• 文献检索
  • 文档翻译
  • 深度研究
  • 学术资讯
  • Suppr Zotero 插件Zotero 插件
  • 邀请有礼
  • 套餐&价格
  • 历史记录
应用&插件
Suppr Zotero 插件Zotero 插件浏览器插件Mac 客户端Windows 客户端微信小程序
定价
高级版会员购买积分包购买API积分包
服务
文献检索文档翻译深度研究API 文档MCP 服务
关于我们
关于 Suppr公司介绍联系我们用户协议隐私条款
关注我们

Suppr 超能文献

核心技术专利:CN118964589B侵权必究
粤ICP备2023148730 号-1Suppr @ 2026

文献检索

告别复杂PubMed语法,用中文像聊天一样搜索,搜遍4000万医学文献。AI智能推荐,让科研检索更轻松。

立即免费搜索

文件翻译

保留排版,准确专业,支持PDF/Word/PPT等文件格式,支持 12+语言互译。

免费翻译文档

深度研究

AI帮你快速写综述,25分钟生成高质量综述,智能提取关键信息,辅助科研写作。

立即免费体验

埃斯特曼视野测试对视路驾驶测试结果的预测价值。

Predictive Value of the Esterman Visual Field Test on the Outcome of the On-Road Driving Test.

机构信息

Amsterdam UMC, Ophthalmology, Amsterdam Public Health, Vrije Universiteit, Amsterdam, The Netherlands.

CBR, Rijswijk, The Netherlands.

出版信息

Transl Vis Sci Technol. 2022 Mar 2;11(3):20. doi: 10.1167/tvst.11.3.20.

DOI:10.1167/tvst.11.3.20
PMID:35297979
原文链接:https://pmc.ncbi.nlm.nih.gov/articles/PMC8944391/
Abstract

PURPOSE

As the prevalence of age-related visual field disorders and the number of older drivers are rising, clear criteria on visual field requirements for driving are important. This article explores the predictive value of the Esterman visual field in relation to the outcome of an on-road driving test.

METHODS

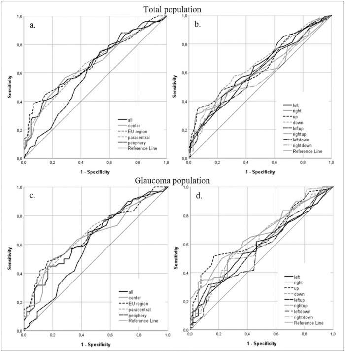
A retrospective chart review was performed for driver's license applicants who, based on their visual field, performed an on-road driving test. Cases (N = 101) with a failed on-road driving test were matched with 101 controls with a passed outcome. The Esterman visual field was divided in regions, and the number of points missed per region was counted. Logistic regression models and receiver operating characteristic (ROC) curves were computed for each region.

RESULTS

Most regions presented a significantly increased odds for failing the driving test when more points were missed. The odds ratio for the whole visual field was 2.52 (95% confidence interval, 1.53-4.14, P < 0.001) for all the participants. However, ROC curves failed to reveal distinct fail-pass criteria based on the number of points missed, as revealed by a large amount of overlap between cases and controls.

CONCLUSIONS

These findings confirm the relation between visual field damage and impaired driving performance. However, the Esterman visual field results were not conclusive for predicting the driving performance of the individual driver with visual field defects.

TRANSLATIONAL RELEVANCE

In our group of participants, the number of on-road driving tests cannot be further reduced by a more detailed definition of fail-pass criteria, based on the Esterman visual field test.

摘要

目的

随着与年龄相关的视野障碍的患病率和老年驾驶员人数的增加,明确驾驶视野要求的标准变得尤为重要。本文探讨了埃斯特曼视野(Ester man visual field)与道路驾驶测试结果的相关性及其预测价值。

方法

对基于视野进行道路驾驶测试的驾驶员申请人进行了回顾性图表审查。将未能通过道路驾驶测试的病例(N=101)与通过测试的对照组(N=101)进行匹配。将埃斯特曼视野划分为区域,并计算每个区域的失分点数。为每个区域计算了逻辑回归模型和接收者操作特征(ROC)曲线。

结果

当错过的点数较多时,大多数区域的驾驶员通过道路驾驶测试的几率显著增加。对于所有参与者,整个视野的优势比为 2.52(95%置信区间,1.53-4.14,P<0.001)。然而,ROC 曲线未能揭示基于错过的点数的明确通过/失败标准,因为病例和对照组之间存在大量重叠。

