• 文献检索
  • 文档翻译
  • 深度研究
  • 学术资讯
  • Suppr Zotero 插件Zotero 插件
  • 邀请有礼
  • 套餐&价格
  • 历史记录
应用&插件
Suppr Zotero 插件Zotero 插件浏览器插件Mac 客户端Windows 客户端微信小程序
定价
高级版会员购买积分包购买API积分包
服务
文献检索文档翻译深度研究API 文档MCP 服务
关于我们
关于 Suppr公司介绍联系我们用户协议隐私条款
关注我们

Suppr 超能文献

核心技术专利:CN118964589B侵权必究
粤ICP备2023148730 号-1Suppr @ 2026

文献检索

告别复杂PubMed语法,用中文像聊天一样搜索,搜遍4000万医学文献。AI智能推荐,让科研检索更轻松。

立即免费搜索

文件翻译

保留排版,准确专业,支持PDF/Word/PPT等文件格式,支持 12+语言互译。

免费翻译文档

深度研究

AI帮你快速写综述,25分钟生成高质量综述,智能提取关键信息,辅助科研写作。

立即免费体验

中国西南部成年人睡眠时长与高血压之间的关联

Association between Sleep Duration and Hypertension among Adults in Southwest China.

作者信息

He Jie, He Quan

机构信息

The First Affiliated Hospital of Chongqing Medical University, CN.

出版信息

Glob Heart. 2022 Feb 21;17(1):10. doi: 10.5334/gh.1100. eCollection 2022.

DOI:10.5334/gh.1100
PMID:35342697
原文链接:https://pmc.ncbi.nlm.nih.gov/articles/PMC8877812/
Abstract

OBJECTIVE

This study aimed to evaluate the association between sleep duration and hypertension among adults in southwest China.

METHODS

Baseline variables were collected from a representative sample of 20,053 adults aged 23-98 years in southwest China who received physical examinations from January 2019 to December 2020. All participants were categorized into either a hypertension group or a non-hypertension group. Sleep duration was classified as short (<6 h/day), normal (6-8 h/day),or long (>8 h/day). Baseline variables were compared between individuals with and without hypertension by rank-sum tests for two independent samples or χ tests for nonparametric data. Multivariate logistic regression analysis was performed to evaluate the association between sleep duration and hypertension.

RESULTS

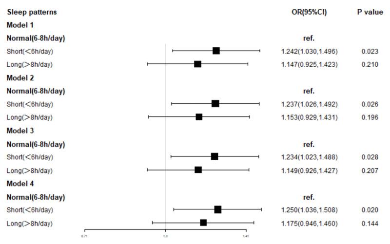
The overall incidence of hypertension was 51.2%. Unadjusted analysis showed that the risk of hypertension was higher in individuals with short (<6h/day) or long (>8h/day) sleep durations compared with those with a normal (6-8 h/day) sleep duration. The risk of hypertension was significantly increased by 30.1% in participants with a long (>8h/day) sleep duration compared with those with a normal (6-8h/day) sleep duration (OR = 1.301, < 0.010, 95%CI = 1.149-1.475). The risk of hypertension was also increased by 1.1% in participants with a short (<6h/day) sleep duration compared with participants with a normal (6-8h/day) sleep duration, but the difference was not significant (OR = 1.011, = 0.849, 95%CI = 0.905-1.129). After fully adjusting for confounding factors (model 4), the risk of hypertension was increased significantly (by 25%) in individuals with a short (<6h/day) sleep duration (OR = 1.25, = 0.02, 95%CI = 1.036-1.508) but not in those with a long (>8h/day) sleep duration (17.5% increase) compared with participants with a normal (6-8h/day) sleep duration (OR = 1.175, = 0.144, 95%CI = 0.946-1.460).

CONCLUSION

The results of this study indicate that a short (<6h/day) sleep duration is related to an increased risk of hypertension, suggesting that sleep helps to protect against hypertension.

