• 文献检索
  • 文档翻译
  • 深度研究
  • 学术资讯
  • Suppr Zotero 插件Zotero 插件
  • 邀请有礼
  • 套餐&价格
  • 历史记录
应用&插件
Suppr Zotero 插件Zotero 插件浏览器插件Mac 客户端Windows 客户端微信小程序
定价
高级版会员购买积分包购买API积分包
服务
文献检索文档翻译深度研究API 文档MCP 服务
关于我们
关于 Suppr公司介绍联系我们用户协议隐私条款
关注我们

Suppr 超能文献

核心技术专利:CN118964589B侵权必究
粤ICP备2023148730 号-1Suppr @ 2026

文献检索

告别复杂PubMed语法,用中文像聊天一样搜索,搜遍4000万医学文献。AI智能推荐,让科研检索更轻松。

立即免费搜索

文件翻译

保留排版,准确专业,支持PDF/Word/PPT等文件格式,支持 12+语言互译。

免费翻译文档

深度研究

AI帮你快速写综述,25分钟生成高质量综述,智能提取关键信息,辅助科研写作。

立即免费体验

太极拳能改善 COVID-19 大流行期间老年人的心理情绪状态、认知和运动学习能力。

Tai chi improves psychoemotional state, cognition, and motor learning in older adults during the COVID-19 pandemic.

机构信息

Department of Health Promotion and Rehabilitation, Lithuanian Sports University, Kaunas, Lithuania; Institute of Sports Science and Innovations, Lithuanian Sports University, Kaunas, Lithuania.

Department of Health Promotion and Rehabilitation, Lithuanian Sports University, Kaunas, Lithuania; Institute of Sports Science and Innovations, Lithuanian Sports University, Kaunas, Lithuania.

出版信息

Exp Gerontol. 2021 Jul 15;150:111363. doi: 10.1016/j.exger.2021.111363. Epub 2021 Apr 19.

DOI:10.1016/j.exger.2021.111363
PMID:33887380
原文链接:https://pmc.ncbi.nlm.nih.gov/articles/PMC8054611/
Abstract

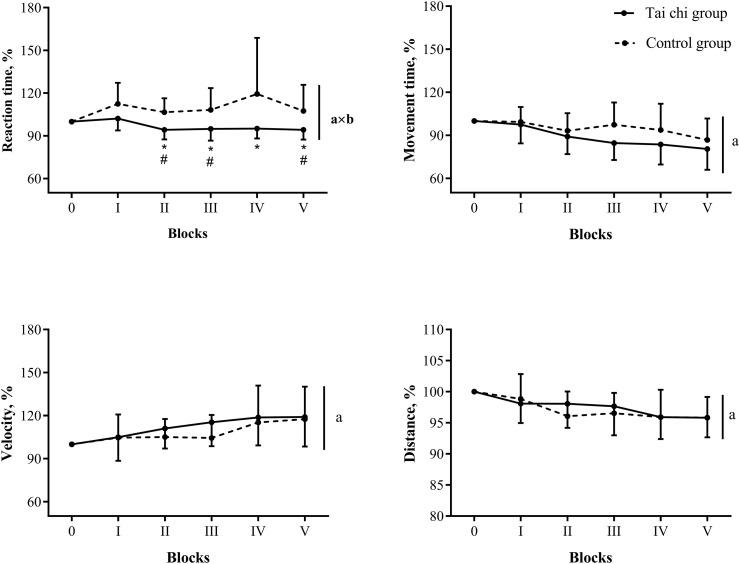
The aim of this study was to determine the effect of a 10-week tai chi intervention on psychoemotional state, cognition, and motor learning in older adults during the COVID-19 pandemic. Participants aged 60-78 years were randomized to either a control group (n = 15) or a tai chi group (n = 15) for a 10-week period. The tai chi group received two, 8-form tai chi classes of 60 min duration per week. Changes in psychoemotional state, cognition, and the learning of fast and accurate reaching movements were assessed. In addition, the potential roles of the autonomic nervous system and brain-derived neurotrophic factor (BDNF) were investigated. Tai chi practice decreased (P < 0.05) perceived stress, whereas no change in autonomic nervous system activity was observed. Improvements in mental switching correlated with decreased depressive symptoms and increased BDNF levels (P < 0.05), whereas improvements in inhibitory control tended to correlate with BDNF levels (P = 0.08). Improvements in visuospatial processing tended to correlate with decreased depressive symptoms (P = 0.07) while improved visuospatial processing correlated with improved motor planning during learning tasks (P < 0.05). This study suggests that tai chi is an effective intervention that can be delivered under pandemic conditions to improve mental and physical function in older adults.

