• 文献检索
  • 文档翻译
  • 深度研究
  • 学术资讯
  • Suppr Zotero 插件Zotero 插件
  • 邀请有礼
  • 套餐&价格
  • 历史记录
应用&插件
Suppr Zotero 插件Zotero 插件浏览器插件Mac 客户端Windows 客户端微信小程序
定价
高级版会员购买积分包购买API积分包
服务
文献检索文档翻译深度研究API 文档MCP 服务
关于我们
关于 Suppr公司介绍联系我们用户协议隐私条款
关注我们

Suppr 超能文献

核心技术专利:CN118964589B侵权必究
粤ICP备2023148730 号-1Suppr @ 2026

文献检索

告别复杂PubMed语法,用中文像聊天一样搜索,搜遍4000万医学文献。AI智能推荐,让科研检索更轻松。

立即免费搜索

文件翻译

保留排版,准确专业,支持PDF/Word/PPT等文件格式,支持 12+语言互译。

免费翻译文档

深度研究

AI帮你快速写综述,25分钟生成高质量综述,智能提取关键信息,辅助科研写作。

立即免费体验

水成膜泡沫(AFFF)中全氟和多氟烷基物质(PFAS)与人血清白蛋白结合的体外和计算机模拟评估

In-Vitro and In-Silico Assessment of Per- and Polyfluoroalkyl Substances (PFAS) in Aqueous Film-Forming Foam (AFFF) Binding to Human Serum Albumin.

作者信息

Li Wenting, Hu Yuhong, Bischel Heather N

机构信息

Department of Civil and Environmental Engineering, University of California Davis, Davis, CA 95616, USA.

出版信息

Toxics. 2021 Mar 17;9(3):63. doi: 10.3390/toxics9030063.

DOI:10.3390/toxics9030063
PMID:33803062
原文链接:https://pmc.ncbi.nlm.nih.gov/articles/PMC8002870/
Abstract

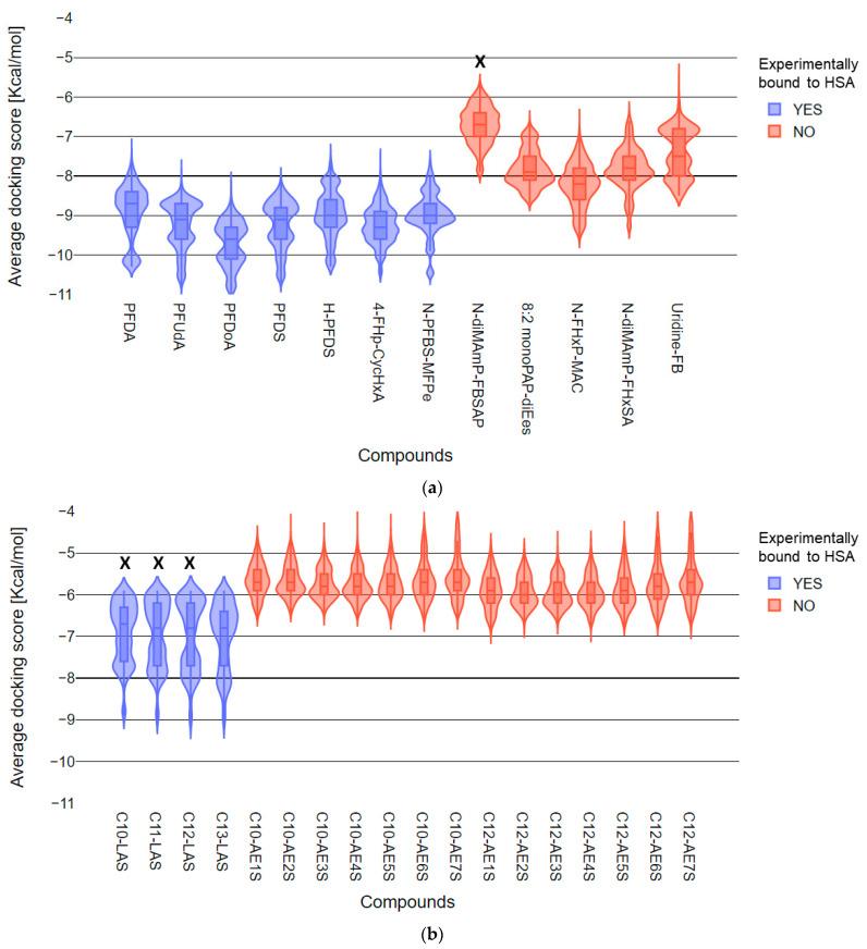
Drinking water contaminated by fluorosurfactant-based aqueous film-forming foams (AFFF) is a source of human exposure to poly- and perfluoroalkyl substances (PFAS). However, assessment of bioaccumulation potentials of diverse PFAS in commercial products such as AFFF have been insufficient and challenging, especially due to a lack of analytical standards. Here we explore the value of suspect screening, equilibrium dialysis, and molecular-docking simulations to identify potentially bioaccumulative PFAS. We exposed human serum albumin (HSA) protein to dilutions of a legacy AFFF produced by 3M in 1999 using equilibrium dialysis and screened in-vitro protein-binding affinities using high-resolution mass spectrometry (HRMS). Through suspect screening, we identified 32 PFAS and 18 hydrocarbon surfactants in the AFFF that bound to HSA. Quantification of noncovalent association constants for 26 PFAS standards confirmed that many PFAS, including the short-chain perfluoropropane sulfonic acid (log K= 4.1 ± 0.2 M), exhibit strong binding affinities with HSA. At least five PFAS in AFFF (including three PFAS with less than five perfluorocarbons) remained bound to the precipitated HSA pellet after extensive solvent washing-an indication of high PFAS binding potential. Three PFAS (PFBS, PFOS, and PFOA) were confirmed in the protein pellet with analytical standards and quantified after acid digestion-this sample fraction accounted for 5 to 20% of each compound mass in the sample. We calculated pseudo-bioconcentration factors (BCF) for PFAS that suspect screening flagged as noncovalently bound or potentially covalently bound. Most PFAS exhibiting high BCF, especially those with seven perfluorocarbons, contained a carboxylic acid or a sulfonic acid. Finally, we used molecular docking to simulate HSA binding affinities for 62 ligands (26 PFAS targets, 18 PFAS qualified in AFFF, and 18 hydrocarbon surfactants qualified in AFFF). We found that molecular docking can effectively separate HSA-binding and -nonbinding compounds in AFFF. In-vitro and in-silico approaches described in this study provide replicable, high-throughput workflows for assessing bioaccumulation potentials of diverse PFAS in commercial products.

