc/blobs/e126/8601178/50d44db7f92a/MBT2-14-2448-g002.jpg
https://cdn.ncbi.nlm.nih.gov/pmc/blobs/e126/8601178/b39e9a994ac3/MBT2-14-2448-g003.jpg
https://cdn.ncbi.nlm.nih.gov/pmc/blobs/e126/8601178/a91947af8a6c/MBT2-14-2448-g006.jpg
https://cdn.ncbi.nlm.nih.gov/pmc/blobs/e126/8601178/63c6894e49cc/MBT2-14-2448-g004.jpg
https://cdn.ncbi.nlm.nih.gov/pmc/blobs/e126/8601178/ef1b881fccec/MBT2-14-2448-g001.jpg
https://cdn.ncbi.nlm.nih.gov/pmc/blobs/e126/8601178/50d44db7f92a/MBT2-14-2448-g002.jpg
https://cdn.ncbi.nlm.nih.gov/pmc/blobs/e126/8601178/b39e9a994ac3/MBT2-14-2448-g003.jpg

相似文献

1
Metabolic engineering of Pseudomonas putida for production of vanillylamine from lignin-derived substrates.木质素衍生基质生产香草胺的恶臭假单胞菌代谢工程。
Microb Biotechnol. 2021 Nov;14(6):2448-2462. doi: 10.1111/1751-7915.13764. Epub 2021 Feb 3.
2
Vanillin Production in : Whole-Genome Sequencing of sp. Strain 9.1 and Reannotation of Pseudomonas putida CalA as a Vanillin Reductase.丁香醛在 sp. 菌株 9.1 中的生产: 全基因组测序和对恶臭假单胞菌 CalA 作为香草醛还原酶的重新注释。
Appl Environ Microbiol. 2020 Mar 2;86(6). doi: 10.1128/AEM.02442-19.
3
Biological valorization of lignin-derived vanillin to vanillylamine by recombinant E. coli expressing ω-transaminase and alanine dehydrogenase in a petroleum ether-water system.在石油醚-水体系中,通过表达ω-转氨酶和丙氨酸脱氢酶的重组大肠杆菌对木质素衍生香草醛生物转化为香草基胺。
Bioresour Technol. 2023 Oct;385:129453. doi: 10.1016/j.biortech.2023.129453. Epub 2023 Jul 3.
4
Comprehensive proteome analysis of the response of Pseudomonas putida KT2440 to the flavor compound vanillin.恶臭假单胞菌KT2440对风味化合物香草醛反应的综合蛋白质组分析
J Proteomics. 2014 Sep 23;109:212-27. doi: 10.1016/j.jprot.2014.07.006. Epub 2014 Jul 12.
5
Improved biotransformation of lignin-valorized vanillin into vanillylamine in a sustainable bioreaction medium.在可持续的生物反应介质中,提高木质素增值香草醛向香草基胺的生物转化。
Bioresour Technol. 2023 Sep;384:129292. doi: 10.1016/j.biortech.2023.129292. Epub 2023 Jun 8.
6
Carbon Source-Dependent Inducible Metabolism of Veratryl Alcohol and Ferulic Acid in Pseudomonas putida CSV86.恶臭假单胞菌CSV86中藜芦醇和阿魏酸的碳源依赖性诱导代谢
Appl Environ Microbiol. 2017 Mar 31;83(8). doi: 10.1128/AEM.03326-16. Print 2017 Apr 15.
7
Genetic engineering of Pseudomonas putida KT2440 for rapid and high-yield production of vanillin from ferulic acid.利用基因工程改造恶臭假单胞菌 KT2440 从阿魏酸快速高产生产香草醛。
Appl Microbiol Biotechnol. 2014 Jan;98(1):137-49. doi: 10.1007/s00253-013-5303-1. Epub 2013 Oct 18.
8
RB-TnSeq identifies genetic targets for improved tolerance of Pseudomonas putida towards compounds relevant to lignin conversion.RB-TnSeq 鉴定出提高假单胞菌对木质素转化相关化合物耐受性的遗传靶点。
Metab Eng. 2023 May;77:208-218. doi: 10.1016/j.ymben.2023.04.007. Epub 2023 Apr 13.
9
Engineering Pseudomonas putida for improved utilization of syringyl aromatics.工程菌恶臭假单胞菌提高对愈创木基芳烃的利用。
Biotechnol Bioeng. 2022 Sep;119(9):2541-2550. doi: 10.1002/bit.28131. Epub 2022 May 16.
10
Engineering glucose metabolism for enhanced muconic acid production in Pseudomonas putida KT2440.工程化葡萄糖代谢以增强恶臭假单胞菌 KT2440 中的粘康酸产量。
Metab Eng. 2020 May;59:64-75. doi: 10.1016/j.ymben.2020.01.001. Epub 2020 Jan 10.

