• 文献检索
  • 文档翻译
  • 深度研究
  • 学术资讯
  • Suppr Zotero 插件Zotero 插件
  • 邀请有礼
  • 套餐&价格
  • 历史记录
应用&插件
Suppr Zotero 插件Zotero 插件浏览器插件Mac 客户端Windows 客户端微信小程序
定价
高级版会员购买积分包购买API积分包
服务
文献检索文档翻译深度研究API 文档MCP 服务
关于我们
关于 Suppr公司介绍联系我们用户协议隐私条款
关注我们

Suppr 超能文献

核心技术专利:CN118964589B侵权必究
粤ICP备2023148730 号-1Suppr @ 2026

文献检索

告别复杂PubMed语法,用中文像聊天一样搜索,搜遍4000万医学文献。AI智能推荐,让科研检索更轻松。

立即免费搜索

文件翻译

保留排版,准确专业,支持PDF/Word/PPT等文件格式,支持 12+语言互译。

免费翻译文档

深度研究

AI帮你快速写综述,25分钟生成高质量综述,智能提取关键信息,辅助科研写作。

立即免费体验

哪些临床病理参数提示对哌柏西利联合来曲唑作为激素受体阳性、人表皮生长因子受体2阴性晚期乳腺癌一线治疗的原发性耐药?

Which Clinicopathologic Parameters Suggest Primary Resistance to Palbociclib in Combination With Letrozole as the First-Line Treatment for Hormone Receptor-Positive, HER2-Negative Advanced Breast Cancer?

作者信息

Kim Ji-Yeon, Oh Jung Min, Park Yeon Hee, Ahn Jin Seok, Im Young-Hyuck

机构信息

Division of Hematology-Oncology, Department of Medicine, Samsung Medical Center, Sungkyunkwan University School of Medicine, Seoul, South Korea.

Biomedical Research Institute, Samsung Medical Center, Sungkyunkwan University School of Medicine, Seoul, South Korea.

出版信息

Front Oncol. 2021 Oct 21;11:759150. doi: 10.3389/fonc.2021.759150. eCollection 2021.

DOI:10.3389/fonc.2021.759150
PMID:34745997
原文链接:https://pmc.ncbi.nlm.nih.gov/articles/PMC8566811/
Abstract

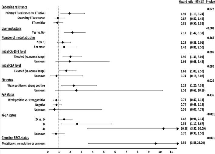
In this study, we evaluated clinical parameters to predict the primary resistance of palbociclib in combination with endocrine therapy as the first-line treatment in patients with hormone receptor (HR)+, human epidermal growth factor receptor 2 (HER2)- metastatic breast cancer (MBC). We performed a data analysis of patients diagnosed with HR+, HER2-MBC who received palbociclib plus letrozole as the first-line treatment in the metastatic setting from the clinical data warehouse in Samsung Medical Center. In this study, 305 patients were included in the final data analysis. The median follow-up duration was 31 months, and we observed 123 cases of disease progression. The median progression-free survival (PFS) was 28.7 months, and 38 patients (12.5%) had less than a 6-month PFS. The multivariate analysis suggested that primary resistance to adjuvant endocrine therapy (ET) (hazard ratio: 1.91), presence of liver metastasis (hazard ratio: 2.17), initial elevation of serum CA-15-3 (hazard ratio: 1.99), weak positivity of estrogen receptor (ER) (hazard ratio: 2.28), Ki-67 3+ or 4+ (hazard ratios: 2.58 and 10.28), and presence of mutation (hazard ratio: 9.59) were associated with a short PFS duration. A further prediction model was developed with data from 256 patients and 33 cases of disease progression in 6 months. This model included five factors-primary resistance to adjuvant ET (odds ratio, OR: 1.14), liver metastasis (OR: 1.56), initial CA-15-3 elevation (OR: 1.51), weak ER expression (OR: 2.22), and BRCA2 mutation (OR: 2.85)-and the area under the receiver operating characteristic curve was 0.842 (95% CI: 0.775, 0.909; < 0.001). Finally, we divided them into four risk groups according to the prediction model with the five risk factors. These four groups had different PFS ( < 0.001) and primary resistance of palbociclib with letrozole [OR of group 2 group 1 (ref): 2.18 ( = 0.002), OR of group 3: 3.91 ( < 0.001), and OR of group 4: 4.25 ( < 0.001)]. We developed a prediction model of primary resistance to palbociclib with letrozole as the first-line treatment for HR+, HER2-MBC. Our prediction model might be helpful for considering the first-line treatment strategies. Further well-designed clinical trials would be warranted to validate our prediction model.