摘要

这项研究的目的是确定在 COVID-19 大流行期间,为期 10 周的太极干预对老年人的心理情绪状态、认知和运动学习的影响。60-78 岁的参与者被随机分为对照组(n = 15)或太极组(n = 15),进行为期 10 周的干预。太极组每周接受两次,每次 60 分钟的 8 式太极课程。评估心理情绪状态、认知以及快速准确的伸手运动学习的变化。此外,还研究了自主神经系统和脑源性神经营养因子(BDNF)的潜在作用。太极练习降低了(P < 0.05)感知压力,而自主神经系统活动没有变化。心理转换能力的提高与抑郁症状的减轻和 BDNF 水平的升高相关(P < 0.05),而抑制控制能力的提高则与 BDNF 水平呈正相关(P = 0.08)。视空间加工能力的提高与抑郁症状的减轻呈正相关(P = 0.07),而运动学习任务中视空间加工能力的提高与运动计划能力的提高呈正相关(P < 0.05)。本研究表明,太极是一种有效的干预措施,可以在大流行期间实施,以改善老年人的身心功能。

https://cdn.ncbi.nlm.nih.gov/pmc/blobs/9a79/8054611/c3e6fb90587d/gr3_lrg.jpg
https://cdn.ncbi.nlm.nih.gov/pmc/blobs/9a79/8054611/e65873b11ad9/gr1_lrg.jpg
https://cdn.ncbi.nlm.nih.gov/pmc/blobs/9a79/8054611/f9e1f4300faa/gr2_lrg.jpg
https://cdn.ncbi.nlm.nih.gov/pmc/blobs/9a79/8054611/c3e6fb90587d/gr3_lrg.jpg
https://cdn.ncbi.nlm.nih.gov/pmc/blobs/9a79/8054611/e65873b11ad9/gr1_lrg.jpg
https://cdn.ncbi.nlm.nih.gov/pmc/blobs/9a79/8054611/f9e1f4300faa/gr2_lrg.jpg
https://cdn.ncbi.nlm.nih.gov/pmc/blobs/9a79/8054611/c3e6fb90587d/gr3_lrg.jpg

相似文献

1
Tai chi improves psychoemotional state, cognition, and motor learning in older adults during the COVID-19 pandemic.太极拳能改善 COVID-19 大流行期间老年人的心理情绪状态、认知和运动学习能力。
Exp Gerontol. 2021 Jul 15;150:111363. doi: 10.1016/j.exger.2021.111363. Epub 2021 Apr 19.
2
Tai chi effects on balance in older adults: the role of sustained attention and myokines.太极拳对老年人平衡能力的影响:持续注意力和肌肉因子的作用。
J Sports Med Phys Fitness. 2022 Nov;62(11):1512-1518. doi: 10.23736/S0022-4707.21.12990-1. Epub 2021 Nov 25.
3
Tai Chi Improves Cognition and Plasma BDNF in Older Adults With Mild Cognitive Impairment: A Randomized Controlled Trial.太极拳改善轻度认知障碍老年人的认知功能和血浆脑源性神经营养因子:一项随机对照试验。
Neurorehabil Neural Repair. 2018 Feb;32(2):142-149. doi: 10.1177/1545968317753682. Epub 2018 Jan 20.
4
Effects of Tai Chi Chuan on Cognitive Function in Adults 60 Years or Older With Type 2 Diabetes and Mild Cognitive Impairment in China: A Randomized Clinical Trial.中国 60 岁及以上 2 型糖尿病合并轻度认知障碍患者练习太极拳对认知功能的影响:一项随机临床试验。
JAMA Netw Open. 2023 Apr 3;6(4):e237004. doi: 10.1001/jamanetworkopen.2023.7004.
5
Effectiveness of Tai Chi on cognitive function among older adults with mild cognitive impairment: a systematic review and meta-analysis of randomized controlled trials.太极拳对轻度认知障碍老年人认知功能的影响:随机对照试验的系统评价和荟萃分析。
Aging Ment Health. 2024 Jan-Feb;28(2):285-293. doi: 10.1080/13607863.2023.2253183. Epub 2024 Jan 31.
6
Tai Chi improves non-motor symptoms of Parkinson's disease: One-year randomized controlled study with the investigation of mechanisms.太极拳改善帕金森病的非运动症状:一项为期一年的随机对照研究及机制探讨。
Parkinsonism Relat Disord. 2024 Mar;120:105978. doi: 10.1016/j.parkreldis.2023.105978. Epub 2024 Jan 12.
7
The Positive Role of Tai Chi in Responding to the COVID-19 Pandemic.太极拳在应对新冠疫情中的积极作用。
Int J Environ Res Public Health. 2021 Jul 13;18(14):7479. doi: 10.3390/ijerph18147479.
8
Tai chi improves depressive symptoms among community-dwelling older persons by mediating BDNF methylation: A preliminary study.太极拳通过中介 BDNF 甲基化改善社区老年人的抑郁症状:一项初步研究。
Geriatr Nurs. 2022 Mar-Apr;44:137-142. doi: 10.1016/j.gerinurse.2022.01.015. Epub 2022 Feb 10.
9
Dose-Response Association of Tai Chi and Cognition among Community-Dwelling Older Adults: A Systematic Review and Meta-Analysis.太极拳与社区老年人认知功能相关性的剂量反应关系:系统评价和荟萃分析。
Int J Environ Res Public Health. 2021 Mar 19;18(6):3179. doi: 10.3390/ijerph18063179.
10
Effects of Tai Chi combined with tDCS on cognitive function in patients with MCI: a randomized controlled trial.太极拳联合 tDCS 对 MCI 患者认知功能的影响:一项随机对照试验。
Front Public Health. 2023 Aug 7;11:1199246. doi: 10.3389/fpubh.2023.1199246. eCollection 2023.

