Department of Biomedical Engineering, Washington University in St. Louis, St. Louis, MO 63130, United States of America.
Mallinckrodt Institute of Radiology, Washington University School of Medicine, St. Louis, MO 63110, United States of America.
Phys Med Biol. 2021 Jun 14;66(12). doi: 10.1088/1361-6560/ac01f4.
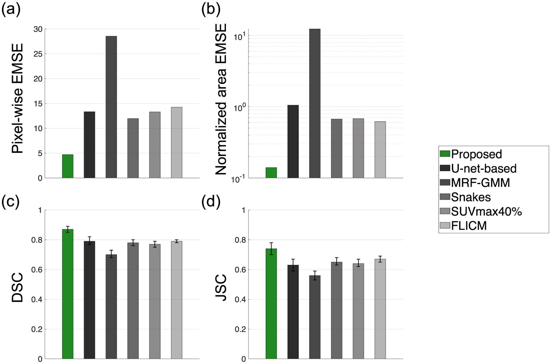
Tumor segmentation in oncological PET is challenging, a major reason being the partial-volume effects (PVEs) that arise due to low system resolution and finite voxel size. The latter results in tissue-fraction effects (TFEs), i.e. voxels contain a mixture of tissue classes. Conventional segmentation methods are typically designed to assign each image voxel as belonging to a certain tissue class. Thus, these methods are inherently limited in modeling TFEs. To address the challenge of accounting for PVEs, and in particular, TFEs, we propose a Bayesian approach to tissue-fraction estimation for oncological PET segmentation. Specifically, this Bayesian approach estimates the posterior mean of the fractional volume that the tumor occupies within each image voxel. The proposed method, implemented using a deep-learning-based technique, was first evaluated using clinically realistic 2D simulation studies with known ground truth, in the context of segmenting the primary tumor in PET images of patients with lung cancer. The evaluation studies demonstrated that the method accurately estimated the tumor-fraction areas and significantly outperformed widely used conventional PET segmentation methods, including a U-net-based method, on the task of segmenting the tumor. In addition, the proposed method was relatively insensitive to PVEs and yielded reliable tumor segmentation for different clinical-scanner configurations. The method was then evaluated using clinical images of patients with stage IIB/III non-small cell lung cancer from ACRIN 6668/RTOG 0235 multi-center clinical trial. Here, the results showed that the proposed method significantly outperformed all other considered methods and yielded accurate tumor segmentation on patient images with Dice similarity coefficient (DSC) of 0.82 (95% CI: 0.78, 0.86). In particular, the method accurately segmented relatively small tumors, yielding a high DSC of 0.77 for the smallest segmented cross-section of 1.30 cm. Overall, this study demonstrates the efficacy of the proposed method to accurately segment tumors in PET images.
肿瘤在肿瘤 PET 中的分割具有挑战性,主要原因是由于系统分辨率低和有限的体素大小而产生的部分容积效应 (PVE)。后者导致组织分数效应 (TFE),即体素包含组织类别的混合物。传统的分割方法通常旨在将每个图像体素分配给某个组织类别。因此,这些方法在建模 TFE 方面存在固有局限性。为了解决考虑 PVE 的问题,特别是 TFE 的问题,我们提出了一种用于肿瘤 PET 分割的组织分数估计的贝叶斯方法。具体来说,这种贝叶斯方法估计肿瘤在每个图像体素中占据的分数体积的后验均值。该方法使用基于深度学习的技术实现,首先在肺癌患者 PET 图像中分割原发性肿瘤的背景下,使用具有已知真实值的临床现实 2D 模拟研究进行了评估。评估研究表明,该方法能够准确估计肿瘤分数区域,并且在肿瘤分割任务上明显优于广泛使用的传统 PET 分割方法,包括基于 U-net 的方法。此外,该方法对 PVE 相对不敏感,并为不同的临床扫描仪配置生成可靠的肿瘤分割。该方法随后在 ACRIN 6668/RTOG 0235 多中心临床试验中来自 IIB/III 期非小细胞肺癌患者的临床图像上进行了评估。结果表明,该方法明显优于所有其他考虑的方法,并在患者图像上产生了准确的肿瘤分割,Dice 相似系数 (DSC) 为 0.82(95%CI:0.78,0.86)。特别是,该方法准确地分割了相对较小的肿瘤,对于最小的 1.30cm 分割横截面,DSC 高达 0.77。总的来说,这项研究证明了该方法在准确分割 PET 图像中的肿瘤方面的有效性。