摘要

目的

本研究旨在评估中国西南部成年人的睡眠时间与高血压之间的关联。

方法

从2019年1月至2020年12月在中国西南部接受体检的20053名年龄在23 - 98岁的成年人的代表性样本中收集基线变量。所有参与者被分为高血压组或非高血压组。睡眠时间分为短(<6小时/天)、正常(6 - 8小时/天)或长(>8小时/天)。通过两独立样本的秩和检验或对非参数数据的χ检验比较有高血压和无高血压个体之间的基线变量。进行多因素逻辑回归分析以评估睡眠时间与高血压之间的关联。

结果

高血压的总体发病率为51.2%。未调整分析显示,与睡眠时间正常(6 - 8小时/天)的个体相比,睡眠时间短(<6小时/天)或长(>8小时/天)的个体患高血压的风险更高。与睡眠时间正常(6 - 8小时/天)的个体相比,睡眠时间长(>8小时/天)的参与者患高血压的风险显著增加30.1%(OR = 1.301,<0.010,95%CI = 1.149 - 1.475)。与睡眠时间正常(6 - 8小时/天)的参与者相比,睡眠时间短(<6小时/天)的参与者患高血压的风险也增加了1.1%,但差异不显著(OR = 1.011,= 0.849,95%CI = 0.905 - 1.129)。在对混杂因素进行完全调整后(模型4),与睡眠时间正常(6 - 8小时/天)的参与者相比,睡眠时间短(<6小时/天)的个体患高血压的风险显著增加(25%)(OR = 1.25,= 0.02,95%CI = 1.036 - 1.508),而睡眠时间长(>8小时/天)的个体患高血压的风险增加(17.5%)但差异不显著(OR = 1.175),= 0.144,95%CI = 0.946 - 1.460)。

结论

本研究结果表明,睡眠时间短(<6小时/天)与高血压风险增加有关,提示睡眠有助于预防高血压。

https://cdn.ncbi.nlm.nih.gov/pmc/blobs/21d3/8877812/3acb5781ff1b/gh-17-1-1100-g2.jpg
https://cdn.ncbi.nlm.nih.gov/pmc/blobs/21d3/8877812/eab3dbe0717f/gh-17-1-1100-g1.jpg
https://cdn.ncbi.nlm.nih.gov/pmc/blobs/21d3/8877812/3acb5781ff1b/gh-17-1-1100-g2.jpg
https://cdn.ncbi.nlm.nih.gov/pmc/blobs/21d3/8877812/eab3dbe0717f/gh-17-1-1100-g1.jpg
https://cdn.ncbi.nlm.nih.gov/pmc/blobs/21d3/8877812/3acb5781ff1b/gh-17-1-1100-g2.jpg

