• 文献检索
  • 文档翻译
  • 深度研究
  • 学术资讯
  • Suppr Zotero 插件Zotero 插件
  • 邀请有礼
  • 套餐&价格
  • 历史记录
应用&插件
Suppr Zotero 插件Zotero 插件浏览器插件Mac 客户端Windows 客户端微信小程序
定价
高级版会员购买积分包购买API积分包
服务
文献检索文档翻译深度研究API 文档MCP 服务
关于我们
关于 Suppr公司介绍联系我们用户协议隐私条款
关注我们

Suppr 超能文献

核心技术专利:CN118964589B侵权必究
粤ICP备2023148730 号-1Suppr @ 2026

文献检索

告别复杂PubMed语法,用中文像聊天一样搜索,搜遍4000万医学文献。AI智能推荐,让科研检索更轻松。

立即免费搜索

文件翻译

保留排版,准确专业,支持PDF/Word/PPT等文件格式,支持 12+语言互译。

免费翻译文档

深度研究

AI帮你快速写综述,25分钟生成高质量综述,智能提取关键信息,辅助科研写作。

立即免费体验

跨成像模态和组织学的放射学肿瘤分类。

Radiological tumor classification across imaging modality and histology.

作者信息

Wu Jia, Li Chao, Gensheimer Michael, Padda Sukhmani, Kato Fumi, Shirato Hiroki, Wei Yiran, Schönlieb Carola-Bibiane, Price Stephen John, Jaffray David, Heymach John, Neal Joel W, Loo Billy W, Wakelee Heather, Diehn Maximilian, Li Ruijiang

机构信息

Department of Radiation Oncology, Stanford University School of Medicine, Palo Alto, CA, USA.

Department of Imaging Physics, MD Anderson Cancer Center, Houston, TX, USA.

出版信息

Nat Mach Intell. 2021 Sep;3:787-798. doi: 10.1038/s42256-021-00377-0. Epub 2021 Aug 9.

DOI:10.1038/s42256-021-00377-0
PMID:34841195
原文链接:https://pmc.ncbi.nlm.nih.gov/articles/PMC8612063/
Abstract