摘要

在本研究中,我们评估了临床参数,以预测哌柏西利联合内分泌治疗作为激素受体(HR)阳性、人表皮生长因子受体2(HER2)阴性转移性乳腺癌(MBC)患者一线治疗时的原发性耐药情况。我们对三星医疗中心临床数据仓库中诊断为HR阳性、HER2阴性MBC且在转移情况下接受哌柏西利加来曲唑作为一线治疗的患者进行了数据分析。本研究最终纳入305例患者进行数据分析。中位随访时间为31个月,我们观察到123例疾病进展。中位无进展生存期(PFS)为28.7个月,38例患者(12.5%)的PFS少于6个月。多变量分析表明,辅助内分泌治疗(ET)的原发性耐药(风险比:1.91)、肝转移的存在(风险比:2.17)、血清CA - 15 - 3的初始升高(风险比:1.99)、雌激素受体(ER)弱阳性(风险比:2.28)、Ki - 67 3 +或4 +(风险比:2.58和10.28)以及突变的存在(风险比:9.59)与较短的PFS持续时间相关。利用来自256例患者的数据和6个月内33例疾病进展情况建立了进一步的预测模型。该模型包括五个因素——辅助ET的原发性耐药(比值比,OR:1.14)、肝转移(OR:1.56)、初始CA - 15 - 3升高(OR:1.51)、ER弱表达(OR:2.22)和BRCA2突变(OR:2.85),受试者操作特征曲线下面积为0.842(95%CI:0.775,0.909;P < 0.001)。最后,我们根据具有五个风险因素的预测模型将患者分为四个风险组。这四个组的PFS不同(P < 0.001),且哌柏西利联合来曲唑的原发性耐药情况不同[第2组与第1组(参照)的OR:2.18(P = 0.002),第3组的OR:3.91(P < 于0.001),第4组的OR:4.25(P < 0.001)]。我们建立了HR阳性、HER2阴性MBC患者一线治疗时对哌柏西利联合来曲唑原发性耐药的预测模型。我们的预测模型可能有助于考虑一线治疗策略。有必要进行进一步设计良好的临床试验来验证我们的预测模型。

https://cdn.ncbi.nlm.nih.gov/pmc/blobs/052d/8566811/2bf202c6c112/fonc-11-759150-g006.jpg
https://cdn.ncbi.nlm.nih.gov/pmc/blobs/052d/8566811/8e5cae140ee1/fonc-11-759150-g001.jpg
https://cdn.ncbi.nlm.nih.gov/pmc/blobs/052d/8566811/4b7d1c17f828/fonc-11-759150-g002.jpg
https://cdn.ncbi.nlm.nih.gov/pmc/blobs/052d/8566811/e1060338fe65/fonc-11-759150-g003.jpg
https://cdn.ncbi.nlm.nih.gov/pmc/blobs/052d/8566811/108614ae3cfa/fonc-11-759150-g004.jpg
https://cdn.ncbi.nlm.nih.gov/pmc/blobs/052d/8566811/8e12bbdacf21/fonc-11-759150-g005.jpg
https://cdn.ncbi.nlm.nih.gov/pmc/blobs/052d/8566811/2bf202c6c112/fonc-11-759150-g006.jpg
https://cdn.ncbi.nlm.nih.gov/pmc/blobs/052d/8566811/8e5cae140ee1/fonc-11-759150-g001.jpg
https://cdn.ncbi.nlm.nih.gov/pmc/blobs/052d/8566811/4b7d1c17f828/fonc-11-759150-g002.jpg
https://cdn.ncbi.nlm.nih.gov/pmc/blobs/052d/8566811/e1060338fe65/fonc-11-759150-g003.jpg
https://cdn.ncbi.nlm.nih.gov/pmc/blobs/052d/8566811/108614ae3cfa/fonc-11-759150-g004.jpg
https://cdn.ncbi.nlm.nih.gov/pmc/blobs/052d/8566811/8e12bbdacf21/fonc-11-759150-g005.jpg
https://cdn.ncbi.nlm.nih.gov/pmc/blobs/052d/8566811/2bf202c6c112/fonc-11-759150-g006.jpg