引用本文的文献

1
Effects of Mind-Body Interventions on Immune and Neuroendocrine Functions: A Systematic Review and Meta-Analysis of Randomized Controlled Trials.身心干预对免疫和神经内分泌功能的影响:随机对照试验的系统评价和荟萃分析
Healthcare (Basel). 2025 Apr 21;13(8):952. doi: 10.3390/healthcare13080952.
2
Evaluation of the efficacy of Tai Chi on the cognitive function of patients with mild cognitive dysfunction and research on its mechanism.太极拳对轻度认知功能障碍患者认知功能的疗效评估及其机制研究
Front Aging Neurosci. 2025 Apr 2;17:1435996. doi: 10.3389/fnagi.2025.1435996. eCollection 2025.
3
Evaluating the impact of tai chi therapy on stress reduction among older adults.

本文引用的文献

1
Predicting Perceived Stress Related to the Covid-19 Outbreak through Stable Psychological Traits and Machine Learning Models.通过稳定的心理特质和机器学习模型预测与新冠疫情相关的感知压力
J Clin Med. 2020 Oct 19;9(10):3350. doi: 10.3390/jcm9103350.
2
COVID-19 as a Stressor: Pandemic Expectations, Perceived Stress, and Negative Affect in Older Adults.COVID-19 作为应激源:老年人对大流行的预期、感知压力和负面情绪。
J Gerontol B Psychol Sci Soc Sci. 2021 Jan 18;76(2):e59-e64. doi: 10.1093/geronb/gbaa153.
3
A 10-week yoga practice has no effect on cognition, but improves balance and motor learning by attenuating brain-derived neurotrophic factor levels in older adults.
评估太极拳疗法对老年人减压的影响。
Bioinformation. 2024 Dec 31;20(12):1877-1880. doi: 10.6026/9732063002001877. eCollection 2024.
4
Exploring the benefits of traditional Chinese exercises (Tai Chi and Qigong) on the anxiety and depression of older adults: A systematic review and meta-analysis.探索传统中国运动(太极拳和气功)对老年人焦虑和抑郁的益处:一项系统评价和荟萃分析。
Medicine (Baltimore). 2025 Mar 21;104(12):e41908. doi: 10.1097/MD.0000000000041908.
5
Effects of traditional Chinese exercises on brain-derived neurotrophic factor in middle-aged and older adults: A systematic review and meta-analysis of randomized controlled trials.传统中医运动对中老年人脑源性神经营养因子的影响:一项随机对照试验的系统评价和荟萃分析
J Exerc Sci Fit. 2025 Jan;23(1):32-41. doi: 10.1016/j.jesf.2024.12.004. Epub 2024 Dec 17.
6
The effect of Tai Chi on elderly depression: a systematic review and meta-analysis of randomized controlled trials.太极拳对老年抑郁症的影响:一项随机对照试验的系统评价和荟萃分析
Front Psychol. 2024 Nov 29;15:1489384. doi: 10.3389/fpsyg.2024.1489384. eCollection 2024.
7
The effectiveness of Tai Chi for patients with mild cognitive impairment: a systematic review and meta-analysis.太极拳对轻度认知障碍患者的有效性:一项系统评价和荟萃分析。
Front Neurosci. 2024 Nov 25;18:1467595. doi: 10.3389/fnins.2024.1467595. eCollection 2024.
8
Humanistic and Holistic Strategies for Combating Mental Health Sequelae in the Elderly During the Post-COVID Era.后新冠时代应对老年人心理健康后遗症的人文与整体策略
