• 文献检索
  • 文档翻译
  • 深度研究
  • 学术资讯
  • Suppr Zotero 插件Zotero 插件
  • 邀请有礼
  • 套餐&价格
  • 历史记录
应用&插件
Suppr Zotero 插件Zotero 插件浏览器插件Mac 客户端Windows 客户端微信小程序
定价
高级版会员购买积分包购买API积分包
服务
文献检索文档翻译深度研究API 文档MCP 服务
关于我们
关于 Suppr公司介绍联系我们用户协议隐私条款
关注我们

Suppr 超能文献

核心技术专利:CN118964589B侵权必究
粤ICP备2023148730 号-1Suppr @ 2026

文献检索

告别复杂PubMed语法,用中文像聊天一样搜索,搜遍4000万医学文献。AI智能推荐,让科研检索更轻松。

立即免费搜索

文件翻译

保留排版,准确专业,支持PDF/Word/PPT等文件格式,支持 12+语言互译。

免费翻译文档

深度研究

AI帮你快速写综述,25分钟生成高质量综述,智能提取关键信息,辅助科研写作。

立即免费体验

真菌溢泌作用:生物活性化合物的来源及其生态作用——综述

Fungal Guttation, a Source of Bioactive Compounds, and Its Ecological Role-A Review.

机构信息

Faculty of Natural Sciences, Institute of Biology, Biotechnology and Environmental Protection, University of Silesia in Katowice, 40-032 Katowice, Poland.

出版信息

Biomolecules. 2021 Aug 25;11(9):1270. doi: 10.3390/biom11091270.

DOI:10.3390/biom11091270
PMID:34572483
原文链接:https://pmc.ncbi.nlm.nih.gov/articles/PMC8467351/
Abstract

Guttation is a common phenomenon in the fungal kingdom. Its occurrence and intensity depend largely on culture conditions, such as growth medium composition or incubation temperature. As filamentous fungi are a rich source of compounds, possessing various biological activities, guttation exudates could also contain bioactive substances. Among such molecules, researchers have already found numerous mycotoxins, antimicrobials, insecticides, bioherbicides, antiviral, and anticancer agents in exudate droplets. They belong to either secondary metabolites (SMs) or proteins and are secreted with different intensities. The background of guttation, in terms of its biological role, in vivo, and promoting factors, has been explored only partially. In this review, we describe the metabolites present in fungal exudates, their diversity, and bioactivities. Pointing to the significance of fungal ecology and natural products discovery, selected aspects of guttation in the fungi are discussed.

摘要

溢泌作用是真菌界的一种常见现象。其发生和强度在很大程度上取决于培养条件,例如生长培养基的组成或培养温度。由于丝状真菌是具有各种生物活性化合物的丰富来源,因此溢泌物中也可能含有生物活性物质。在这些分子中,研究人员已经在溢泌液滴中发现了许多霉菌毒素、抗菌剂、杀虫剂、生物除草剂、抗病毒和抗癌剂。它们要么属于次生代谢物 (SMs),要么属于蛋白质,并以不同的强度分泌。溢泌作用的背景,就其生物学作用、体内和促进因素而言,仅被部分探索。在这篇综述中,我们描述了真菌溢泌物中存在的代谢物、它们的多样性和生物活性。本文指出了真菌生态学和天然产物发现的重要性,讨论了真菌溢泌作用的几个方面。

https://cdn.ncbi.nlm.nih.gov/pmc/blobs/e9c7/8467351/233ba1e33490/biomolecules-11-01270-g004.jpg
https://cdn.ncbi.nlm.nih.gov/pmc/blobs/e9c7/8467351/893d2abfe325/biomolecules-11-01270-g001.jpg
https://cdn.ncbi.nlm.nih.gov/pmc/blobs/e9c7/8467351/a011adff0bb0/biomolecules-11-01270-g002.jpg
https://cdn.ncbi.nlm.nih.gov/pmc/blobs/e9c7/8467351/dde95d20f278/biomolecules-11-01270-g003.jpg
https://cdn.ncbi.nlm.nih.gov/pmc/blobs/e9c7/8467351/233ba1e33490/biomolecules-11-01270-g004.jpg
https://cdn.ncbi.nlm.nih.gov/pmc/blobs/e9c7/8467351/893d2abfe325/biomolecules-11-01270-g001.jpg
https://cdn.ncbi.nlm.nih.gov/pmc/blobs/e9c7/8467351/a011adff0bb0/biomolecules-11-01270-g002.jpg
https://cdn.ncbi.nlm.nih.gov/pmc/blobs/e9c7/8467351/dde95d20f278/biomolecules-11-01270-g003.jpg
https://cdn.ncbi.nlm.nih.gov/pmc/blobs/e9c7/8467351/233ba1e33490/biomolecules-11-01270-g004.jpg