相似文献

1
Which Clinicopathologic Parameters Suggest Primary Resistance to Palbociclib in Combination With Letrozole as the First-Line Treatment for Hormone Receptor-Positive, HER2-Negative Advanced Breast Cancer?哪些临床病理参数提示对哌柏西利联合来曲唑作为激素受体阳性、人表皮生长因子受体2阴性晚期乳腺癌一线治疗的原发性耐药?
Front Oncol. 2021 Oct 21;11:759150. doi: 10.3389/fonc.2021.759150. eCollection 2021.
2
Real-World Effectiveness of Palbociclib Plus Letrozole vs Letrozole Alone for Metastatic Breast Cancer With Lung or Liver Metastases: Flatiron Database Analysis.哌柏西利联合来曲唑与单独使用来曲唑治疗伴有肺或肝转移的转移性乳腺癌的真实世界疗效:Flatiron数据库分析
Front Oncol. 2022 Jul 4;12:865292. doi: 10.3389/fonc.2022.865292. eCollection 2022.
3
Progression-free Survival Outcome Is Independent of Objective Response in Patients With Estrogen Receptor-positive, Human Epidermal Growth Factor Receptor 2-negative Advanced Breast Cancer Treated With Palbociclib Plus Letrozole Compared With Letrozole: Analysis From PALOMA-2.与来曲唑相比,帕博西尼联合来曲唑治疗雌激素受体阳性、人表皮生长因子受体 2 阴性晚期乳腺癌患者的无进展生存期结局独立于客观缓解:来自 PALOMA-2 的分析。
Clin Breast Cancer. 2020 Apr;20(2):e173-e180. doi: 10.1016/j.clbc.2019.08.009. Epub 2019 Sep 5.
4
Efficacy and safety of palbociclib in combination with letrozole as first-line treatment of ER-positive, HER2-negative, advanced breast cancer: expanded analyses of subgroups from the randomized pivotal trial PALOMA-1/TRIO-18.帕博西尼联合来曲唑作为雌激素受体阳性、人表皮生长因子受体2阴性晚期乳腺癌一线治疗的疗效和安全性:随机关键试验PALOMA-1/TRIO-18亚组的扩展分析
Breast Cancer Res. 2016 Jun 28;18(1):67. doi: 10.1186/s13058-016-0721-5.
5
Palbociclib plus letrozole as first-line therapy in estrogen receptor-positive/human epidermal growth factor receptor 2-negative advanced breast cancer with extended follow-up.帕博西尼联合来曲唑作为雌激素受体阳性/人表皮生长因子受体 2 阴性晚期乳腺癌的一线治疗,随访时间延长。
Breast Cancer Res Treat. 2019 Apr;174(3):719-729. doi: 10.1007/s10549-018-05125-4. Epub 2019 Jan 10.
6
Pharmacoeconomic evaluations of CDK4/6 inhibitors plus endocrine therapy for advanced hormone receptor-positive (HR+) and human epidermal growth factor receptor-2 negative (HER2-) breast cancer: a systematic review.CDK4/6抑制剂联合内分泌治疗晚期激素受体阳性(HR+)和人表皮生长因子受体2阴性(HER2-)乳腺癌的药物经济学评价:一项系统综述
Ann Transl Med. 2022 Feb;10(4):233. doi: 10.21037/atm-21-5110.
7
The cyclin-dependent kinase 4/6 inhibitor palbociclib in combination with letrozole versus letrozole alone as first-line treatment of oestrogen receptor-positive, HER2-negative, advanced breast cancer (PALOMA-1/TRIO-18): a randomised phase 2 study.哌柏西利联合来曲唑与来曲唑单药一线治疗雌激素受体阳性、HER2 阴性、晚期乳腺癌(PALOMA-1/TRIO-18)的随机 2 期研究。
Lancet Oncol. 2015 Jan;16(1):25-35. doi: 10.1016/S1470-2045(14)71159-3. Epub 2014 Dec 16.
8
Efficacy, safety, and predictive model of Palbociclib in the treatment of HR-positive and HER2-negative metastatic breast cancer.帕博西尼治疗激素受体阳性、人表皮生长因子受体 2 阴性转移性乳腺癌的疗效、安全性和预测模型。
BMC Cancer. 2024 Jan 2;24(1):1. doi: 10.1186/s12885-023-11764-8.
9
Cost-Effectiveness of Ribociclib plus Letrozole Versus Palbociclib plus Letrozole and Letrozole Monotherapy in the First-Line Treatment of Postmenopausal Women with HR+/HER2- Advanced or Metastatic Breast Cancer: A U.S. Payer Perspective.来曲唑联合瑞博西利与来曲唑联合帕博西利及来曲唑单药治疗激素受体阳性、人表皮生长因子受体 2 阴性的绝经后晚期或转移性乳腺癌的成本-效果分析:美国支付者视角。
J Manag Care Spec Pharm. 2018 Jun;24(6):514-523. doi: 10.18553/jmcp.2018.24.6.514.
10
Palbociclib: A Novel Cyclin-Dependent Kinase Inhibitor for Hormone Receptor-Positive Advanced Breast Cancer.帕博西尼:一种用于激素受体阳性晚期乳腺癌的新型细胞周期蛋白依赖性激酶抑制剂。
Ann Pharmacother. 2015 Nov;49(11):1252-60. doi: 10.1177/1060028015602273. Epub 2015 Aug 31.