摘要

饮用受含氟表面活性剂水成膜泡沫(AFFF)污染的水是人类接触多氟和全氟烷基物质(PFAS)的一个来源。然而,评估AFFF等商业产品中多种PFAS的生物累积潜力一直不够充分且具有挑战性,尤其是由于缺乏分析标准。在此,我们探索可疑物筛查、平衡透析和分子对接模拟在识别潜在生物累积性PFAS方面的价值。我们使用平衡透析将人血清白蛋白(HSA)蛋白暴露于3M公司1999年生产的一种传统AFFF的稀释液中,并使用高分辨率质谱(HRMS)筛选体外蛋白结合亲和力。通过可疑物筛查,我们在与HSA结合的AFFF中鉴定出32种PFAS和18种烃类表面活性剂。对26种PFAS标准品的非共价缔合常数进行定量分析证实,许多PFAS,包括短链全氟丙烷磺酸(log K = 4.1 ± 0.2 M),与HSA表现出很强的结合亲和力。经过大量溶剂洗涤后,AFFF中至少有五种PFAS(包括三种全氟碳数少于五个的PFAS)仍与沉淀的HSA沉淀结合,这表明PFAS具有很高的结合潜力。通过分析标准品在蛋白沉淀中确认了三种PFAS(PFBS、PFOS和PFOA),并在酸消化后进行了定量分析,该样品部分占样品中每种化合物质量的5%至20%。我们计算了可疑物筛查标记为非共价结合或潜在共价结合的PFAS的伪生物浓缩因子(BCF)。大多数表现出高BCF的PFAS,尤其是那些含有七个全氟碳的PFAS,含有羧酸或磺酸。最后,我们使用分子对接模拟了62种配体(26种PFAS靶标、18种在AFFF中鉴定出的PFAS和18种在AFFF中鉴定出的烃类表面活性剂)与HSA的结合亲和力。我们发现分子对接可以有效地分离AFFF中与HSA结合和不结合的化合物。本研究中描述的体外和计算机模拟方法为评估商业产品中多种PFAS的生物累积潜力提供了可重复的高通量工作流程。