引用本文的文献

1
Engineered grows well on methoxylated aromatics due to its formaldehyde metabolism and stress response.由于其甲醛代谢和应激反应,工程菌在甲氧基化芳烃上生长良好。
mSphere. 2025 Aug 26;10(8):e0017125. doi: 10.1128/msphere.00171-25. Epub 2025 Jul 31.
2
Microbial Upcycling of Depolymerized Lignin into Value-Added Chemicals.将解聚木质素微生物转化为高附加值化学品
Biodes Res. 2024 Jan 22;6:0027. doi: 10.34133/bdr.0027. eCollection 2024.
3
Valorization of lignin components into gallate by integrated biological hydroxylation, O-demethylation, and aryl side-chain oxidation.

本文引用的文献

1
Metagenomic discovery of a novel transaminase for valorization of monoaromatic compounds.宏基因组学发现一种用于单芳香族化合物增值的新型转氨酶。
RSC Adv. 2018 Jun 20;8(40):22490-22497. doi: 10.1039/c8ra02764a. eCollection 2018 Jun 19.
2
Industrial biotechnology of Pseudomonas putida: advances and prospects.恶臭假单胞菌的工业生物技术:进展与展望
Appl Microbiol Biotechnol. 2020 Sep;104(18):7745-7766. doi: 10.1007/s00253-020-10811-9. Epub 2020 Aug 13.
3
High-Efficiency Multi-site Genomic Editing of Pseudomonas putida through Thermoinducible ssDNA Recombineering.
通过整合生物羟基化、O-去甲基化和芳基侧链氧化将木质素成分转化为没食子酸盐。
Sci Adv. 2021 Sep 3;7(36):eabg4585. doi: 10.1126/sciadv.abg4585. Epub 2021 Sep 1.
通过热诱导单链DNA重组工程对恶臭假单胞菌进行高效多位点基因组编辑
iScience. 2020 Mar 27;23(3):100946. doi: 10.1016/j.isci.2020.100946. Epub 2020 Feb 26.
4
An expanded CRISPRi toolbox for tunable control of gene expression in Pseudomonas putida.一个扩展的 CRISPRi 工具包,用于可调节控制恶臭假单胞菌中的基因表达。
Microb Biotechnol. 2020 Mar;13(2):368-385. doi: 10.1111/1751-7915.13533. Epub 2020 Feb 11.
5
Limited life cycle and cost assessment for the bioconversion of lignin-derived aromatics into adipic acid.木质素衍生芳烃生物转化为己二酸的有限生命周期和成本评估。
Biotechnol Bioeng. 2020 May;117(5):1381-1393. doi: 10.1002/bit.27299. Epub 2020 Feb 20.
6
Vanillin Production in : Whole-Genome Sequencing of sp. Strain 9.1 and Reannotation of Pseudomonas putida CalA as a Vanillin Reductase.丁香醛在 sp. 菌株 9.1 中的生产: 全基因组测序和对恶臭假单胞菌 CalA 作为香草醛还原酶的重新注释。
Appl Environ Microbiol. 2020 Mar 2;86(6). doi: 10.1128/AEM.02442-19.
7
Catabolism of biogenic amines in Pseudomonas species.假单胞菌中生物胺的分解代谢。
Environ Microbiol. 2020 Apr;22(4):1174-1192. doi: 10.1111/1462-2920.14912. Epub 2020 Jan 14.
8
CDD/SPARCLE: the conserved domain database in 2020.CDD/SPARCLE:2020 年的保守结构域数据库。
Nucleic Acids Res. 2020 Jan 8;48(D1):D265-D268. doi: 10.1093/nar/gkz991.
9
Metabolic engineering of Pseudomonas putida for increased polyhydroxyalkanoate production from lignin.对恶臭假单胞菌进行代谢工程改造以提高从木质素生产聚羟基脂肪酸酯的产量。
Microb Biotechnol. 2020 Jan;13(1):290-298. doi: 10.1111/1751-7915.13481. Epub 2019 Aug 30.
10
Bioconversion of barley straw lignin into biodiesel using Rhodococcus sp. YHY01.利用红球菌 YHY01 将大麦秸秆木质素生物转化为生物柴油。
Bioresour Technol. 2019 Oct;289:121704. doi: 10.1016/j.biortech.2019.121704. Epub 2019 Jun 27.