Suppr超能文献

黄瓜果实中内果皮β-胡萝卜素积累的光周期调控中 B-Box 基因家族的全基因组鉴定和表达分析及其潜在作用

Genome-Wide Identification of the B-Box Gene Family and Expression Analysis Suggests Their Potential Role in Photoperiod-Mediated β-Carotene Accumulation in the Endocarp of Cucumber ( L.) Fruit.

机构信息

State Key Laboratory of Crop Genetics and Germplasm Enhancement, College of Horticulture, Nanjing Agricultural University, Weigang Campus, Nanjing 210095, China.

Nanjing Vegetable Science Research Institute, Nanjing 210042, China.

出版信息

Genes (Basel). 2022 Apr 8;13(4):658. doi: 10.3390/genes13040658.

Abstract

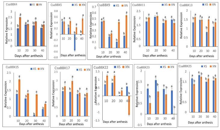
Carotenoids are indispensable to plants and essential for human nutrition and health. Carotenoid contents are strongly influenced by light through light-responsive genes such as B-Box (BBX) genes. BBX proteins, a class of zinc-finger transcription factors, mediate many light-signaling pathways, leading to the biosynthesis of important metabolites in plants. However, the identification of the BBX gene family and expression analysis in response to photoperiod-mediated carotenoid accumulation in cucumber remains unexplored. We performed a genome-wide study and determined the expression of cucumber BBX genes (hereafter referred to as genes) in the endocarp of Xishuangbanna cucumber fruit (a special type of cucumber accumulating a high level of β-carotene in the endocarp) using an RNA-seq analysis of plants previously subjected to two photoperiodic conditions. Here, 26 BBX family genes were identified in the cucumber genome and named serially through . We characterized genes in terms of their phylogenetic relationships, exon-intron structures, cis-acting elements, and syntenic relationships with (L.) RNA-seq analysis revealed a varied expression of genes under photoperiod treatment. The analysis of genes revealed a strong positive correlation between 7 and carotenoid biosynthetic pathway genes (, , , ), thus suggesting its involvement in β-carotene biosynthesis. Additionally, nine genes ( 4,5,7,9,11, 13,15,17 and 22) showed a significant positive correlation with β-carotene content. The selected genes were verified by qRT-PCR and confirmed the validity of RNA-seq data. The results of this study established the genome-wide analysis of the cucumber BBX family and provide a framework for understanding their biological role in carotenoid accumulation and photoperiodic responses. Further investigations of genes are vital since they are promising candidate genes for the functional analysis of carotenoid biosynthesis and can provide genetic tools for the molecular breeding of carotenoids in plants.

摘要

类胡萝卜素对植物是不可或缺的,对人类营养和健康也是必不可少的。类胡萝卜素含量受光的影响很大,通过光响应基因,如 B-Box (BBX) 基因。BBX 蛋白是一类锌指转录因子,介导许多光信号通路,导致植物中重要代谢物的生物合成。然而,黄瓜中 BBX 基因家族的鉴定和对光周期介导的类胡萝卜素积累的表达分析仍未得到探索。我们进行了全基因组研究,并通过对先前经历过两种光周期条件的植物进行 RNA-seq 分析,确定了黄瓜内果皮中黄瓜 BBX 基因(以下简称 基因)的表达。在这里,在黄瓜基因组中鉴定出 26 个 BBX 家族基因,并通过 进行了连续编号。我们从系统发育关系、外显子-内含子结构、顺式作用元件和与 (L.) 的共线性关系等方面对 基因进行了特征描述。RNA-seq 分析揭示了 基因在光周期处理下的表达变化。对 基因的分析表明,它与类胡萝卜素生物合成途径基因( )之间存在强烈的正相关,因此表明它参与了 β-胡萝卜素的生物合成。此外,9 个 基因( )与 β-胡萝卜素含量呈显著正相关。选择的 基因通过 qRT-PCR 进行验证,并证实了 RNA-seq 数据的有效性。本研究为了解其在类胡萝卜素积累和光周期响应中的生物学作用提供了框架。对 基因的进一步研究至关重要,因为它们是类胡萝卜素生物合成功能分析的有前途的候选基因,并且可以为植物中类胡萝卜素的分子育种提供遗传工具。

https://cdn.ncbi.nlm.nih.gov/pmc/blobs/57b8/9031713/043f8bba037c/genes-13-00658-g001.jpg

文献检索

告别复杂PubMed语法,用中文像聊天一样搜索,搜遍4000万医学文献。AI智能推荐,让科研检索更轻松。

立即免费搜索

文件翻译

保留排版,准确专业,支持PDF/Word/PPT等文件格式,支持 12+语言互译。

免费翻译文档

深度研究

AI帮你快速写综述,25分钟生成高质量综述,智能提取关键信息,辅助科研写作。

立即免费体验