相似文献

1
Fungal Guttation, a Source of Bioactive Compounds, and Its Ecological Role-A Review.真菌溢泌作用:生物活性化合物的来源及其生态作用——综述
Biomolecules. 2021 Aug 25;11(9):1270. doi: 10.3390/biom11091270.
2
Indoor Trichoderma strains emitting peptaibols in guttation droplets.室内木霉菌株在吐水液滴中分泌短肽。
J Appl Microbiol. 2018 Nov;125(5):1408-1422. doi: 10.1111/jam.13920. Epub 2018 Sep 11.
3
Penicillium expansum strain isolated from indoor building material was able to grow on gypsum board and emitted guttation droplets containing chaetoglobosins and communesins A, B and D.从室内建筑材料中分离到的扩展青霉菌株能够在石膏板上生长,并分泌含有 chaetoglobosins 和 communesins A、B 和 D 的溢泌液滴。
J Appl Microbiol. 2019 Oct;127(4):1135-1147. doi: 10.1111/jam.14369. Epub 2019 Jul 22.
4
Formation of exudate droplets by Metarhizium anisopliae and the presence of destruxins.金龟子绿僵菌形成渗出液滴和存在破坏素。
Mycologia. 2010 Jan-Feb;102(1):1-10. doi: 10.3852/09-079.
5
Fungal P monooxygenases - the diversity in catalysis and their promising roles in biocontrol activity.真菌 P 单加氧酶——催化多样性及其在生物防治活性中的应用前景。
Appl Microbiol Biotechnol. 2020 Feb;104(3):989-999. doi: 10.1007/s00253-019-10305-3. Epub 2019 Dec 19.
6
Biologically Active Secondary Metabolites from the Fungi.真菌中的生物活性次生代谢产物。
Microbiol Spectr. 2016 Nov;4(6). doi: 10.1128/microbiolspec.FUNK-0009-2016.
7
Guttation droplets of sugarcane red rot pathogen : Formation, toxigenic properties, and composition.甘蔗赤腐病菌的溢泌液滴:形成、产毒特性及成分
Mycologia. 2021 Jul-Aug;113(4):748-758. doi: 10.1080/00275514.2021.1899544. Epub 2021 May 6.
8
Stachybotrys spp. and the guttation phenomenon.葡萄穗霉属及吐水现象。
Mycotoxin Res. 2014 Aug;30(3):151-9. doi: 10.1007/s12550-014-0193-3. Epub 2014 Mar 12.
9
Bioreactivity, Guttation and Agents Influencing Surface Tension of Water Emitted by Actively Growing Indoor Mould Isolates.活性生长的室内霉菌分离株释放的水的生物活性、吐水现象及影响其表面张力的因素
Microorganisms. 2020 Dec 7;8(12):1940. doi: 10.3390/microorganisms8121940.
10
Fungal natural products galaxy: Biochemistry and molecular genetics toward blockbuster drugs discovery.真菌天然产物星系:发现重磅炸弹药物的生物化学和分子遗传学。
Adv Genet. 2021;107:193-284. doi: 10.1016/bs.adgen.2020.11.006. Epub 2021 Feb 2.

引用本文的文献

1
Endophytic fungi from Himalayan silver birch as potential source of plant growth enhancement and secondary metabolite production.来自喜马拉雅银桦的内生真菌作为植物生长促进和次生代谢产物生产的潜在来源。
Braz J Microbiol. 2024 Mar;55(1):557-570. doi: 10.1007/s42770-024-01259-4. Epub 2024 Jan 24.
2
Genome sequencing and molecular networking analysis of the wild fungus Anthostomella pinea reveal its ability to produce a diverse range of secondary metabolites.对野生真菌松生炭疽菌的基因组测序和分子网络分析揭示了其产生多种次生代谢产物的能力。
Fungal Biol Biotechnol. 2024 Jan 3;11(1):1. doi: 10.1186/s40694-023-00170-1.
3

