Suppr超能文献

弥散时间依赖性、幂律标度和灰质中的交换。

Diffusion time dependence, power-law scaling, and exchange in gray matter.

机构信息

Center of Functionally Integrative Neuroscience (CFIN) and MINDLab, Department of Clinical Medicine, Aarhus University, Aarhus, Denmark; Department of Physics and Astronomy, Aarhus University, Aarhus, Denmark.

Center of Functionally Integrative Neuroscience (CFIN) and MINDLab, Department of Clinical Medicine, Aarhus University, Aarhus, Denmark.

出版信息

Neuroimage. 2022 May 1;251:118976. doi: 10.1016/j.neuroimage.2022.118976. Epub 2022 Feb 7.

Abstract

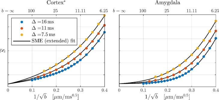
Characterizing neural tissue microstructure is a critical goal for future neuroimaging. Diffusion MRI (dMRI) provides contrasts that reflect diffusing spins' interactions with myriad microstructural features of biological systems. However, the specificity of dMRI remains limited due to the ambiguity of its signals vis-à-vis the underlying microstructure. To improve specificity, biophysical models of white matter (WM) typically express dMRI signals according to the Standard Model (SM) and have more recently in gray matter (GM) taken spherical compartments into account (the SANDI model) in attempts to represent cell soma. The validity of the assumptions underlying these models, however, remains largely undetermined, especially in GM. To validate these assumptions experimentally, observing their unique, functional properties, such as the b power-law associated with one-dimensional diffusion, has emerged as a fruitful strategy. The absence of this signature in GM, in turn, has been explained by neurite water exchange, non-linear morphology, and/or by obscuring soma signal contributions. Here, we present diffusion simulations in realistic neurons demonstrating that curvature and branching does not destroy the stick power-law behavior in impermeable neurites, but also that their signal is drowned by the soma signal under typical experimental conditions. Nevertheless, by studying the GM dMRI signal's behavior as a function of diffusion weighting as well as time, we identify an attainable experimental regime in which the neurite signal dominates. Furthermore, we find that exchange-driven time dependence produces a signal behavior opposite to that which would be expected from restricted diffusion, thereby providing a functional signature that disambiguates the two effects. We present data from dMRI experiments in ex vivo rat brain at ultrahigh field of 16.4T and observe a time dependence that is consistent with substantial exchange but also with a GM stick power-law. The first finding suggests significant water exchange between neurites and the extracellular space while the second suggests a small sub-population of impermeable neurites. To quantify these observations, we harness the Kärger exchange model and incorporate the corresponding signal time dependence in the SM and SANDI models.

摘要

对神经组织微观结构进行特征描述是未来神经影像学的一个关键目标。扩散磁共振成像(dMRI)提供的对比度反映了扩散自旋与生物系统无数微观结构特征的相互作用。然而,由于其信号与潜在微观结构之间的模糊性,dMRI 的特异性仍然有限。为了提高特异性,白质(WM)的生物物理模型通常根据标准模型(SM)来表达 dMRI 信号,并且最近在灰质(GM)中考虑了球形隔室(SANDI 模型),试图代表细胞体。然而,这些模型的假设的有效性在很大程度上仍然不确定,尤其是在 GM 中。为了通过实验验证这些假设,观察其独特的功能特性,例如与一维扩散相关的 b 幂律,已经成为一种富有成效的策略。反过来,GM 中不存在这种特征,则被解释为轴突水交换、非线性形态和/或掩盖了体信号的贡献。在这里,我们在逼真的神经元中进行扩散模拟,证明了曲率和分支不会破坏不可渗透的轴突中的棒状幂律行为,但也表明,在典型的实验条件下,它们的信号被体信号淹没。然而,通过研究 GM dMRI 信号作为扩散加权和时间函数的行为,我们确定了一个可实现的实验范围,其中轴突信号占主导地位。此外,我们发现交换驱动的时间依赖性会产生与受限扩散相反的信号行为,从而提供了一个功能特征,可以区分这两种效应。我们展示了在 16.4T 超高场的离体大鼠脑的 dMRI 实验数据,并观察到与大量交换一致的时间依赖性,但也与 GM 棒状幂律一致。第一个发现表明轴突和细胞外空间之间存在大量水交换,而第二个发现表明存在一小部分不可渗透的轴突。为了量化这些观察结果,我们利用卡格尔交换模型,并将相应的信号时间依赖性纳入 SM 和 SANDI 模型中。

https://cdn.ncbi.nlm.nih.gov/pmc/blobs/a3be/8961002/23c954b782db/gr1.jpg

文献AI研究员

20分钟写一篇综述,助力文献阅读效率提升50倍。

立即体验

用中文搜PubMed

大模型驱动的PubMed中文搜索引擎

马上搜索

文档翻译

学术文献翻译模型,支持多种主流文档格式。

立即体验