https://cdn.ncbi.nlm.nih.gov/pmc/blobs/43ca/8002870/f56d65268db6/toxics-09-00063-g006.jpg
https://cdn.ncbi.nlm.nih.gov/pmc/blobs/43ca/8002870/6ccc23e985b3/toxics-09-00063-g001.jpg
https://cdn.ncbi.nlm.nih.gov/pmc/blobs/43ca/8002870/6b8ded41469e/toxics-09-00063-g002.jpg
https://cdn.ncbi.nlm.nih.gov/pmc/blobs/43ca/8002870/bf30a2e4377e/toxics-09-00063-g003.jpg
https://cdn.ncbi.nlm.nih.gov/pmc/blobs/43ca/8002870/cdefb28a6ec9/toxics-09-00063-g004.jpg
https://cdn.ncbi.nlm.nih.gov/pmc/blobs/43ca/8002870/58cdce4ad1b1/toxics-09-00063-g005.jpg
https://cdn.ncbi.nlm.nih.gov/pmc/blobs/43ca/8002870/f56d65268db6/toxics-09-00063-g006.jpg
https://cdn.ncbi.nlm.nih.gov/pmc/blobs/43ca/8002870/6ccc23e985b3/toxics-09-00063-g001.jpg
https://cdn.ncbi.nlm.nih.gov/pmc/blobs/43ca/8002870/6b8ded41469e/toxics-09-00063-g002.jpg
https://cdn.ncbi.nlm.nih.gov/pmc/blobs/43ca/8002870/bf30a2e4377e/toxics-09-00063-g003.jpg
https://cdn.ncbi.nlm.nih.gov/pmc/blobs/43ca/8002870/cdefb28a6ec9/toxics-09-00063-g004.jpg
https://cdn.ncbi.nlm.nih.gov/pmc/blobs/43ca/8002870/58cdce4ad1b1/toxics-09-00063-g005.jpg
https://cdn.ncbi.nlm.nih.gov/pmc/blobs/43ca/8002870/f56d65268db6/toxics-09-00063-g006.jpg

相似文献

1
In-Vitro and In-Silico Assessment of Per- and Polyfluoroalkyl Substances (PFAS) in Aqueous Film-Forming Foam (AFFF) Binding to Human Serum Albumin.水成膜泡沫(AFFF)中全氟和多氟烷基物质(PFAS)与人血清白蛋白结合的体外和计算机模拟评估
Toxics. 2021 Mar 17;9(3):63. doi: 10.3390/toxics9030063.
2
Developing potency factors for thyroid hormone disruption by PFASs using TTR-TRβ CALUX® bioassay and assessment of PFASs mixtures in technical products.利用TTR-TRβ CALUX®生物测定法开发全氟烷基和多氟烷基物质(PFASs)对甲状腺激素干扰的效力因子,并评估工业产品中的PFASs混合物。
Environ Int. 2021 Dec;157:106791. doi: 10.1016/j.envint.2021.106791. Epub 2021 Aug 4.
3
Chemical Characterization of a Legacy Aqueous Film-Forming Foam Sample and Developmental Toxicity in Zebrafish ().legacy aqueous film-forming foam sample 的化学特性及斑马鱼的发育毒性()。
Environ Health Perspect. 2020 Sep;128(9):97006. doi: 10.1289/EHP6470. Epub 2020 Sep 23.
4
Suspect screening and nontargeted analysis of per- and polyfluoroalkyl substances in representative fluorocarbon surfactants, aqueous film-forming foams, and impacted water in China.在中国代表性氟碳表面活性剂、水成膜泡沫和受污染水中的全氟和多氟烷基物质的可疑筛查和非靶向分析。
Environ Int. 2022 Sep;167:107398. doi: 10.1016/j.envint.2022.107398. Epub 2022 Jul 9.
5
Quantification of long-chain, short-chain, and ultrashort-chain liquid chromatography-amenable PFASs in water: Evaluation of approaches and tradeoffs for AFFF-impacted water.水中长链、短链和超短链可进行液相色谱分析的全氟烷基和多氟烷基物质的定量:受水成膜泡沫灭火剂影响的水的分析方法评估及权衡
J Hazard Mater. 2024 Mar 15;466:133591. doi: 10.1016/j.jhazmat.2024.133591. Epub 2024 Jan 22.
6
Modeling avian exposures to perfluoroalkyl substances in aquatic habitats impacted by historical aqueous film forming foam releases.模拟水生栖息地中鸟类接触全氟烷基物质的情况,这些栖息地受到历史上水成膜泡沫释放的影响。
Chemosphere. 2018 Jun;201:335-341. doi: 10.1016/j.chemosphere.2018.03.004. Epub 2018 Mar 2.
7
Target and suspect per- and polyfluoroalkyl substances in fish from an AFFF-impacted waterway.鱼体内目标和疑似全氟及多氟烷基物质来自受 AFFF 影响的水道。
Sci Total Environ. 2024 Jan 1;906:167798. doi: 10.1016/j.scitotenv.2023.167798. Epub 2023 Oct 12.
8
Characterizing the Areal Extent of PFAS Contamination in Fish Species Downgradient of AFFF Source Zones.描述 AFFF 源区下游鱼类物种中全氟和多氟烷基物质污染的面积范围。
Environ Sci Technol. 2024 Oct 29;58(43):19440-19453. doi: 10.1021/acs.est.4c07016. Epub 2024 Oct 16.
9
Bioconcentration of Per- and Polyfluoroalkyl Substances and Precursors in Fathead Minnow Tissues Environmentally Exposed to Aqueous Film-Forming Foam-Contaminated Waters.在环境中暴露于水成膜泡沫污染水中的胖头鱼组织中,全氟和多氟烷基物质及前体的生物浓缩。
Environ Toxicol Chem. 2024 Aug;43(8):1795-1806. doi: 10.1002/etc.5926. Epub 2024 Jun 19.
10
Rapid quantitative analysis and suspect screening of per-and polyfluorinated alkyl substances (PFASs) in aqueous film-forming foams (AFFFs) and municipal wastewater samples by Nano-ESI-HRMS.纳米电喷雾高分辨质谱法快速定量分析和筛选水性成膜泡沫(AFFFs)和城市污水样品中的全氟和多氟烷基物质(PFASs)。
Water Res. 2022 Jul 1;219:118542. doi: 10.1016/j.watres.2022.118542. Epub 2022 May 3.