相似文献

1
Association between Sleep Duration and Hypertension among Adults in Southwest China.中国西南部成年人睡眠时长与高血压之间的关联
Glob Heart. 2022 Feb 21;17(1):10. doi: 10.5334/gh.1100. eCollection 2022.
2
Association between sleep duration and hypertension in southwest China: a population-based cross-sectional study.中国西南地区睡眠时长与高血压的相关性:一项基于人群的横断面研究。
BMJ Open. 2022 Jun 27;12(6):e052193. doi: 10.1136/bmjopen-2021-052193.
3
Sleep quality, sleep duration, and their association with hypertension prevalence among low-income oldest-old in a rural area of China: A population-based study.中国农村地区低收入高龄老年人的睡眠质量、睡眠持续时间及其与高血压患病率的关系:一项基于人群的研究。
J Psychosom Res. 2019 Dec;127:109848. doi: 10.1016/j.jpsychores.2019.109848. Epub 2019 Oct 23.
4
Long Sleep Duration is Associated with Increased High-Sensitivity C-Reactive Protein: A Nationwide Study on Chinese Population.睡眠时间长与高敏C反应蛋白升高有关:一项针对中国人群的全国性研究
Diabetes Metab Syndr Obes. 2020 Nov 17;13:4423-4434. doi: 10.2147/DMSO.S265465. eCollection 2020.
5
Longitudinal study of the relationship between sleep duration and hypertension in Chinese adult residents (CHNS 2004-2011).中国成年居民中睡眠时间与高血压关系的纵向研究(CHNS 2004-2011)。
Sleep Med. 2019 Jun;58:88-92. doi: 10.1016/j.sleep.2019.01.006. Epub 2019 Jan 15.
6
Associations Between Sleep Duration and Cardiometabolic Diseases Among Residents in Southwest China.中国西南部居民睡眠时长与心脏代谢疾病之间的关联
Nat Sci Sleep. 2024 Jul 31;16:1121-1130. doi: 10.2147/NSS.S466283. eCollection 2024.
7
Relationship between sleep duration and hypertension in northeast China: a cross-sectional study.中国东北地区睡眠时长与高血压的关系:一项横断面研究。
BMJ Open. 2019 Jan 21;9(1):e023916. doi: 10.1136/bmjopen-2018-023916.
8
Self-reported sleep duration is associated with reduced glomerular filtration rate among adults with hypertension: a population-based study from rural northeast China.自我报告的睡眠时间与中国东北农村地区成年人高血压患者肾小球滤过率降低有关:一项基于人群的研究
J Sleep Res. 2015 Jun;24(3):351-8. doi: 10.1111/jsr.12274. Epub 2015 Jan 27.
9
The association of sleep quality and sleep duration with nutritional status in older adults: Findings from the WCHAT study.老年人睡眠质量和睡眠时间与营养状况的关系:来自 WCHAT 研究的结果。
Maturitas. 2021 Mar;145:1-5. doi: 10.1016/j.maturitas.2020.10.013. Epub 2020 Nov 2.
10
Associations of sleep duration and prediabetes prevalence in a middle-aged and elderly Chinese population with regard to age and hypertension: The China Health and Retirement Longitudinal Study baseline survey.在中国中老年人群中,考虑到年龄和高血压因素,睡眠时长与糖尿病前期患病率之间的关联:中国健康与养老追踪调查基线调查。
J Diabetes. 2018 Nov;10(11):847-856. doi: 10.1111/1753-0407.12662. Epub 2018 Apr 26.

引用本文的文献

1
U-shaped association between average daily sleep duration and depression among individuals with hypertension: a cross-sectional study based on NHANES 2017-2020.高血压患者平均每日睡眠时间与抑郁之间的U型关联:一项基于2017 - 2020年美国国家健康与营养检查调查(NHANES)的横断面研究
BMC Psychiatry. 2025 Jul 1;25(1):608. doi: 10.1186/s12888-025-07075-w.
2
Latency, sleep hours, and blood pressure in hospitalized patients in Mexico.墨西哥住院患者的潜伏期、睡眠时间和血压
Rev Cuid. 2024 Dec 19;16(1):e4004. doi: 10.15649/cuidarte.4004. eCollection 2025 Jan-Apr.
3
The influence of habitual tooth brushing frequency on individuals diagnosed with coronary artery disease.

