• 文献检索
  • 文档翻译
  • 深度研究
  • 学术资讯
  • Suppr Zotero 插件Zotero 插件
  • 邀请有礼
  • 套餐&价格
  • 历史记录
应用&插件
Suppr Zotero 插件Zotero 插件浏览器插件Mac 客户端Windows 客户端微信小程序
定价
高级版会员购买积分包购买API积分包
服务
文献检索文档翻译深度研究API 文档MCP 服务
关于我们
关于 Suppr公司介绍联系我们用户协议隐私条款
关注我们

Suppr 超能文献

核心技术专利:CN118964589B侵权必究
粤ICP备2023148730 号-1Suppr @ 2026

文献检索

告别复杂PubMed语法,用中文像聊天一样搜索,搜遍4000万医学文献。AI智能推荐,让科研检索更轻松。

立即免费搜索

文件翻译

保留排版,准确专业,支持PDF/Word/PPT等文件格式,支持 12+语言互译。

免费翻译文档

深度研究

AI帮你快速写综述,25分钟生成高质量综述,智能提取关键信息,辅助科研写作。

立即免费体验

化橘红的抗肥胖潜力:提取物、馏分和化合物对 3T3-L1 前体脂肪细胞脂肪生成的影响。

Anti-Obesity Potential of Ponciri Fructus: Effects of Extracts, Fractions and Compounds on Adipogenesis in 3T3-L1 Preadipocytes.

机构信息

Department of Oriental Pharmacy and Wonkwang-Oriental Medicines Research Institute, Wonkwang University, Iksan 570-749, Korea.

Department of Pharmacy, College of Pharmacy, Wonkwang University, Iksan 570-749, Korea.

出版信息

Molecules. 2022 Jan 20;27(3):676. doi: 10.3390/molecules27030676.

DOI:10.3390/molecules27030676
PMID:35163941
原文链接:https://pmc.ncbi.nlm.nih.gov/articles/PMC8839251/
Abstract

BACKGROUND

Ponciri Fructus, a crude drug consisting of the dried immature fruits of (L.) Raf., is a popular folk medicine used for the treatment of allergy and gastrointestinal disorders in Korea and China. In this study, the anti-adipogenic activity of extracts and isolated compounds were evaluated using 3T3-L1 preadipocytes.

METHODS

Dried immature fruits were extracted and fractionated into -hexane, ethyl acetate (EtOAc), -butanol and water-soluble fractions. The ethanol extract and fractions were tested for anti-adipogenic activity in the 3T3-L1 cell line. The active fractions (-hexane and EtOAc fractions) were further subjected to chromatographic techniques to isolate and identify active compounds. Furthermore, the isolated compounds were evaluated for their anti-adipogenic activity.

RESULTS

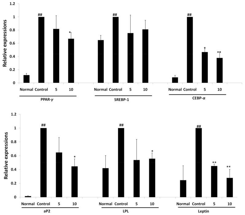
Altogether, seven compounds, including two flavonoids, one phytosteroid and four coumarin derivatives, were isolated. Ethanol extract, -hexane fraction, EtOAc fraction and three isolated compounds (phellopterin, oxypeucedanin and poncirin) showed significant anti-adipogenic activity as observed by reduced lipid deposition in differentiated 3T3-L1 cells. Further, oxypeucedanin downregulated the key adipogenic markers, such as peroxisome proliferator-activated receptors proteins (PPAR-), sterol response element binding proteins-1 (SREBP-1), CCAAT/enhancer binding proteins- (C/EBP-), adipocyte-specific lipid binding proteins (FABP-4), adipocyte fatty acid binding proteins (aP2), lipoprotein lipase (LPL) and leptin.

CONCLUSION

This study indicated that the ethanol extract, hexane fraction and ethyl acetate fraction of fruits possess strong anti-adipogenic activity, containing the active compounds such as phellopterin, oxypeucedanin and poncirin. Further research is recommended to explore their efficacy and safety in animal and clinical models.