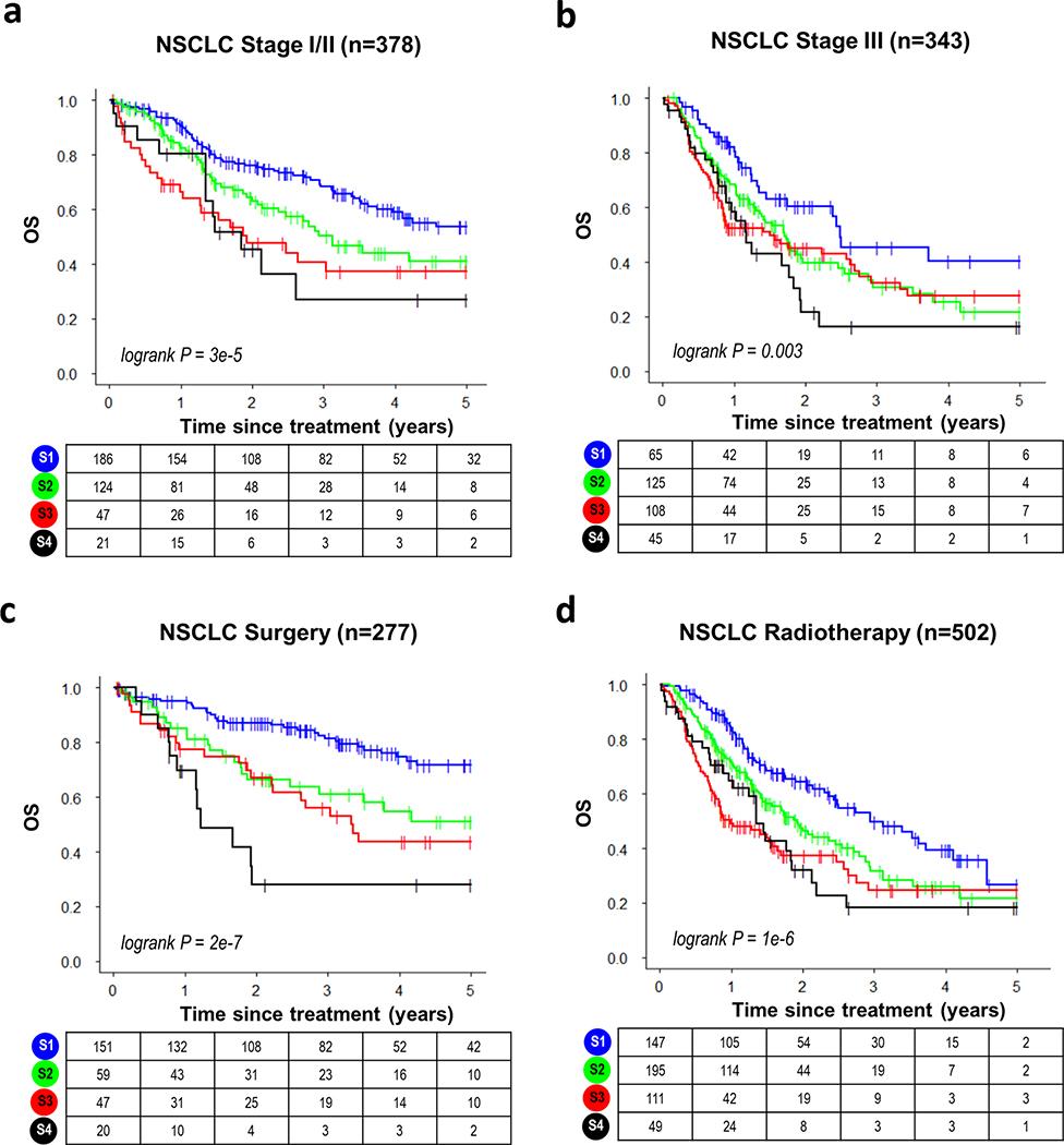
Radiomics refers to the high-throughput extraction of quantitative features from radiological scans and is widely used to search for imaging biomarkers for prediction of clinical outcomes. Current radiomic signatures suffer from limited reproducibility and generalizability, because most features are dependent on imaging modality and tumor histology, making them sensitive to variations in scan protocol. Here, we propose novel radiological features that are specially designed to ensure compatibility across diverse tissues and imaging contrast. These features provide systematic characterization of tumor morphology and spatial heterogeneity. In an international multi-institution study of 1,682 patients, we discover and validate four unifying imaging subtypes across three malignancies and two major imaging modalities. These tumor subtypes demonstrate distinct molecular characteristics and prognoses after conventional therapies. In advanced lung cancer treated with immunotherapy, one subtype is associated with improved survival and increased tumor-infiltrating lymphocytes compared with the others. Deep learning enables automatic tumor segmentation and reproducible subtype identification, which can facilitate practical implementation. The unifying radiological tumor classification may inform prognosis and treatment response for precision medicine.

摘要

放射组学是指从放射影像扫描中高通量提取定量特征,并广泛用于寻找预测临床结果的影像生物标志物。目前的放射组学特征存在可重复性和可推广性有限的问题,因为大多数特征依赖于成像模式和肿瘤组织学,这使得它们对扫描协议的变化很敏感。在此,我们提出了专门设计的新型放射学特征,以确保在不同组织和成像对比度之间的兼容性。这些特征提供了肿瘤形态和空间异质性的系统表征。在一项对1682名患者的国际多机构研究中,我们在三种恶性肿瘤和两种主要成像模式中发现并验证了四种统一的影像亚型。这些肿瘤亚型在传统治疗后表现出不同的分子特征和预后。在接受免疫治疗的晚期肺癌中,与其他亚型相比,一种亚型与生存率提高和肿瘤浸润淋巴细胞增加相关。深度学习能够实现自动肿瘤分割和可重复的亚型识别,这有助于实际应用。统一的放射学肿瘤分类可为精准医学的预后和治疗反应提供参考。