引用本文的文献

1
Impact of germline BRCA1/2 status on outcomes for patients with HR+/HER2- metastatic breast cancer treated with CDK4/6 inhibitors: a systematic review and meta-analysis.胚系BRCA1/2状态对接受CDK4/6抑制剂治疗的HR+/HER2-转移性乳腺癌患者结局的影响:一项系统评价和荟萃分析。
Breast. 2025 Jul 22;83:104544. doi: 10.1016/j.breast.2025.104544.
2
Real-world effectiveness of CDK4/6i in first-line treatment of HR+/HER2- advanced/metastatic breast cancer: updated systematic review.细胞周期蛋白依赖性激酶4/6抑制剂(CDK4/6i)在激素受体阳性/人表皮生长因子受体2阴性(HR+/HER2-)晚期/转移性乳腺癌一线治疗中的真实世界有效性:更新的系统评价
Front Oncol. 2025 Mar 10;15:1530391. doi: 10.3389/fonc.2025.1530391. eCollection 2025.
3

本文引用的文献

1
Detection of secondary metastatic breast cancer by measurement of plasma CA 15.3.通过测量血浆 CA 15.3 检测继发性转移性乳腺癌。
ESMO Open. 2021 Aug;6(4):100203. doi: 10.1016/j.esmoop.2021.100203. Epub 2021 Jul 13.
2
The utility of serum tumor markers CEA and CA 15-3 for breast cancer prognosis and their association with clinicopathological parameters.血清肿瘤标志物 CEA 和 CA 15-3 对乳腺癌预后的效用及其与临床病理参数的关系。
Cancer Treat Res Commun. 2021;28:100402. doi: 10.1016/j.ctarc.2021.100402. Epub 2021 May 24.
3
Ki67 and progesterone receptor status predicts sensitivity to palbociclib: a real-world study.
Survival outcomes, multidimensional prediction and subsequent therapy in patients with hormone receptor-positive advanced breast cancer receiving palbociclib: a real-world analysis.
接受哌柏西利治疗的激素受体阳性晚期乳腺癌患者的生存结局、多维度预测及后续治疗:一项真实世界分析
Gland Surg. 2024 Dec 31;13(12):2313-2324. doi: 10.21037/gs-24-362. Epub 2024 Dec 27.
4
Efficacy and Safety of Cyclin-Dependent Kinase 4/6 Inhibitors in Patients with Breast Cancer: A Systematic Review and Meta-analysis of Randomized Controlled Trials and Real-World Studies.细胞周期蛋白依赖性激酶4/6抑制剂在乳腺癌患者中的疗效和安全性:一项对随机对照试验和真实世界研究的系统评价与荟萃分析
Target Oncol. 2025 Jan;20(1):71-88. doi: 10.1007/s11523-024-01118-0. Epub 2024 Dec 10.
5
Cost-Effectiveness Analysis of Adjuvant Olaparib Versus Watch and Wait in the Treatment of Germline BRCA1/2-Mutated, High-Risk, HER2-Negative Early Breast Cancer in Sweden.奥拉帕利辅助治疗与观察等待策略在瑞典治疗胚系BRCA1/2突变、高危、HER2阴性早期乳腺癌中的成本效益分析
Pharmacoecon Open. 2024 Mar;8(2):277-289. doi: 10.1007/s41669-023-00457-4. Epub 2023 Dec 13.
6
Real World Experience of Second-Line Treatment Strategies after Palbociclib and Letrozole: Overall Survival in Metastatic Hormone Receptor-Positive Human Epidermal Growth Factor Receptor 2-Negative Breast Cancer.哌柏西利与来曲唑二线治疗策略的真实世界经验:激素受体阳性、人表皮生长因子受体2阴性转移性乳腺癌的总生存期
Cancers (Basel). 2023 Jun 30;15(13):3431. doi: 10.3390/cancers15133431.
7