摘要

背景

枳实为芸香科酸橙(Citrus aurantium L.)的未成熟干燥果实,是一种民间药物,在韩国和中国被用于治疗过敏和胃肠道疾病。本研究采用 3T3-L1 前脂肪细胞评价其提取物及单体化合物的抗脂肪生成活性。

方法

干燥的未成熟果实经提取和溶剂分配,得到正己烷、乙酸乙酯(EtOAc)、正丁醇和水溶性部位。用 3T3-L1 细胞系检测乙醇提取物和各部位的抗脂肪生成活性。对具有活性的部位(正己烷和 EtOAc 部位)进行进一步的色谱分离,以鉴定活性化合物。此外,对分离得到的化合物进行抗脂肪生成活性评价。

结果

共分离鉴定了 7 种化合物,包括 2 种黄酮类化合物、1 种植物甾醇和 4 种香豆素衍生物。乙醇提取物、正己烷部位、EtOAc 部位和 3 种分离得到的化合物(补骨脂素、氧化前胡素和枳实苷)显著抑制 3T3-L1 细胞分化过程中的脂滴形成,表现出抗脂肪生成活性。进一步研究表明,氧化前胡素下调过氧化物酶体增殖物激活受体蛋白(PPAR-γ)、固醇调节元件结合蛋白-1(SREBP-1)、CCAAT/增强子结合蛋白(C/EBP-α)、脂肪细胞特异性脂结合蛋白(FABP-4)、脂肪细胞脂肪酸结合蛋白(aP2)、脂蛋白脂肪酶(LPL)和瘦素等关键脂肪生成标志物的表达。

结论

本研究表明,枳实的乙醇提取物、正己烷部位和 EtOAc 部位具有较强的抗脂肪生成活性,其中含有补骨脂素、氧化前胡素和枳实苷等活性成分。建议进一步研究其在动物和临床模型中的疗效和安全性。

https://cdn.ncbi.nlm.nih.gov/pmc/blobs/6a93/8839251/b20435880444/molecules-27-00676-g011.jpg
https://cdn.ncbi.nlm.nih.gov/pmc/blobs/6a93/8839251/f9c9f27cdb37/molecules-27-00676-g001.jpg
https://cdn.ncbi.nlm.nih.gov/pmc/blobs/6a93/8839251/4e8a56232ad5/molecules-27-00676-g002.jpg
https://cdn.ncbi.nlm.nih.gov/pmc/blobs/6a93/8839251/7fa92769cdc3/molecules-27-00676-g003.jpg
https://cdn.ncbi.nlm.nih.gov/pmc/blobs/6a93/8839251/53b8b848e217/molecules-27-00676-g004.jpg
https://cdn.ncbi.nlm.nih.gov/pmc/blobs/6a93/8839251/a50b0c3f836f/molecules-27-00676-g005.jpg
https://cdn.ncbi.nlm.nih.gov/pmc/blobs/6a93/8839251/f32c2a6e683a/molecules-27-00676-g006.jpg
https://cdn.ncbi.nlm.nih.gov/pmc/blobs/6a93/8839251/780c35b7fba8/molecules-27-00676-g007.jpg
https://cdn.ncbi.nlm.nih.gov/pmc/blobs/6a93/8839251/1fce6709dc94/molecules-27-00676-g008.jpg
https://cdn.ncbi.nlm.nih.gov/pmc/blobs/6a93/8839251/454976c6f6eb/molecules-27-00676-g009.jpg
https://cdn.ncbi.nlm.nih.gov/pmc/blobs/6a93/8839251/ed23db54d0d7/molecules-27-00676-g010.jpg
https://cdn.ncbi.nlm.nih.gov/pmc/blobs/6a93/8839251/b20435880444/molecules-27-00676-g011.jpg
https://cdn.ncbi.nlm.nih.gov/pmc/blobs/6a93/8839251/f9c9f27cdb37/molecules-27-00676-g001.jpg
https://cdn.ncbi.nlm.nih.gov/pmc/blobs/6a93/8839251/4e8a56232ad5/molecules-27-00676-g002.jpg
https://cdn.ncbi.nlm.nih.gov/pmc/blobs/6a93/8839251/7fa92769cdc3/molecules-27-00676-g003.jpg
https://cdn.ncbi.nlm.nih.gov/pmc/blobs/6a93/8839251/53b8b848e217/molecules-27-00676-g004.jpg
https://cdn.ncbi.nlm.nih.gov/pmc/blobs/6a93/8839251/a50b0c3f836f/molecules-27-00676-g005.jpg
https://cdn.ncbi.nlm.nih.gov/pmc/blobs/6a93/8839251/f32c2a6e683a/molecules-27-00676-g006.jpg
https://cdn.ncbi.nlm.nih.gov/pmc/blobs/6a93/8839251/780c35b7fba8/molecules-27-00676-g007.jpg
https://cdn.ncbi.nlm.nih.gov/pmc/blobs/6a93/8839251/1fce6709dc94/molecules-27-00676-g008.jpg
https://cdn.ncbi.nlm.nih.gov/pmc/blobs/6a93/8839251/454976c6f6eb/molecules-27-00676-g009.jpg
https://cdn.ncbi.nlm.nih.gov/pmc/blobs/6a93/8839251/ed23db54d0d7/molecules-27-00676-g010.jpg
https://cdn.ncbi.nlm.nih.gov/pmc/blobs/6a93/8839251/b20435880444/molecules-27-00676-g011.jpg