https://cdn.ncbi.nlm.nih.gov/pmc/blobs/1f0f/8612063/cc832c6b85cd/nihms-1718815-f0006.jpg
https://cdn.ncbi.nlm.nih.gov/pmc/blobs/1f0f/8612063/4038ae896d5e/nihms-1718815-f0007.jpg
https://cdn.ncbi.nlm.nih.gov/pmc/blobs/1f0f/8612063/8733554570fb/nihms-1718815-f0008.jpg
https://cdn.ncbi.nlm.nih.gov/pmc/blobs/1f0f/8612063/0f7f38dde10d/nihms-1718815-f0009.jpg
https://cdn.ncbi.nlm.nih.gov/pmc/blobs/1f0f/8612063/527d76f51b7e/nihms-1718815-f0010.jpg
https://cdn.ncbi.nlm.nih.gov/pmc/blobs/1f0f/8612063/30f2ffcde2b0/nihms-1718815-f0011.jpg
https://cdn.ncbi.nlm.nih.gov/pmc/blobs/1f0f/8612063/ea9bb0aa1fd5/nihms-1718815-f0012.jpg
https://cdn.ncbi.nlm.nih.gov/pmc/blobs/1f0f/8612063/c59df69c7d40/nihms-1718815-f0013.jpg
https://cdn.ncbi.nlm.nih.gov/pmc/blobs/1f0f/8612063/45e09d9304f2/nihms-1718815-f0014.jpg
https://cdn.ncbi.nlm.nih.gov/pmc/blobs/1f0f/8612063/038ec23ce236/nihms-1718815-f0015.jpg
https://cdn.ncbi.nlm.nih.gov/pmc/blobs/1f0f/8612063/ca5603a489f1/nihms-1718815-f0016.jpg
https://cdn.ncbi.nlm.nih.gov/pmc/blobs/1f0f/8612063/9c009ae93bbb/nihms-1718815-f0001.jpg
https://cdn.ncbi.nlm.nih.gov/pmc/blobs/1f0f/8612063/9f67612bf68e/nihms-1718815-f0002.jpg
https://cdn.ncbi.nlm.nih.gov/pmc/blobs/1f0f/8612063/d37464af3d3e/nihms-1718815-f0003.jpg
https://cdn.ncbi.nlm.nih.gov/pmc/blobs/1f0f/8612063/9e4a1f4db895/nihms-1718815-f0004.jpg
https://cdn.ncbi.nlm.nih.gov/pmc/blobs/1f0f/8612063/f7bd863beb00/nihms-1718815-f0005.jpg
https://cdn.ncbi.nlm.nih.gov/pmc/blobs/1f0f/8612063/cc832c6b85cd/nihms-1718815-f0006.jpg
https://cdn.ncbi.nlm.nih.gov/pmc/blobs/1f0f/8612063/4038ae896d5e/nihms-1718815-f0007.jpg
https://cdn.ncbi.nlm.nih.gov/pmc/blobs/1f0f/8612063/8733554570fb/nihms-1718815-f0008.jpg
https://cdn.ncbi.nlm.nih.gov/pmc/blobs/1f0f/8612063/0f7f38dde10d/nihms-1718815-f0009.jpg
https://cdn.ncbi.nlm.nih.gov/pmc/blobs/1f0f/8612063/527d76f51b7e/nihms-1718815-f0010.jpg
https://cdn.ncbi.nlm.nih.gov/pmc/blobs/1f0f/8612063/30f2ffcde2b0/nihms-1718815-f0011.jpg
https://cdn.ncbi.nlm.nih.gov/pmc/blobs/1f0f/8612063/ea9bb0aa1fd5/nihms-1718815-f0012.jpg
https://cdn.ncbi.nlm.nih.gov/pmc/blobs/1f0f/8612063/c59df69c7d40/nihms-1718815-f0013.jpg
https://cdn.ncbi.nlm.nih.gov/pmc/blobs/1f0f/8612063/45e09d9304f2/nihms-1718815-f0014.jpg
https://cdn.ncbi.nlm.nih.gov/pmc/blobs/1f0f/8612063/038ec23ce236/nihms-1718815-f0015.jpg
https://cdn.ncbi.nlm.nih.gov/pmc/blobs/1f0f/8612063/ca5603a489f1/nihms-1718815-f0016.jpg
https://cdn.ncbi.nlm.nih.gov/pmc/blobs/1f0f/8612063/9c009ae93bbb/nihms-1718815-f0001.jpg
https://cdn.ncbi.nlm.nih.gov/pmc/blobs/1f0f/8612063/9f67612bf68e/nihms-1718815-f0002.jpg
https://cdn.ncbi.nlm.nih.gov/pmc/blobs/1f0f/8612063/d37464af3d3e/nihms-1718815-f0003.jpg
https://cdn.ncbi.nlm.nih.gov/pmc/blobs/1f0f/8612063/9e4a1f4db895/nihms-1718815-f0004.jpg
https://cdn.ncbi.nlm.nih.gov/pmc/blobs/1f0f/8612063/f7bd863beb00/nihms-1718815-f0005.jpg
https://cdn.ncbi.nlm.nih.gov/pmc/blobs/1f0f/8612063/cc832c6b85cd/nihms-1718815-f0006.jpg