结论

这些发现证实了视野损伤与驾驶表现受损之间的关系。然而,埃斯特曼视野结果并不能根据个体驾驶员的视野缺陷来预测其驾驶表现。

翻译是否准确,需要根据原文内容来判断。如果你有更多的信息,可以提供给我,以便我为你提供更准确的译文。

https://cdn.ncbi.nlm.nih.gov/pmc/blobs/d937/8944391/7255b5335c4b/tvst-11-3-20-f003.jpg
https://cdn.ncbi.nlm.nih.gov/pmc/blobs/d937/8944391/bb322565f1c3/tvst-11-3-20-f001.jpg
https://cdn.ncbi.nlm.nih.gov/pmc/blobs/d937/8944391/989d0b36e91e/tvst-11-3-20-f002.jpg
https://cdn.ncbi.nlm.nih.gov/pmc/blobs/d937/8944391/7255b5335c4b/tvst-11-3-20-f003.jpg
https://cdn.ncbi.nlm.nih.gov/pmc/blobs/d937/8944391/bb322565f1c3/tvst-11-3-20-f001.jpg
https://cdn.ncbi.nlm.nih.gov/pmc/blobs/d937/8944391/989d0b36e91e/tvst-11-3-20-f002.jpg
https://cdn.ncbi.nlm.nih.gov/pmc/blobs/d937/8944391/7255b5335c4b/tvst-11-3-20-f003.jpg

相似文献

1
Predictive Value of the Esterman Visual Field Test on the Outcome of the On-Road Driving Test.埃斯特曼视野测试对视路驾驶测试结果的预测价值。
Transl Vis Sci Technol. 2022 Mar 2;11(3):20. doi: 10.1167/tvst.11.3.20.
2
Current licensing authority standards for peripheral visual field and safe on-road senior aged automobile driving performance.当前周边视野的许可当局标准以及安全的道路上老年汽车驾驶性能。
Clin Exp Ophthalmol. 2007 Sep-Oct;35(7):612-20. doi: 10.1111/j.1442-9071.2007.01544.x.
3
National application of the European visual field standards for driving: a survey study.国家对欧洲驾驶视野标准的应用:一项调查研究。
BMJ Open Ophthalmol. 2022 Feb 23;7(1):e000904. doi: 10.1136/bmjophth-2021-000904. eCollection 2022.
4
Vision, training hours, and road testing results in bioptic drivers.双眼视觉辅助驾驶者的视力、训练时长及道路测试结果
Optom Vis Sci. 2015 Apr;92(4):395-403. doi: 10.1097/OPX.0000000000000547.
5
Driving and exceptional cases: Supporting relicensing evaluation in patients whose visual fields fail to meet standards.驾驶与特殊情况:为视野不符合标准的患者重新颁发驾照提供评估支持。
Ophthalmic Physiol Opt. 2022 Sep;42(5):1009-1014. doi: 10.1111/opo.13015. Epub 2022 Jun 10.
6
A practical approach to measuring the visual field component of fitness to drive.一种测量驾驶适宜性视野成分的实用方法。
Br J Ophthalmol. 2004 Sep;88(9):1191-6. doi: 10.1136/bjo.2003.035949.
7
The effects of visual field loss from glaucoma on performance in a driving simulator.青光眼导致的视野缺损对驾驶模拟器中驾驶表现的影响。
Acta Ophthalmol. 2022 Mar;100(2):218-224. doi: 10.1111/aos.14765. Epub 2021 Feb 2.
8
Benjamin Esterman (1906-1994) and the binocular visual field scoring grid that became a world standard for assessing driver eligibility.本杰明·埃斯特曼(1906-1994 年)和双眼视野评分图,成为评估驾驶员资格的世界标准。
Acta Ophthalmol. 2022 Nov;100(7):828-833. doi: 10.1111/aos.15096. Epub 2022 Jan 26.
9
Epilepsy surgery, visual fields, and driving: a study of the visual field criteria for driving in patients after temporal lobe epilepsy surgery with a comparison of Goldmann and Esterman perimetry.癫痫手术、视野与驾驶:一项关于颞叶癫痫手术后患者驾驶视野标准的研究,并比较了戈德曼视野计和埃斯特曼视野计检查法
J Neurol Neurosurg Psychiatry. 2000 Jan;68(1):80-2. doi: 10.1136/jnnp.68.1.80.
10
Predicting practical fitness to drive in drivers with visual field defects caused by ocular pathology.预测因眼部病变导致视野缺损的驾驶员实际驾驶适宜性。
Hum Factors. 2004 Winter;46(4):748-60. doi: 10.1518/hfes.46.4.748.56818.

引用本文的文献

1
Development of a reliability criterion for the binocular Esterman visual field test.双目Esterman视野测试可靠性标准的制定。
Jpn J Ophthalmol. 2025 Jun 21. doi: 10.1007/s10384-025-01238-8.
2
Assessment of visual function under various lighting conditions in a cohort of active older drivers: dimensionality and principal metrics.一组活跃的老年驾驶员在各种光照条件下的视觉功能评估:维度与主要指标
Front Neurosci. 2025 Apr 15;19:1511366. doi: 10.3389/fnins.2025.1511366. eCollection 2025.
3
Validation of the European visual field standards for driving: A driving simulator-based study.