引用本文的文献

1
Broad PFAS Binding with Fatty Acid Binding Protein 4 Is Enabled by Variable Binding Modes.可变结合模式促成了广泛的全氟和多氟烷基物质与脂肪酸结合蛋白4的结合。
JACS Au. 2025 Jun 2;5(6):2469-2474. doi: 10.1021/jacsau.5c00504. eCollection 2025 Jun 23.
2
Broad PFAS binding with fatty acid binding protein 4 is enabled by variable binding modes.广泛的全氟烷基和多氟烷基物质(PFAS)与脂肪酸结合蛋白4的结合是由可变的结合模式实现的。
bioRxiv. 2025 Jan 14:2025.01.10.632451. doi: 10.1101/2025.01.10.632451.
3
Advances in waste-derived functional materials for PFAS remediation.

本文引用的文献

1
Bioaccumulation of Novel Per- and Polyfluoroalkyl Substances in Mice Dosed with an Aqueous Film-Forming Foam.新型全氟和多氟烷基物质在经水性成膜泡沫处理的小鼠体内的生物累积。
Environ Sci Technol. 2020 May 5;54(9):5700-5709. doi: 10.1021/acs.est.0c00234. Epub 2020 Apr 22.
2
Exposure to Perfluoroalkyl Substances in a Cohort of Women Firefighters and Office Workers in San Francisco.暴露于全氟烷基物质的旧金山女性消防员和办公室工作人员队列研究。
Environ Sci Technol. 2020 Mar 17;54(6):3363-3374. doi: 10.1021/acs.est.9b05490. Epub 2020 Feb 26.
3
LC-MS screening of poly- and perfluoroalkyl substances in contaminated soil by Kendrick mass analysis.
用于全氟和多氟烷基物质修复的废物衍生功能材料的进展
Biodegradation. 2025 Jan 20;36(1):13. doi: 10.1007/s10532-025-10109-5.
4
Deriving Membrane-Water and Protein-Water Partition Coefficients from In Vitro Experiments for Per- and Polyfluoroalkyl Substances (PFAS).通过体外实验推导全氟和多氟烷基物质(PFAS)的膜水分配系数和蛋白质水分配系数。
Environ Sci Technol. 2025 Jan 14;59(1):82-91. doi: 10.1021/acs.est.4c06734. Epub 2025 Jan 5.
5
An in vitro and machine learning framework for quantifying serum albumin binding of per- and polyfluoroalkyl substances.一种用于量化全氟和多氟烷基物质血清白蛋白结合的体外和机器学习框架。
Toxicol Sci. 2025 Jan 1;203(1):67-78. doi: 10.1093/toxsci/kfae124.
6
Unbound Fractions of PFAS in Human and Rodent Tissues: Rat Liver a Suitable Proxy for Evaluating Emerging PFAS?人类和啮齿动物组织中全氟和多氟烷基物质的未结合分数:大鼠肝脏是否适合评估新兴全氟和多氟烷基物质?
Environ Sci Technol. 2024 Aug 20;58(33):14641-14650. doi: 10.1021/acs.est.4c04050. Epub 2024 Aug 6.
7
Quantitative cross-species comparison of serum albumin binding of per- and polyfluoroalkyl substances from five structural classes.五种结构类别全氟及多氟烷基物质的血清白蛋白结合的定量跨物种比较。
Toxicol Sci. 2024 Apr 29;199(1):132-149. doi: 10.1093/toxsci/kfae028.
8
In Vitro and In Silico Analysis of the Bindings between Legacy and Novel Per- and Polyfluoroalkyl Substances and Human Serum Albumin.传统与新型全氟和多氟烷基物质与人血清白蛋白结合的体外和计算机模拟分析
Toxics. 2024 Jan 8;12(1):46. doi: 10.3390/toxics12010046.
9