相似文献

1
Radiological tumor classification across imaging modality and histology.跨成像模态和组织学的放射学肿瘤分类。
Nat Mach Intell. 2021 Sep;3:787-798. doi: 10.1038/s42256-021-00377-0. Epub 2021 Aug 9.
2
Comparative analysis of deep learning and radiomic signatures for overall survival prediction in recurrent high-grade glioma treated with immunotherapy.免疫疗法治疗复发性高级别胶质瘤中深度学习与放射组学特征对总生存期预测的比较分析
Cancer Imaging. 2025 Jan 21;25(1):5. doi: 10.1186/s40644-024-00818-0.
3
Using 3D deep features from CT scans for cancer prognosis based on a video classification model: A multi-dataset feasibility study.基于视频分类模型的 CT 扫描三维深度学习特征用于癌症预后:一项多数据集可行性研究。
Med Phys. 2023 Jul;50(7):4220-4233. doi: 10.1002/mp.16430. Epub 2023 Apr 27.
4
A radiomics approach to assess tumour-infiltrating CD8 cells and response to anti-PD-1 or anti-PD-L1 immunotherapy: an imaging biomarker, retrospective multicohort study.一种基于放射组学的方法来评估肿瘤浸润 CD8 细胞与抗 PD-1 或抗 PD-L1 免疫治疗反应的关系:一项影像学生物标志物、回顾性多队列研究。
Lancet Oncol. 2018 Sep;19(9):1180-1191. doi: 10.1016/S1470-2045(18)30413-3. Epub 2018 Aug 14.
5
A multi-instance tumor subtype classification method for small PET datasets using RA-DL attention module guided deep feature extraction with radiomics features.基于 RA-DL 注意力模块引导的放射组学特征深度特征提取的小 PET 数据集多实例肿瘤亚型分类方法。
Comput Biol Med. 2024 May;174:108461. doi: 10.1016/j.compbiomed.2024.108461. Epub 2024 Apr 9.
6
Current state of radiomic research in pancreatic cancer: focusing on study design and reproducibility of findings.当前胰腺癌放射组学研究的现状:重点关注研究设计和研究结果的可重复性。
Eur Radiol. 2023 Oct;33(10):6659-6669. doi: 10.1007/s00330-023-09653-6. Epub 2023 Apr 20.
7
Tensor radiomics: paradigm for systematic incorporation of multi-flavoured radiomics features.张量放射组学:系统整合多种类型放射组学特征的范例
Quant Imaging Med Surg. 2023 Dec 1;13(12):7680-7694. doi: 10.21037/qims-23-163. Epub 2023 Nov 7.
8
Automated Classification of Lung Cancer Subtypes Using Deep Learning and CT-Scan Based Radiomic Analysis.使用深度学习和基于CT扫描的放射组学分析对肺癌亚型进行自动分类
Bioengineering (Basel). 2023 Jun 6;10(6):690. doi: 10.3390/bioengineering10060690.
9
Exploratory Study to Identify Radiomics Classifiers for Lung Cancer Histology.用于识别肺癌组织学的放射组学分类器的探索性研究。
Front Oncol. 2016 Mar 30;6:71. doi: 10.3389/fonc.2016.00071. eCollection 2016.
10
A novel framework for esophageal cancer grading: combining CT imaging, radiomics, reproducibility, and deep learning insights.一种用于食管癌分级的新型框架:结合CT成像、影像组学、可重复性和深度学习见解。
BMC Gastroenterol. 2025 May 10;25(1):356. doi: 10.1186/s12876-025-03952-6.