Adjuvant olaparib in the subset of patients from Japan with BRCA1- or BRCA2-mutated high-risk early breast cancer from the phase 3 OlympiA trial.OlympiA 试验中来自日本的 BRCA1 或 BRCA2 突变的高风险早期乳腺癌患者亚组中辅助奥拉帕利的应用。
Breast Cancer. 2023 Jul;30(4):596-605. doi: 10.1007/s12282-023-01451-8. Epub 2023 Apr 1.
8
A Nomogram for Predicting Liver Metastasis of Lymph-Node Positive Luminal B HER2 Negative Subtype Breast Cancer by Analyzing the Clinicopathological Characteristics of Patients with Breast Cancer.基于乳腺癌患者临床病理特征分析的淋巴结阳性 Luminal B HER2 阴性亚型乳腺癌肝转移预测列线图
Technol Cancer Res Treat. 2022 Jan-Dec;21:15330338221132669. doi: 10.1177/15330338221132669.
9
Overall survival in the OlympiA phase III trial of adjuvant olaparib in patients with germline pathogenic variants in BRCA1/2 and high-risk, early breast cancer.OlympiA 三期临床试验中奥拉帕利辅助治疗用于携带 BRCA1/2 种系致病性变异的高危早期乳腺癌患者的总生存情况。
Ann Oncol. 2022 Dec;33(12):1250-1268. doi: 10.1016/j.annonc.2022.09.159. Epub 2022 Oct 10.
Ki67和孕激素受体状态可预测对哌柏西利的敏感性:一项真实世界研究。
Ann Transl Med. 2021 Apr;9(8):707. doi: 10.21037/atm-21-1340.
4
Neoadjuvant Chemotherapy, Endocrine Therapy, and Targeted Therapy for Breast Cancer: ASCO Guideline.乳腺癌的新辅助化疗、内分泌治疗和靶向治疗:ASCO 指南。
J Clin Oncol. 2021 May 1;39(13):1485-1505. doi: 10.1200/JCO.20.03399. Epub 2021 Jan 28.
5
Real-World Outcomes of Treating Advanced Breast Cancer Patients With Palbociclib: A Multicenter Retrospective Cohort Study in Japan-The KBCOG-14 Study.帕博西尼治疗晚期乳腺癌患者的真实世界结局:日本一项多中心回顾性队列研究——KBCOG-14研究
Breast Cancer (Auckl). 2020 Dec 28;14:1178223420983843. doi: 10.1177/1178223420983843. eCollection 2020.
6
Real-World Clinical Data of Palbociclib in Asian Metastatic Breast Cancer Patients: Experiences from Eight Institutions.帕博西尼在亚洲转移性乳腺癌患者中的真实世界临床数据:8 家机构的经验。
Cancer Res Treat. 2021 Apr;53(2):409-423. doi: 10.4143/crt.2020.451. Epub 2020 Oct 28.
7
5th ESO-ESMO international consensus guidelines for advanced breast cancer (ABC 5).第五届欧洲中学教育阶段(ESO)-欧洲肿瘤内科学会(ESMO)晚期乳腺癌国际共识指南(ABC 5)
Ann Oncol. 2020 Dec;31(12):1623-1649. doi: 10.1016/j.annonc.2020.09.010. Epub 2020 Sep 23.
8
Circulating Tumor DNA Markers for Early Progression on Fulvestrant With or Without Palbociclib in ER+ Advanced Breast Cancer.氟维司群联合或不联合哌柏西利治疗 ER+ 晚期乳腺癌患者的早期进展的循环肿瘤 DNA 标志物。
J Natl Cancer Inst. 2021 Mar 1;113(3):309-317. doi: 10.1093/jnci/djaa087.
9
Estrogen and Progesterone Receptor Testing in Breast Cancer: ASCO/CAP Guideline Update.乳腺癌中雌激素和孕激素受体检测:ASCO/CAP 指南更新。
J Clin Oncol. 2020 Apr 20;38(12):1346-1366. doi: 10.1200/JCO.19.02309. Epub 2020 Jan 13.
10
Clinical Features and Outcomes of Invasive Breast Cancer: Age-Specific Analysis of a Modern Hospital-Based Registry.浸润性乳腺癌的临床特征与转归:基于现代医院登记系统的年龄特异性分析
J Glob Oncol. 2019 Jul;5:1-9. doi: 10.1200/JGO.19.00034.