Suppr超能文献

封锁时间对美国各县新冠病毒传播的影响。

The impact of lockdown timing on COVID-19 transmission across US counties.

作者信息

Huang Xiaolin, Shao Xiaojian, Xing Li, Hu Yushan, Sin Don D, Zhang Xuekui

机构信息

Department of Mathematics and Statistics, University of Victoria, BC, Canada.

Digital Technologies Research Centre, National Research Council Canada, ON, Canada.

出版信息

EClinicalMedicine. 2021 Aug;38:101035. doi: 10.1016/j.eclinm.2021.101035. Epub 2021 Jul 16.

Abstract

BACKGROUND

Many countries have implemented lockdowns to reduce COVID-19 transmission. However, there is no consensus on the optimal timing of these lockdowns to control community spread of the disease. Here we evaluated the relationship between timing of lockdowns, along with other risk factors, and the growth trajectories of COVID-19 across 3,112 counties in the US.

METHODS

We ascertained dates for lockdowns and implementation of various non-pharmaceutical interventions at a county level and merged these data with those of US census and county-specific COVID-19 daily cumulative case counts. We then applied a Functional Principal Component (FPC) analysis on this dataset to generate FPC scores, which were used as a surrogate variable to describe the trajectory of daily cumulative case counts for each county. We used machine learning methods to identify risk factors including the timing of lockdown that significantly influenced the FPC scores.

FINDINGS

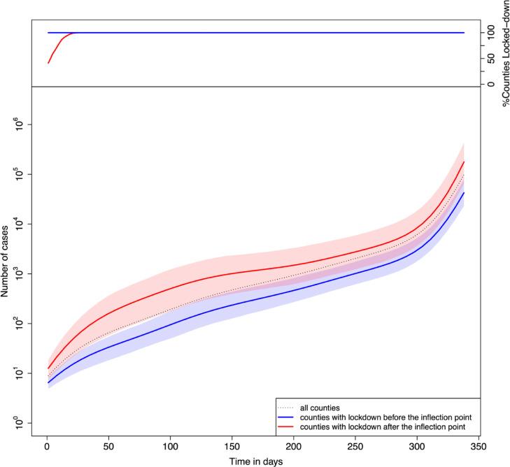
We found that the first eigen-function accounted for most (>92%) of the variations in the daily cumulative case counts. The impact of lockdown timing on the total daily case count of a county became significant beginning approximately 7 days prior to that county reporting at least 5 cumulative cases of COVID-19. Delays in lockdown implementation after this date led to a rapid acceleration of COVID-19 spread in the county over the first ~50 days from the date with at least 5 cumulative cases, and higher case counts across the entirety of the follow-up period. Other factors such as total population, median family income, Gini index, median age, and within-county mobility also had a substantial effect. When adjusted for all these factors, the timing of lockdowns was the most significant risk factor associated with the county-specific daily cumulative case counts.

INTERPRETATION

Lockdowns are an effective way of controlling the spread of COVID-19 in communities. Significant delays in lockdown cause a dramatic increase in the cumulative case counts. Thus, the timing of the lockdown relative to the case count is an important consideration in controlling the pandemic in communities.

FUNDING

The study period is from June 2020 to July 2021. Dr. Xuekui Zhang is a Tier 2 Canada Research Chairs (Grant No. 950231363) and funded by Natural Sciences and Engineering Research Council of Canada (Grant No. RGPIN201704722). Dr. Li Xing is funded by Natural Sciences and Engineering Research Council of Canada (Grant Number: RGPIN 202103530). This research was enabled in part by support provided by WestGrid (www.westgrid.ca) and Compute Canada (www.computecanada.ca). The computing resource is provided by Compute Canada Resource Allocation Competitions #3495 (PI: Xuekui Zhang) and #1551 (PI: Li Xing). Dr. Don Sin is a Tier 1 Canada Research Chair in COPD and holds the de Lazzari Family Chair at the Heart Lung Innovation, Vancouver, Canada.

摘要

背景

许多国家已实施封锁措施以减少新冠病毒传播。然而,对于这些封锁措施控制疾病社区传播的最佳时机,目前尚无共识。在此,我们评估了美国3112个县的封锁时机以及其他风险因素与新冠病毒增长轨迹之间的关系。

方法

我们确定了各县封锁及实施各种非药物干预措施的日期,并将这些数据与美国人口普查数据以及各县特定的新冠病毒每日累计病例数合并。然后,我们对该数据集应用功能主成分(FPC)分析以生成FPC分数,这些分数用作描述每个县每日累计病例数轨迹的替代变量。我们使用机器学习方法来识别包括封锁时机在内的显著影响FPC分数的风险因素。

研究结果

我们发现第一特征函数占每日累计病例数变化的大部分(>92%)。在一个县报告至少5例新冠病毒累计病例之前约7天开始,封锁时机对该县每日病例总数的影响变得显著。在此日期之后延迟实施封锁导致从至少有5例累计病例之日起的头约50天内该县新冠病毒传播迅速加速,并且在整个随访期内病例数更高。其他因素,如总人口、家庭收入中位数、基尼系数、年龄中位数和县域内流动性也有重大影响。在对所有这些因素进行调整后,封锁时机是与各县特定每日累计病例数相关的最显著风险因素。

解读

封锁是控制新冠病毒在社区传播的有效方式。封锁的显著延迟会导致累计病例数急剧增加。因此,相对于病例数的封锁时机是控制社区疫情的一个重要考虑因素。

资金来源

研究期为2020年6月至2021年7月。张学奎博士是加拿大二级研究主席(资助编号950231363),由加拿大自然科学与工程研究理事会资助(资助编号RGPIN201704722)。李星博士由加拿大自然科学与工程研究理事会资助(资助编号:RGPIN 202103530)。本研究部分得益于西部网格(www.westgrid.ca)和加拿大计算中心(www.computecanada.ca)提供的支持。计算资源由加拿大计算中心资源分配竞赛#3495(负责人:张学奎)和#1551(负责人:李星)提供。唐辛博士是慢性阻塞性肺疾病领域的加拿大一级研究主席,担任加拿大温哥华心肺创新中心的德拉扎里家族主席。

https://cdn.ncbi.nlm.nih.gov/pmc/blobs/a99c/8413258/b8f0e089d828/gr1.jpg

文献检索

告别复杂PubMed语法,用中文像聊天一样搜索,搜遍4000万医学文献。AI智能推荐,让科研检索更轻松。

立即免费搜索

文件翻译

保留排版,准确专业,支持PDF/Word/PPT等文件格式,支持 12+语言互译。

免费翻译文档

深度研究

AI帮你快速写综述,25分钟生成高质量综述,智能提取关键信息,辅助科研写作。

立即免费体验