Binding of Per- and Polyfluoroalkyl Substances (PFAS) to Serum Proteins: Implications for Toxicokinetics in Humans.全氟和多氟烷基物质(PFAS)与血清蛋白的结合:对人体毒代动力学的影响。
Environ Sci Technol. 2024 Jan 16;58(2):1055-1063. doi: 10.1021/acs.est.3c07415. Epub 2024 Jan 3.
10
Elevated Levels of Ultrashort- and Short-Chain Perfluoroalkyl Acids in US Homes and People.美国居民家庭和人体内超短链和短链全氟烷基酸水平升高。
Environ Sci Technol. 2023 Oct 24;57(42):15782-15793. doi: 10.1021/acs.est.2c06715. Epub 2023 Oct 11.
采用 Kendrick 质量分析对污染土壤中的多氟和全氟烷基物质进行 LC-MS 筛选。
Anal Bioanal Chem. 2020 Aug;412(20):4797-4805. doi: 10.1007/s00216-019-02358-0. Epub 2020 Jan 9.
4
Partition coefficients of four perfluoroalkyl acid alternatives between bovine serum albumin (BSA) and water in comparison to ten classical perfluoroalkyl acids.四种全氟烷基酸替代品与牛血清白蛋白(BSA)和水之间的分配系数与十种经典全氟烷基酸的比较。
Environ Sci Process Impacts. 2019 Nov 1;21(11):1852-1863. doi: 10.1039/c9em00290a. Epub 2019 Sep 2.
5
Estimation of correction factors to determine the true amino acid concentration of protein after a 24-hour hydrolysis.测定 24 小时水解后蛋白质真实氨基酸浓度的校正因子。
J Dairy Sci. 2019 Feb;102(2):1205-1212. doi: 10.3168/jds.2018-15392. Epub 2018 Dec 24.
6
Per and polyfluoroalkyl substances (PFAS) blood levels after contamination of a community water supply and comparison with 2013-2014 NHANES.社区供水污染后的全氟和多氟烷基物质(PFAS)血液水平及与 2013-2014 年 NHANES 的比较
J Expo Sci Environ Epidemiol. 2019 Mar;29(2):172-182. doi: 10.1038/s41370-018-0096-z. Epub 2018 Nov 27.
7
A review of the pathways of human exposure to poly- and perfluoroalkyl substances (PFASs) and present understanding of health effects.人类接触多氟和全氟烷基物质(PFASs)的途径综述及对健康影响的现有认识。
J Expo Sci Environ Epidemiol. 2019 Mar;29(2):131-147. doi: 10.1038/s41370-018-0094-1. Epub 2018 Nov 23.
8
Interactions of perfluorooctanoic acid and perfluorooctanesulfonic acid with serum albumins by native mass spectrometry, fluorescence and molecular docking.采用质散度谱法、荧光法和分子对接研究全氟辛酸和全氟辛烷磺酸与血清白蛋白的相互作用。
Chemosphere. 2018 May;198:442-449. doi: 10.1016/j.chemosphere.2018.01.152. Epub 2018 Feb 3.
9
Half-lives of PFOS, PFHxS and PFOA after end of exposure to contaminated drinking water.接触受污染饮用水结束后全氟辛烷磺酸、全氟己烷磺酸和全氟辛酸的半衰期。
Occup Environ Med. 2018 Jan;75(1):46-51. doi: 10.1136/oemed-2017-104651. Epub 2017 Nov 13.
10
Worldwide drinking water occurrence and levels of newly-identified perfluoroalkyl and polyfluoroalkyl substances.全球饮用水中新型全氟和多氟烷基物质的出现情况和水平。
Sci Total Environ. 2018 Mar;616-617:1089-1100. doi: 10.1016/j.scitotenv.2017.10.210.