相似文献

1
Anti-Obesity Potential of Ponciri Fructus: Effects of Extracts, Fractions and Compounds on Adipogenesis in 3T3-L1 Preadipocytes.化橘红的抗肥胖潜力:提取物、馏分和化合物对 3T3-L1 前体脂肪细胞脂肪生成的影响。
Molecules. 2022 Jan 20;27(3):676. doi: 10.3390/molecules27030676.
2
Genistein mediates the anti-adipogenic actions of Sophora japonica L. extracts.染料木黄酮介导槐米提取物的抗脂肪生成作用。
J Med Food. 2011 Apr;14(4):360-8. doi: 10.1089/jmf.2010.1324. Epub 2011 Feb 8.
3
Polygonum cuspidatum inhibits pancreatic lipase activity and adipogenesis via attenuation of lipid accumulation.虎杖通过减少脂质积累来抑制胰腺脂肪酶活性和脂肪生成。
BMC Complement Altern Med. 2013 Oct 25;13:282. doi: 10.1186/1472-6882-13-282.
4
Screening of six Ayurvedic medicinal plants for anti-obesity potential: An investigation on bioactive constituents from Oroxylum indicum (L.) Kurz bark.六种药用植物抗肥胖潜力的筛选:对印度铁青树树皮中生物活性成分的研究。
J Ethnopharmacol. 2017 Feb 2;197:138-146. doi: 10.1016/j.jep.2016.07.070. Epub 2016 Jul 26.
5
Root Extract Inhibits Adipogenesis by Promoting Lipolysis in High Fat Diet-Induced Obese Mice.根提取物通过促进高脂肪饮食诱导肥胖小鼠的脂肪分解来抑制脂肪生成。
Nutrients. 2019 Sep 20;11(10):2262. doi: 10.3390/nu11102262.
6
Ethanol extracts of Aster yomena (Kitam.) Honda inhibit adipogenesis through the activation of the AMPK signaling pathway in 3T3-L1 preadipocytes.紫菀(北村)本田的乙醇提取物通过激活3T3-L1前脂肪细胞中的AMPK信号通路来抑制脂肪生成。
Drug Discov Ther. 2017 Nov 22;11(5):281-287. doi: 10.5582/ddt.2017.01046. Epub 2017 Oct 11.
7
Tetrandrine has anti-adipogenic effect on 3T3-L1 preadipocytes through the reduced expression and/or phosphorylation levels of C/EBP-α, PPAR-γ, FAS, perilipin A, and STAT-3.汉防己甲素通过降低C/EBP-α、PPAR-γ、FAS、脂联素A和STAT-3的表达及/或磷酸化水平,对3T3-L1前脂肪细胞具有抗脂肪生成作用。
Biochem Biophys Res Commun. 2016 Aug 5;476(4):481-486. doi: 10.1016/j.bbrc.2016.05.150. Epub 2016 May 28.
8
Saikosaponin A and D Inhibit Adipogenesis via the AMPK and MAPK Signaling Pathways in 3T3-L1 Adipocytes.柴胡皂苷 A 和 D 通过 3T3-L1 脂肪细胞中的 AMPK 和 MAPK 信号通路抑制脂肪生成。
Int J Mol Sci. 2021 Oct 22;22(21):11409. doi: 10.3390/ijms222111409.
9
Anti-Obesity Activity of Saringosterol Isolated from Sargassum muticum (Yendo) Fensholt Extract in 3T3-L1 Cells.从鼠尾藻(Yendo)Fensholt提取物中分离出的刺芒柄花甾醇在3T3-L1细胞中的抗肥胖活性。
Phytother Res. 2017 Nov;31(11):1694-1701. doi: 10.1002/ptr.5892. Epub 2017 Sep 18.
10
Ramalin inhibits differentiation of 3T3-L1 preadipocytes and suppresses adiposity and body weight in a high-fat diet-fed C57BL/6J mice.拉马林抑制 3T3-L1 前体脂肪细胞的分化,并抑制高脂肪饮食喂养的 C57BL/6J 小鼠的肥胖和体重增加。
Chem Biol Interact. 2016 Sep 25;257:71-80. doi: 10.1016/j.cbi.2016.07.034. Epub 2016 Jul 30.