引用本文的文献

1
Multidisciplinary, Clinical Assessment of Accelerated Deep-Learning MRI Protocols at 1.5 T and 3 T After Intracranial Tumor Surgery and Their Influence on Residual Tumor Perception.颅内肿瘤手术后1.5T和3T加速深度学习MRI协议的多学科临床评估及其对残余肿瘤感知的影响。
Diagnostics (Basel). 2025 Aug 7;15(15):1982. doi: 10.3390/diagnostics15151982.
2
Progress and challenges of artificial intelligence in lung cancer clinical translation.人工智能在肺癌临床转化中的进展与挑战
NPJ Precis Oncol. 2025 Jul 1;9(1):210. doi: 10.1038/s41698-025-00986-7.
3
Leveraging large language models for accurate classification of liver lesions from MRI reports.

本文引用的文献

1
Deep learning of material transport in complex neurite networks.深度学习复杂神经突网络中的物质运输。
Sci Rep. 2021 May 28;11(1):11280. doi: 10.1038/s41598-021-90724-3.
2
Radiographical assessment of tumour stroma and treatment outcomes using deep learning: a retrospective, multicohort study.利用深度学习对肿瘤基质进行放射学评估和治疗结果:一项回顾性、多队列研究。
Lancet Digit Health. 2021 Jun;3(6):e371-e382. doi: 10.1016/S2589-7500(21)00065-0.
3
Radiogenomic signatures reveal multiscale intratumour heterogeneity associated with biological functions and survival in breast cancer.
利用大语言模型对MRI报告中的肝脏病变进行准确分类。
Comput Struct Biotechnol J. 2025 May 21;27:2139-2146. doi: 10.1016/j.csbj.2025.05.019. eCollection 2025.
4
Deep learning informed multimodal fusion of radiology and pathology to predict outcomes in HPV-associated oropharyngeal squamous cell carcinoma.深度学习助力放射学与病理学的多模态融合,以预测人乳头瘤病毒相关口咽鳞状细胞癌的预后。
EBioMedicine. 2025 Apr;114:105663. doi: 10.1016/j.ebiom.2025.105663. Epub 2025 Mar 22.
5
Pan-cancer analysis shapes the understanding of cancer biology and medicine.泛癌分析塑造了对癌症生物学和医学的理解。
Cancer Commun (Lond). 2025 Jul;45(7):728-746. doi: 10.1002/cac2.70008. Epub 2025 Mar 22.
6
Bibliometric insight into neoadjuvant immunotherapy in non-small cell lung cancer: trends, collaborations, and future avenues.非小细胞肺癌新辅助免疫治疗的文献计量学洞察:趋势、合作及未来方向
Front Immunol. 2025 Feb 10;16:1533651. doi: 10.3389/fimmu.2025.1533651. eCollection 2025.
7
Multidisciplinary quantitative and qualitative assessment of IDH-mutant gliomas with full diagnostic deep learning image reconstruction.采用全诊断深度学习图像重建对异柠檬酸脱氢酶(IDH)突变型胶质瘤进行多学科定量和定性评估。
Eur J Radiol Open. 2024 Dec 4;13:100617. doi: 10.1016/j.ejro.2024.100617. eCollection 2024 Dec.
8
Prognostic value of FDX1, the cuprotosis key gene, and its prediction models across imaging modalities and histology.FDX1(铜死亡关键基因)的预后价值及其在影像学和组织学上的预测模型。