本文引用的文献

1
[Relationship of quality and duration of sleep with hypertension among adults in Guangzhou].[广州成年人睡眠质量和时长与高血压的关系]
Zhonghua Yu Fang Yi Xue Za Zhi. 2021 Jul 6;55(7):853-859. doi: 10.3760/cma.j.cn112150-20210204-00125.
2
Daytime Sleep as Compensation for the Effects of Reduced Nocturnal Sleep on the Incidence of Hypertension: A Cohort Study.日间睡眠作为对夜间睡眠减少对高血压发病率影响的补偿:一项队列研究。
Nat Sci Sleep. 2021 Jul 6;13:1061-1074. doi: 10.2147/NSS.S316113. eCollection 2021.
3
Sleep and Metabolic Syndrome.
习惯性刷牙频率对冠状动脉疾病确诊患者的影响。
Sci Rep. 2025 May 27;15(1):18463. doi: 10.1038/s41598-025-01910-6.
4
The influence of sleep duration on patients with coronary artery disease: a four-year observational study.睡眠时间对冠心病患者的影响:一项为期四年的观察性研究。
Front Endocrinol (Lausanne). 2025 May 5;16:1555880. doi: 10.3389/fendo.2025.1555880. eCollection 2025.
5
The link between sleep duration and stroke risk.睡眠时间与中风风险之间的联系。
Brain Circ. 2025 Mar 21;11(1):1-8. doi: 10.4103/bc.bc_7_24. eCollection 2025 Jan-Mar.
6
Associations Between Sleep Duration and Cardiometabolic Diseases Among Residents in Southwest China.中国西南部居民睡眠时长与心脏代谢疾病之间的关联
Nat Sci Sleep. 2024 Jul 31;16:1121-1130. doi: 10.2147/NSS.S466283. eCollection 2024.
7
The Effect of Sleep Duration on Hypertension Risk in an Adult Asian Population: A Systematic Review and Meta-Analysis.睡眠时间对成年亚洲人群高血压风险的影响:一项系统评价和荟萃分析。
Cureus. 2024 Jun 1;16(6):e61508. doi: 10.7759/cureus.61508. eCollection 2024 Jun.
8
Moderating role of functional/ mobility limitations in the association between sleep problems and hypertension among middle-aged and older adults in India.功能/活动受限在印度中老年人睡眠问题与高血压关联中的调节作用。
Prev Med Rep. 2024 Jan 4;38:102589. doi: 10.1016/j.pmedr.2024.102589. eCollection 2024 Feb.
睡眠与代谢综合征
Nurs Clin North Am. 2021 Jun;56(2):203-217. doi: 10.1016/j.cnur.2020.10.012. Epub 2021 Mar 10.
4
Association of sleep duration and sleep quality with hypertension in oil workers in Xinjiang.新疆石油工人睡眠时间和睡眠质量与高血压的相关性
PeerJ. 2021 May 3;9:e11318. doi: 10.7717/peerj.11318. eCollection 2021.
5
Sleep quality, sleep duration, and their association with hypertension prevalence among low-income oldest-old in a rural area of China: A population-based study.中国农村地区低收入高龄老年人的睡眠质量、睡眠持续时间及其与高血压患病率的关系:一项基于人群的研究。
J Psychosom Res. 2019 Dec;127:109848. doi: 10.1016/j.jpsychores.2019.109848. Epub 2019 Oct 23.
6
Sleep Duration and Blood Pressure: Recent Advances and Future Directions.睡眠时长与血压:最新进展与未来方向。
Curr Hypertens Rep. 2019 Apr 5;21(5):33. doi: 10.1007/s11906-019-0938-7.
7
Cerebral Hemodynamics in Sleep Apnea and Actigraphy-Determined Sleep Duration in a Sample of the Hispanic Community Health Study/ Study of Latinos.睡眠呼吸暂停和基于活动记录仪的睡眠时长与西班牙裔社区健康研究/拉丁裔研究样本中的脑血流动力学。
J Clin Sleep Med. 2019 Jan 15;15(1):15-21. doi: 10.5664/jcsm.7560.
8
Sleep Patterns and Hypertension Using Actigraphy in the Hispanic Community Health Study/Study of Latinos.使用活动记录仪评估西班牙裔社区健康研究/拉丁裔研究中的睡眠模式与高血压。
Chest. 2018 Jan;153(1):87-93. doi: 10.1016/j.chest.2017.09.028. Epub 2017 Sep 29.
9
Associations of Sleep Duration and Disturbances With Hypertension in Metropolitan Cities of Delhi, Chennai, and Karachi in South Asia: Cross-Sectional Analysis of the CARRS Study.南亚德里、钦奈和卡拉奇等大城市睡眠时长及睡眠障碍与高血压的关联:CARRS研究的横断面分析
Sleep. 2017 Sep 1;40(9). doi: 10.1093/sleep/zsx119.
10
Repetitive exposure to shortened sleep leads to blunted sleep-associated blood pressure dipping.反复接触缩短的睡眠时间会导致与睡眠相关的血压下降变钝。
J Hypertens. 2017 Jun;35(6):1187-1194. doi: 10.1097/HJH.0000000000001284.