引用本文的文献

1
Bioconversion, Pharmacokinetics, and Therapeutic Mechanisms of Ginsenoside Compound K and Its Analogues for Treating Metabolic Diseases.人参皂苷Compound K及其类似物治疗代谢性疾病的生物转化、药代动力学和治疗机制
Curr Issues Mol Biol. 2024 Mar 11;46(3):2320-2342. doi: 10.3390/cimb46030148.
2
Methoxyfuranocoumarins of Natural Origin-Updating Biological Activity Research and Searching for New Directions-A Review.天然甲氧基呋喃香豆素——生物活性研究进展与新方向探索——综述
Curr Issues Mol Biol. 2024 Jan 19;46(1):856-883. doi: 10.3390/cimb46010055.
3
Water Extract of Inhibits Osteoclast Differentiation and Bone Loss.

本文引用的文献

1
18KHT01, a Potent Anti-Obesity Polyherbal Formulation.18KHT01,一种有效的抗肥胖多草药配方。
Front Pharmacol. 2021 Dec 17;12:807081. doi: 10.3389/fphar.2021.807081. eCollection 2021.
2
Anti-Obesity Effect of Polygalin C Isolated from Houtt. via Suppression of the Adipogenic and Lipogenic Factors in 3T3-L1 Adipocytes.从何首乌中分离得到的 Polygalin C 通过抑制 3T3-L1 脂肪细胞中成脂和成脂因子发挥抗肥胖作用。
Int J Mol Sci. 2021 Sep 27;22(19):10405. doi: 10.3390/ijms221910405.
3
Efficacy of a Novel Herbal Formulation (F2) on the Management of Obesity: and Study.
水提物抑制破骨细胞分化和骨丢失。
Int J Mol Sci. 2023 Sep 28;24(19):14715. doi: 10.3390/ijms241914715.
4
A review of the role of liposome-encapsulated phytochemicals targeting PPAR Ɣ and associated pathways to combat obesity.脂质体包裹的植物化学物质靶向过氧化物酶体增殖物激活受体γ及相关途径对抗肥胖作用的综述
3 Biotech. 2023 Sep;13(9):313. doi: 10.1007/s13205-023-03740-7. Epub 2023 Aug 24.
5
Discrimination of via HPLC fingerprinting and SNP analysis and its impact on obesity by modulating adipogenesis- and thermogenesis-related genes.通过高效液相色谱指纹图谱和单核苷酸多态性分析对……进行鉴别及其通过调节脂肪生成和产热相关基因对肥胖的影响。 (原文中“Discrimination of”后面缺少具体内容)
Front Nutr. 2023 Aug 2;10:1168095. doi: 10.3389/fnut.2023.1168095. eCollection 2023.
6
Screening of Antioxidant, Antibacterial, Anti-Adipogenic, and Anti-Inflammatory Activities of Five Selected Medicinal Plants of Nepal.尼泊尔五种选定药用植物的抗氧化、抗菌、抗脂肪生成和抗炎活性筛选
J Exp Pharmacol. 2023 Mar 2;15:93-106. doi: 10.2147/JEP.S388968. eCollection 2023.
7
Bioactive Chemical Constituents and Pharmacological Activities of Ponciri Fructus.枳实的生物活性化学成分及药理活性。
Molecules. 2022 Dec 28;28(1):255. doi: 10.3390/molecules28010255.
8