BMC Cancer. 2024 Nov 11;24(1):1381. doi: 10.1186/s12885-024-13149-x.
9
Radiomic Features as Artificial Intelligence Prognostic Models in Glioblastoma: A Systematic Review and Meta-Analysis.放射组学特征作为胶质母细胞瘤的人工智能预后模型:一项系统评价和荟萃分析
Diagnostics (Basel). 2024 Oct 22;14(21):2354. doi: 10.3390/diagnostics14212354.
10
Multicenter radio-multiomic analysis for predicting breast cancer outcome and unravelling imaging-biological connection.用于预测乳腺癌预后及揭示影像与生物学关联的多中心放射组学与多组学分析
NPJ Precis Oncol. 2024 Sep 7;8(1):193. doi: 10.1038/s41698-024-00666-y.
放射基因组特征揭示了与乳腺癌生物学功能和生存相关的多尺度肿瘤内异质性。
Nat Commun. 2020 Sep 25;11(1):4861. doi: 10.1038/s41467-020-18703-2.
4
Multiparametric Analysis of Longitudinal Quantitative MRI data to Identify Distinct Tumor Habitats in Preclinical Models of Breast Cancer.对纵向定量MRI数据进行多参数分析,以识别乳腺癌临床前模型中的不同肿瘤栖息地。
Cancers (Basel). 2020 Jun 24;12(6):1682. doi: 10.3390/cancers12061682.
5
Histology-agnostic drug development - considering issues beyond the tissue.组织学不可知药物研发——考虑组织之外的问题。
Nat Rev Clin Oncol. 2020 Sep;17(9):555-568. doi: 10.1038/s41571-020-0384-0. Epub 2020 Jun 11.
6
Noninvasive imaging evaluation of tumor immune microenvironment to predict outcomes in gastric cancer.肿瘤免疫微环境的无创影像学评估预测胃癌结局。
Ann Oncol. 2020 Jun;31(6):760-768. doi: 10.1016/j.annonc.2020.03.295. Epub 2020 Mar 30.
7
Reaction diffusion system prediction based on convolutional neural network.基于卷积神经网络的反应扩散系统预测。
Sci Rep. 2020 Mar 3;10(1):3894. doi: 10.1038/s41598-020-60853-2.
8
CT derived radiomic score for predicting the added benefit of adjuvant chemotherapy following surgery in Stage I, II resectable Non-Small Cell Lung Cancer: a retrospective multi-cohort study for outcome prediction.基于 CT 影像组学的评分预测可手术切除的Ⅰ期、Ⅱ期非小细胞肺癌术后辅助化疗获益:一项用于结局预测的回顾性多队列研究。
Lancet Digit Health. 2020 Mar;2(3):e116-e128. doi: 10.1016/s2589-7500(20)30002-9. Epub 2020 Feb 13.
9
An image-based deep learning framework for individualizing radiotherapy dose.基于图像的深度学习个体化放疗剂量框架。
Lancet Digit Health. 2019 Jul;1(3):e136-e147. doi: 10.1016/S2589-7500(19)30058-5. Epub 2019 Jun 27.
10
Tumor Subregion Evolution-Based Imaging Features to Assess Early Response and Predict Prognosis in Oropharyngeal Cancer.基于肿瘤亚区演变的影像学特征评估口咽癌的早期反应和预测预后。
J Nucl Med. 2020 Mar;61(3):327-336. doi: 10.2967/jnumed.119.230037. Epub 2019 Aug 16.