Suppr超能文献

新冠疫情早期阶段行为改变的重要性如何?一项数学建模研究。

How Important Is Behavioral Change during the Early Stages of the COVID-19 Pandemic? A Mathematical Modeling Study.

机构信息

Mathematics Department, Konkuk University, Seoul 05029, Korea.

Department of Liberal Arts, Hongik University College of Engineering, Seoul 04066, Korea.

出版信息

Int J Environ Res Public Health. 2021 Sep 18;18(18):9855. doi: 10.3390/ijerph18189855.

Abstract

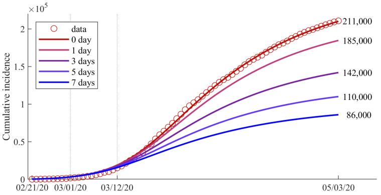
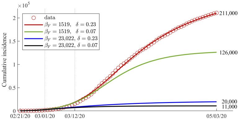
How important is the speed and intensity of behavioral change due to government policies, such as enhanced social distancing or lockdown, when an emerging infectious disease occurs? In this study, we introduce a deterministic SEIR model considering the behavior-changed susceptible group to investigate the effect of the speed and intensity of behavioral change on the transmission dynamics of COVID-19. We used epidemiological data from South Korea and Italy for the simulation study, because South Korea and Italy were the first countries to report an outbreak of COVID-19 after China and the prevention and response policy of each government were similar during the first outbreak of COVID-19. Simulation results showed that it took approximately twenty fewer days in Korea than in Italy until 90% of susceptible individuals changed their behavior during the first outbreak. It was observed that the behavior-changed susceptible individuals reduced the COVID-19 transmission rate by up to 93% in Korea and 77% in Italy. Furthermore, if the intensity and speed of behavioral change in Italy were the same as in Korea, the expected number of cumulative confirmed cases would have been reduced by approximately 95%, from 210,700 to 10,700, until the end of the lockdown period. We assumed that behavioral change is influenced by the number of confirmed cases and does not take into account social and cultural differences, as well as the state of the healthcare system, between the two countries. Our mathematical modeling showed how important the high intensity and fast speed of behavioral change to reduce the number of confirmed cases in the early period of an epidemic are.

摘要

政府政策(如加强社交距离或封锁)引起的行为改变的速度和强度对于新发传染病的传播有多重要?在本研究中,我们引入了一个考虑行为改变的易感人群的确定性 SEIR 模型,以研究行为改变的速度和强度对 COVID-19 传播动态的影响。我们使用来自韩国和意大利的流行病学数据进行模拟研究,因为韩国和意大利是继中国之后第一批报告 COVID-19 爆发的国家,并且在 COVID-19 首次爆发期间,每个政府的预防和应对政策相似。模拟结果表明,在韩国,大约需要 20 天的时间,才能使 90%的易感个体改变其行为,而在意大利则需要更长的时间。我们发现,行为改变的易感个体将韩国的 COVID-19 传播率降低了 93%,而在意大利则降低了 77%。此外,如果意大利的行为改变强度和速度与韩国相同,那么预计累计确诊病例数将减少约 95%,从 210700 例减少到 10700 例,直到封锁期结束。我们假设行为改变受确诊病例数的影响,而不考虑两国之间的社会和文化差异以及医疗保健系统的状态。我们的数学模型表明,在传染病早期,高强度和快速的行为改变对于减少确诊病例数量非常重要。

https://cdn.ncbi.nlm.nih.gov/pmc/blobs/58c2/8469753/8014494e9118/ijerph-18-09855-g001.jpg

文献检索

告别复杂PubMed语法,用中文像聊天一样搜索,搜遍4000万医学文献。AI智能推荐,让科研检索更轻松。

立即免费搜索

文件翻译

保留排版,准确专业,支持PDF/Word/PPT等文件格式,支持 12+语言互译。

免费翻译文档

深度研究

AI帮你快速写综述,25分钟生成高质量综述,智能提取关键信息,辅助科研写作。

立即免费体验