ethanol extract attenuates septic shock through inhibition of the STAT1 signaling pathway.乙醇提取物通过抑制STAT1信号通路减轻脓毒性休克。
Front Nutr. 2022 Sep 15;9:988309. doi: 10.3389/fnut.2022.988309. eCollection 2022.
9
Antiobesity Activity of Two Polyherbal Formulations in High-Fat Diet-Induced Obese C57BL/6J Mice.两种复方草药制剂对高脂肪饮食诱导肥胖 C57BL/6J 小鼠的抗肥胖活性。
Biomed Res Int. 2022 May 11;2022:9120259. doi: 10.1155/2022/9120259. eCollection 2022.
一种新型草药配方(F2)对肥胖管理的疗效:一项[具体研究类型未给出]研究。
Evid Based Complement Alternat Med. 2021 Feb 8;2021:8854915. doi: 10.1155/2021/8854915. eCollection 2021.
4
Adipogenesis as a Potential Anti-Obesity Target: A Review of Pharmacological Treatment and Natural Products.脂肪生成作为潜在的抗肥胖靶点:药物治疗与天然产物综述
Diabetes Metab Syndr Obes. 2021 Jan 8;14:67-83. doi: 10.2147/DMSO.S281186. eCollection 2021.
5
Molecular mechanism of down-regulating adipogenic transcription factors in 3T3-L1 adipocyte cells by bioactive anti-adipogenic compounds.生物活性抗脂肪生成化合物下调 3T3-L1 脂肪细胞中成脂转录因子的分子机制。
Mol Biol Rep. 2021 Jan;48(1):743-761. doi: 10.1007/s11033-020-06036-8. Epub 2020 Dec 4.
6
Pancastatin A and B Have Selective Cytotoxicity on Glucose-Deprived PANC-1 Human Pancreatic Cancer Cells.Pancastatin A 和 B 对葡萄糖剥夺的 PANC-1 人胰腺癌细胞具有选择性细胞毒性。
J Microbiol Biotechnol. 2020 May 28;30(5):733-738. doi: 10.4014/jmb.2002.02002.
7
Natural Products as Sources of New Drugs over the Nearly Four Decades from 01/1981 to 09/2019.天然产物:1981 年 1 月至 2019 年 9 月近四十年来的新药来源
J Nat Prod. 2020 Mar 27;83(3):770-803. doi: 10.1021/acs.jnatprod.9b01285. Epub 2020 Mar 12.
8
Benzofuran and coumarin derivatives from the root of Angelica dahurica and their PPAR-γ ligand-binding activity.白芷的苯并呋喃和香豆素衍生物及其对 PPAR-γ 的配体结合活性。
Phytochemistry. 2020 May;173:112301. doi: 10.1016/j.phytochem.2020.112301. Epub 2020 Feb 21.
9
p-Synephrine exhibits anti-adipogenic activity by activating the Akt/GSK3β signaling pathway in 3T3-L1 adipocytes.p-辛弗林通过激活 3T3-L1 脂肪细胞中的 Akt/GSK3β 信号通路发挥抗脂肪生成活性。
J Food Biochem. 2019 Nov;43(11):e13033. doi: 10.1111/jfbc.13033. Epub 2019 Sep 4.
10
The Effects of on Insulin Resistance and the Macrophage-Mediated Inflammatory Response in High Fat Diet-Induced Obese Mice.高脂饮食诱导肥胖小鼠中对胰岛素抵抗和巨噬细胞介导致炎反应的影响。
Int J Mol Sci. 2019 Jun 12;20(12):2858. doi: 10.3390/ijms20122858.