Suppr超能文献

小鼠耐力运动训练方案的系统评价与荟萃分析

Systematic Review and Meta-Analysis of Endurance Exercise Training Protocols for Mice.

作者信息

Massett Michael P, Matejka Caitlyn, Kim Hyoseon

机构信息

Department of Kinesiology and Sport Management, Texas Tech University, Lubbock, TX, United States.

出版信息

Front Physiol. 2021 Dec 2;12:782695. doi: 10.3389/fphys.2021.782695. eCollection 2021.

Abstract

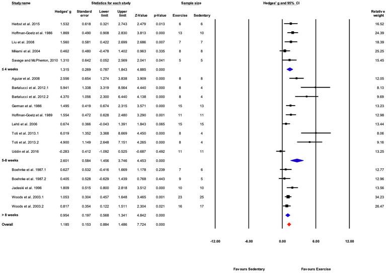
Inbred and genetically modified mice are frequently used to investigate the molecular mechanisms responsible for the beneficial adaptations to exercise training. However, published paradigms for exercise training in mice are variable, making comparisons across studies for training efficacy difficult. The purpose of this systematic review and meta-analysis was to characterize the diversity across published treadmill-based endurance exercise training protocols for mice and to identify training protocol parameters that moderate the adaptations to endurance exercise training in mice. Published studies were retrieved from PubMed and EMBASE and reviewed for the following inclusion criteria: inbred mice; inclusion of a sedentary group; and exercise training using a motorized treadmill. Fifty-eight articles met those inclusion criteria and also included a "classical" marker of training efficacy. Outcome measures included changes in exercise performance, O, skeletal muscle oxidative enzyme activity, blood lactate levels, or exercise-induced cardiac hypertrophy. The majority of studies were conducted using male mice. Approximately 48% of studies included all information regarding exercise training protocol parameters. Meta-analysis was performed using 105 distinct training groups (i.e., EX-SED pairs). Exercise training had a significant effect on training outcomes, but with high heterogeneity (Hedges' =1.70, 95% CI=1.47-1.94, Tau=1.14, =80.4%, prediction interval=-0.43-3.84). Heterogeneity was partially explained by subgroup differences in treadmill incline, training duration, exercise performance test type, and outcome variable. Subsequent analyses were performed on subsets of studies based on training outcome, exercise performance, or biochemical markers. Exercise training significantly improved performance outcomes (Hedges' =1.85, 95% CI=1.55-2.15). Subgroup differences were observed for treadmill incline, training duration, and exercise performance test protocol on improvements in performance. Biochemical markers also changed significantly with training (Hedges' =1.62, 95% CI=1.14-2.11). Subgroup differences were observed for strain, sex, exercise session time, and training duration. These results demonstrate there is a high degree of heterogeneity across exercise training studies in mice. Training duration had the most significant impact on training outcome. However, the magnitude of the effect of exercise training varies based on the marker used to assess training efficacy.

摘要

近交系和转基因小鼠经常被用于研究运动训练有益适应的分子机制。然而,已发表的小鼠运动训练范式各不相同,使得跨研究比较训练效果变得困难。本系统评价和荟萃分析的目的是描述已发表的基于跑步机的小鼠耐力运动训练方案的多样性,并确定能调节小鼠对耐力运动训练适应性的训练方案参数。从PubMed和EMBASE检索已发表的研究,并根据以下纳入标准进行审查:近交系小鼠;纳入久坐组;使用电动跑步机进行运动训练。58篇文章符合这些纳入标准,并且还包括训练效果的“经典”标志物。观察指标包括运动能力、氧气、骨骼肌氧化酶活性、血乳酸水平或运动诱导的心脏肥大的变化。大多数研究使用雄性小鼠进行。大约48%的研究包含了关于运动训练方案参数的所有信息。使用105个不同的训练组(即运动-久坐配对)进行荟萃分析。运动训练对训练结果有显著影响,但异质性较高(Hedges' =1.70,95%CI=1.47-1.94,Tau=1.14,I²=80.4%,预测区间=-0.43-3.84)。异质性部分由跑步机坡度、训练持续时间、运动能力测试类型和观察指标变量的亚组差异解释。随后基于训练结果、运动能力或生化标志物对研究子集进行分析。运动训练显著改善了运动能力结果(Hedges' =1.85,95%CI=1.55-2.15)。在跑步机坡度、训练持续时间和运动能力测试方案对运动能力改善方面观察到亚组差异。生化标志物也随训练显著变化(Hedges' =1.62,95%CI=1.14-2.11)。在品系、性别、运动时段时间和训练持续时间方面观察到亚组差异。这些结果表明,小鼠运动训练研究之间存在高度异质性。训练持续时间对训练结果影响最为显著。然而,运动训练效果的大小因用于评估训练效果的标志物而异。

https://cdn.ncbi.nlm.nih.gov/pmc/blobs/181d/8691460/5f39f69037f9/fphys-12-782695-g001.jpg

文献AI研究员

20分钟写一篇综述,助力文献阅读效率提升50倍。

立即体验

用中文搜PubMed

大模型驱动的PubMed中文搜索引擎

马上搜索

文档翻译

学术文献翻译模型,支持多种主流文档格式。

立即体验