Suppr超能文献

强效植物雌激素 8-异戊烯基柚皮素:是敌是友?

The Potent Phytoestrogen 8-Prenylnaringenin: A Friend or a Foe?

机构信息

Department of Food Hygiene and Environmental Health, University of Helsinki, 00790 Helsinki, Finland.

Department of Veterinary Biomedical Science, Western College of Veterinary Medicine, Saskatoon, SK S7N 5B4, Canada.

出版信息

Int J Mol Sci. 2022 Mar 15;23(6):3168. doi: 10.3390/ijms23063168.

Abstract

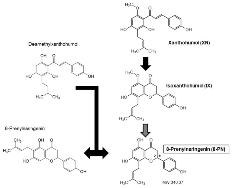
8-prenylnaringenin (8-PN) is a prenylated flavonoid, occurring, in particular, in hop, but also in other plants. It has proven to be one of the most potent phytoestrogens in vitro known to date, and in the past 20 years, research has unveiled new effects triggered by it in biological systems. These findings have aroused the hopes, expectations, and enthusiasm of a "wonder-drug" for a host of human diseases. However, the majority of 8-PN effects require such high concentrations that they cannot be reached by normal dietary exposure, only pharmacologically; thus, adverse impacts may also emerge. Here, we provide a comprehensive and up-to-date review on this fascinating compound, with special reference to the range of beneficial and untoward health consequences that may ensue from exposure to it.

摘要

8- prenylnaringenin (8-PN) 是一种类异戊二烯黄酮,特别是存在于啤酒花中,但也存在于其他植物中。它已被证明是迄今为止已知的最有效的植物雌激素之一,在过去的 20 年中,研究揭示了它在生物系统中引发的新的作用。这些发现引起了人们对这种“神奇药物”治疗多种人类疾病的希望、期望和热情。然而,大多数 8-PN 效应需要如此高的浓度,以至于正常饮食摄入无法达到,只能通过药理学途径;因此,也可能出现不良反应。在这里,我们提供了对这种迷人化合物的全面和最新的综述,特别提到了接触它可能带来的一系列有益和不利的健康后果。

https://cdn.ncbi.nlm.nih.gov/pmc/blobs/b097/8953904/eff0680bef55/ijms-23-03168-g001.jpg

文献检索

告别复杂PubMed语法,用中文像聊天一样搜索,搜遍4000万医学文献。AI智能推荐,让科研检索更轻松。

立即免费搜索

文件翻译

保留排版,准确专业,支持PDF/Word/PPT等文件格式,支持 12+语言互译。

免费翻译文档

深度研究

AI帮你快速写综述,25分钟生成高质量综述,智能提取关键信息,辅助科研写作。

立即免费体验