Ann Neurosci. 2024 Oct;31(4):292-299. doi: 10.1177/09727531231208292. Epub 2024 Jan 18.
9
The Effect of Two Somatic-Based Practices Dance and Martial Arts on Irisin, BDNF Levels and Cognitive and Physical Fitness in Older Adults: A Randomized Control Trial.两种基于躯体的练习(舞蹈和武术)对老年人鸢尾素、BDNF 水平以及认知和身体适应性的影响:一项随机对照试验。
Clin Interv Aging. 2024 Nov 6;19:1829-1842. doi: 10.2147/CIA.S482479. eCollection 2024.
10
Effects of different Chinese traditional exercises on mental health during the COVID-19 pandemic: a systematic review and meta-analysis.不同的中国传统运动在 COVID-19 大流行期间对心理健康的影响:系统评价和荟萃分析。
Front Public Health. 2024 Jul 31;12:1420035. doi: 10.3389/fpubh.2024.1420035. eCollection 2024.
为期 10 周的瑜伽练习对认知没有影响,但可以通过降低老年人脑源性神经营养因子水平来改善平衡和运动学习。
Exp Gerontol. 2020 Sep;138:110998. doi: 10.1016/j.exger.2020.110998. Epub 2020 Jun 13.
4
Multidisciplinary research priorities for the COVID-19 pandemic: a call for action for mental health science.2019冠状病毒病大流行的多学科研究重点:呼吁开展心理健康科学行动
Lancet Psychiatry. 2020 Jun;7(6):547-560. doi: 10.1016/S2215-0366(20)30168-1. Epub 2020 Apr 15.
5
Patients with mental health disorders in the COVID-19 epidemic.新冠疫情期间患有精神健康障碍的患者。
Lancet Psychiatry. 2020 Apr;7(4):e21. doi: 10.1016/S2215-0366(20)30090-0.
6
Immediate Psychological Responses and Associated Factors during the Initial Stage of the 2019 Coronavirus Disease (COVID-19) Epidemic among the General Population in China.中国民众在 2019 年冠状病毒病(COVID-19)疫情初期的即时心理反应及相关因素。
Int J Environ Res Public Health. 2020 Mar 6;17(5):1729. doi: 10.3390/ijerph17051729.
7
Effects of Tai Chi Chuan on Inhibitory Control in Elderly Women: An fNIRS Study.太极拳对老年女性抑制控制的影响:一项功能近红外光谱研究。
Front Hum Neurosci. 2020 Jan 22;13:476. doi: 10.3389/fnhum.2019.00476. eCollection 2019.
8
Role of BDNF in the pathophysiology and treatment of depression: Activity-dependent effects distinguish rapid-acting antidepressants.脑源性神经营养因子(BDNF)在抑郁症病理生理学和治疗中的作用:活动依赖性效应区分快速作用的抗抑郁药。
Eur J Neurosci. 2021 Jan;53(1):126-139. doi: 10.1111/ejn.14630. Epub 2019 Dec 20.
9
Cognitive impairment in depression: recent advances and novel treatments.抑郁症中的认知障碍:最新进展与新疗法
Neuropsychiatr Dis Treat. 2019 May 10;15:1249-1258. doi: 10.2147/NDT.S199746. eCollection 2019.
10
Task-Switching Performance Improvements After Tai Chi Chuan Training Are Associated With Greater Prefrontal Activation in Older Adults.太极拳训练后老年人任务转换能力的提高与前额叶更大程度的激活有关。
Front Aging Neurosci. 2018 Sep 24;10:280. doi: 10.3389/fnagi.2018.00280. eCollection 2018.