本文引用的文献

1
New Antibiotics for Multidrug-Resistant Bacterial Strains: Latest Research Developments and Future Perspectives.多药耐药菌新抗生素:最新研究进展及未来展望。
Molecules. 2021 May 2;26(9):2671. doi: 10.3390/molecules26092671.
2
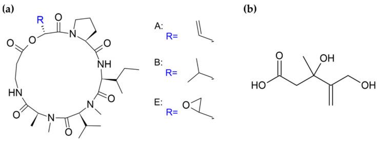
Discovery of cyclohexadepsipeptides with anti-Zika virus activities and biosynthesis of the nonproteinogenic building block (3S)-methyl-l-proline.发现具有抗寨卡病毒活性的环己六肽和非蛋白质结构单元(3S)-甲基-l-脯氨酸的生物合成。
J Biol Chem. 2021 Jul;297(1):100822. doi: 10.1016/j.jbc.2021.100822. Epub 2021 May 23.
3
Proteomic Analysis of Mycelial Exudates of .
"Fruiting Liquid" of Mushroom-Forming Fungi, A Novel Source of Bioactive Compounds - Fruiting-Body Inducer and HIF and Axl Inhibitors.
“蘑菇形成真菌”的“生殖液”,一种新型生物活性化合物来源 - 生殖体诱导剂以及 HIF 和 Axl 抑制剂。
J Agric Food Chem. 2023 Sep 13;71(36):13338-13345. doi: 10.1021/acs.jafc.3c03633. Epub 2023 Aug 31.
4
Phenolic-Rich Extracts from Circular Economy: Chemical Profile and Activity against Filamentous Fungi and Dermatophytes.从循环经济中提取的富含酚类物质:化学成分分析及其对丝状真菌和皮肤真菌的活性。
Molecules. 2023 May 26;28(11):4374. doi: 10.3390/molecules28114374.
5
Auxin- and pH-induced guttation in Phycomyces sporangiophores: relation between guttation and diminished elongation growth.在水玉霉游动孢子梗中,生长素和 pH 值诱导吐水:吐水与伸长生长受抑的关系。
Protoplasma. 2023 Jul;260(4):1109-1133. doi: 10.1007/s00709-022-01833-3. Epub 2023 Jan 9.
6
's Endophytes: The Second Layer of Defense against Biotic and Abiotic Stresses.植物内生菌:抵御生物和非生物胁迫的第二层防线。
Microorganisms. 2022 Nov 9;10(11):2217. doi: 10.3390/microorganisms10112217.
7
Size-Dependent Impact of Magnetic Nanoparticles on Growth and Sporulation of .尺寸相关的磁性纳米颗粒对. 的生长和孢子形成的影响
Molecules. 2022 Sep 9;27(18):5840. doi: 10.3390/molecules27185840.
8
Salt and Metal Tolerance Involves Formation of Guttation Droplets in Species of the Complex.盐和金属耐受性涉及复合体物种中吐水液滴的形成。
Genes (Basel). 2022 Sep 11;13(9):1631. doi: 10.3390/genes13091631.
9
Nanoscale chemical mapping of exometabolites at fungal-mineral interfaces.纳米尺度真菌-矿物界面外代谢产物的化学绘图。
Geobiology. 2022 Sep;20(5):650-666. doi: 10.1111/gbi.12504. Epub 2022 Jun 10.
.的菌丝体渗出物的蛋白质组学分析
Pathogens. 2021 Mar 18;10(3):364. doi: 10.3390/pathogens10030364.
4
A new atypical short-chain dehydrogenase is required for interfungal combat and conidiation in Trichoderma guizhouense.在贵州木霉中,一种新型非典型短链脱氢酶是真菌间对抗和分生孢子形成所必需的。
Environ Microbiol. 2021 Oct;23(10):5784-5801. doi: 10.1111/1462-2920.15493. Epub 2021 Jul 14.
5
Proteomic Analysis Reveals the Importance of Exudates on Sclerotial Development in .蛋白质组学分析揭示了渗出物在……菌核发育中的重要性。
J Agric Food Chem. 2021 Feb 3;69(4):1430-1440. doi: 10.1021/acs.jafc.0c06685. Epub 2021 Jan 22.
6
Epipyrone A, a Broad-Spectrum Antifungal Compound Produced by ICMP 19927.表皮酮 A,一种广谱抗真菌化合物,由 ICMP 19927 产生。
Molecules. 2020 Dec 18;25(24):5997. doi: 10.3390/molecules25245997.
7
Bioreactivity, Guttation and Agents Influencing Surface Tension of Water Emitted by Actively Growing Indoor Mould Isolates.活性生长的室内霉菌分离株释放的水的生物活性、吐水现象及影响其表面张力的因素
Microorganisms. 2020 Dec 7;8(12):1940. doi: 10.3390/microorganisms8121940.
8
The multifunctional lifestyles of Metarhizium: evolution and applications.绿僵菌的多功能生活方式:进化与应用
Appl Microbiol Biotechnol. 2020 Dec;104(23):9935-9945. doi: 10.1007/s00253-020-10968-3. Epub 2020 Oct 21.
9
Multidrug-Resistant Bacteria in the Community: An Update.社区中的耐多药细菌:最新进展。
Infect Dis Clin North Am. 2020 Dec;34(4):709-722. doi: 10.1016/j.idc.2020.08.002. Epub 2020 Sep 30.
10
Proteomic analysis of exudate of from .来自……的渗出液的蛋白质组学分析。 (你提供的原文不完整,“from”后面缺少具体内容)
PeerJ. 2020 Aug 6;8:e9592. doi: 10.7717/peerj.9592. eCollection 2020.