本文引用的文献

1
Trends in prevalence of blindness and distance and near vision impairment over 30 years: an analysis for the Global Burden of Disease Study.30 多年来盲症和远距离及近距离视力损伤流行率的变化趋势:全球疾病负担研究的分析。
Lancet Glob Health. 2021 Feb;9(2):e130-e143. doi: 10.1016/S2214-109X(20)30425-3. Epub 2020 Dec 1.
2
A traffic perimetry test that adheres to the European visual field requirements.符合欧洲视野要求的视野检查。
Acta Ophthalmol. 2021 Jun;99(4):e555-e561. doi: 10.1111/aos.14633. Epub 2020 Sep 30.
3
Driving Cessation and Health Outcomes in Older Adults.
欧洲驾驶视野标准的验证:一项基于驾驶模拟器的研究。
Acta Ophthalmol. 2025 Mar;103(2):222-231. doi: 10.1111/aos.16783. Epub 2024 Oct 20.
4
Esterman Visual Field Testing Using a Virtual Reality Headset in Glaucoma.使用虚拟现实头戴设备进行青光眼的埃斯特曼视野测试。
Ophthalmol Sci. 2024 Apr 16;4(5):100534. doi: 10.1016/j.xops.2024.100534. eCollection 2024 Sep-Oct.
5
TREYESCAN: configuration of an eye tracking test for the measurement of compensatory eye movements in patients with visual field defects.特雷扫描:一种用于测量视野缺损患者代偿性眼球运动的眼动测试的配置。
Sci Rep. 2023 Nov 22;13(1):20479. doi: 10.1038/s41598-023-47470-5.
6
A toolkit for wide-screen dynamic area of interest measurements using the Pupil Labs Core Eye Tracker.使用 Pupil Labs Core 眼动追踪器的宽屏动态感兴趣区域测量工具包。
Behav Res Methods. 2023 Oct;55(7):3820-3830. doi: 10.3758/s13428-022-01991-5. Epub 2022 Oct 17.
7
Driving and exceptional cases: Supporting relicensing evaluation in patients whose visual fields fail to meet standards.驾驶与特殊情况:为视野不符合标准的患者重新颁发驾照提供评估支持。
Ophthalmic Physiol Opt. 2022 Sep;42(5):1009-1014. doi: 10.1111/opo.13015. Epub 2022 Jun 10.
老年人停止驾驶与健康结果
J Am Geriatr Soc. 2016 Feb;64(2):332-41. doi: 10.1111/jgs.13931. Epub 2016 Jan 19.
4
Driving with Glaucoma: Task Performance and Gaze Movements.青光眼患者驾车:任务表现与注视运动
Optom Vis Sci. 2015 Nov;92(11):1037-46. doi: 10.1097/OPX.0000000000000702.
5
Association between Glaucoma and At-fault Motor Vehicle Collision Involvement among Older Drivers: A Population-based Study.老年驾驶员青光眼与机动车碰撞事故责任认定之间的关联:一项基于人群的研究。
Ophthalmology. 2016 Jan;123(1):109-16. doi: 10.1016/j.ophtha.2015.08.043. Epub 2015 Oct 14.
6
Binocular visual field impairment in glaucoma and at-fault motor vehicle collisions.青光眼患者的双眼视野损害与机动车碰撞事故责任认定
J Glaucoma. 2015 Feb;24(2):138-43. doi: 10.1097/IJG.0b013e3182a0761c.
7
The relationship between central visual field damage and motor vehicle collisions in primary open-angle glaucoma patients.原发性开角型青光眼患者中央视野损害与机动车碰撞事故之间的关系。
PLoS One. 2014 Dec 29;9(12):e115572. doi: 10.1371/journal.pone.0115572. eCollection 2014.
8
Assessment tools predicting fitness to drive in older adults: a systematic review.预测老年人驾驶适宜性的评估工具:一项系统综述
Am J Occup Ther. 2014 Nov-Dec;68(6):670-80. doi: 10.5014/ajot.2014.011833.
9
The driving visual field and a history of motor vehicle collision involvement in older drivers: a population-based examination.老年驾驶员的驾驶视野与机动车碰撞事故史:基于人群的调查
Invest Ophthalmol Vis Sci. 2014 Nov 13;56(1):132-8. doi: 10.1167/iovs.14-15194.
10
Car driving performance in hemianopia: an on-road driving study.偏盲患者的汽车驾驶性能:一项道路驾驶研究。
Invest Ophthalmol Vis Sci. 2014 Sep 11;55(10):6482-9. doi: 10.1167/iovs.14-14042.