Suppr超能文献

新冠疫情期间母亲焦虑对儿童早期发育的影响

The Impact of Maternal Anxiety on Early Child Development During the COVID-19 Pandemic.

作者信息

Jeličić Ljiljana, Sovilj Mirjana, Bogavac Ivana, Drobnjak And Ela, Gouni Olga, Kazmierczak Maria, Subotić Miško

机构信息

Cognitive Neuroscience Department, Research and Development Institute "Life Activities Advancement Center," Belgrade, Serbia.

Department of Speech, Language and Hearing Sciences, Institute for Experimental Phonetics and Speech Pathology, Belgrade, Serbia.

出版信息

Front Psychol. 2021 Dec 22;12:792053. doi: 10.3389/fpsyg.2021.792053. eCollection 2021.

Abstract

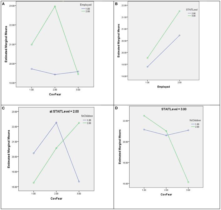
Maternal prenatal anxiety is among important public health issues as it may affect child development. However, there are not enough studies to examine the impact of a mother's anxiety on the child's early development, especially up to 1 year. The present prospective cohort study aimed to examine whether maternal trait anxiety, perceived social support, and COVID-19 related fear impacted speech-language, sensory-motor, and socio-emotional development in 12 months old Serbian infants during the COVID-19 pandemic. This follow-up study included 142 pregnant women (Time 1) and their children at 12 months (Time 2). Antenatal maternal anxiety and children's development were examined. Maternal anxiety was assessed using the State-Trait Anxiety Inventory (STAI). Child speech-language, sensory-motor, and socio-emotional development were assessed using the developmental scale in the form of an online questionnaire that examined the early psychophysiological child development. Information on socioeconomic factors, child and maternal demographics, clinical factors, and perceived fear of COVID-19 viral infection were collected. Multivariable General Linear Model analysis was conducted, adjusted for demographic, clinical, and coronavirus prenatal experiences, maternal prenatal anxiety levels, perceived social support, speech-language, motor skills, and cognitive and socio-emotional development at the infants' age of 12 months. The study revealed the influence of the COVID-19 pandemic on maternal trait anxiety. The association between selected independent factors and infants' development was found in a demographically unified sample except for employment and the number of children. There was a correlation between all observed developmental functions. Univariate General Linear model statistical analysis indicated that linear models with selected independent factors and covariates could account for 30.9% (Cognition) up to 40.6% (Speech-language) of variability in developmental functions. It turned out that two-way and three-way interactions had a dominant role on models, and STAI-T Level and COVID-19 related fear were present in all interaction terms. Our findings reveal important determinants of child developmental outcomes and underline the impact of maternal anxiety on early child development. These findings lay the groundwork for the following interdisciplinary research on pregnancy and child development to facilitate and achieve positive developmental outcomes and maternal mental health.

摘要

孕期母亲焦虑是重要的公共卫生问题之一,因为它可能影响儿童发育。然而,目前尚无足够的研究来考察母亲焦虑对儿童早期发育的影响,尤其是在1岁之前。本前瞻性队列研究旨在探讨在新冠疫情期间,母亲的特质焦虑、感知到的社会支持以及与新冠疫情相关的恐惧是否会影响12个月大的塞尔维亚婴儿的语言、感觉运动和社会情感发展。这项随访研究纳入了142名孕妇(时间1)及其12个月大的孩子(时间2)。研究对产前母亲焦虑和儿童发育情况进行了调查。母亲焦虑通过状态-特质焦虑量表(STAI)进行评估。儿童的语言、感觉运动和社会情感发展通过在线问卷形式的发育量表进行评估,该量表用于考察儿童早期心理生理发育情况。研究收集了社会经济因素、儿童和母亲人口统计学信息、临床因素以及对新冠病毒感染的感知恐惧等方面的信息。研究进行了多变量一般线性模型分析,并对人口统计学、临床和新冠疫情产前经历、母亲产前焦虑水平、感知到的社会支持、语言、运动技能以及婴儿12个月大时的认知和社会情感发展进行了调整。研究揭示了新冠疫情对母亲特质焦虑的影响。在除就业和子女数量外人口统计学统一的样本中,发现了所选独立因素与婴儿发育之间的关联。所有观察到的发育功能之间均存在相关性。单变量一般线性模型统计分析表明,包含所选独立因素和协变量的线性模型能够解释发育功能中30.9%(认知)至40.6%(语言)的变异性。结果表明,双向和三向交互作用在模型中起主导作用,且所有交互项中均存在STAI-T水平和与新冠疫情相关的恐惧。我们的研究结果揭示了儿童发育结果的重要决定因素,并强调了母亲焦虑对儿童早期发育的影响。这些发现为后续关于孕期和儿童发育的跨学科研究奠定了基础,以促进并实现积极的发育结果和母亲心理健康。

https://cdn.ncbi.nlm.nih.gov/pmc/blobs/41a6/8728063/56f1e231e0fd/fpsyg-12-792053-g0001.jpg

文献检索

告别复杂PubMed语法,用中文像聊天一样搜索,搜遍4000万医学文献。AI智能推荐,让科研检索更轻松。

立即免费搜索

文件翻译

保留排版,准确专业,支持PDF/Word/PPT等文件格式,支持 12+语言互译。

免费翻译文档

深度研究

AI帮你快速写综述,25分钟生成高质量综述,智能提取关键信息,辅助科研写作。

立即免费体验