• 文献检索
  • 文档翻译
  • 深度研究
  • 学术资讯
  • Suppr Zotero 插件Zotero 插件
  • 邀请有礼
  • 套餐&价格
  • 历史记录
应用&插件
Suppr Zotero 插件Zotero 插件浏览器插件Mac 客户端Windows 客户端微信小程序
定价
高级版会员购买积分包购买API积分包
服务
文献检索文档翻译深度研究API 文档MCP 服务
关于我们
关于 Suppr公司介绍联系我们用户协议隐私条款
关注我们

Suppr 超能文献

核心技术专利:CN118964589B侵权必究
粤ICP备2023148730 号-1Suppr @ 2026

文献检索

告别复杂PubMed语法,用中文像聊天一样搜索,搜遍4000万医学文献。AI智能推荐,让科研检索更轻松。

立即免费搜索

文件翻译

保留排版,准确专业,支持PDF/Word/PPT等文件格式,支持 12+语言互译。

免费翻译文档

深度研究

AI帮你快速写综述,25分钟生成高质量综述,智能提取关键信息,辅助科研写作。

立即免费体验

层状AgInPS半导体晶体的结构、电子、振动和弹性性质——密度泛函理论方法

Structural, electronic, vibration and elastic properties of the layered AgInPS semiconducting crystal - DFT approach.

作者信息

Babuka T, Glukhov K, Vysochanskii Y, Makowska-Janusik M

机构信息

Institute of Physics, Faculty of Mathematics and Natural Science, Jan Dlugosz University in Czestochowa Al. Armii Krajowej 13/15 42200 Czestochowa Poland

Institute for Solid State Physics and Chemistry, Uzhgorod National University 54 Voloshyn St. 88000 Uzhgorod Ukraine.

出版信息

RSC Adv. 2018 Feb 13;8(13):6965-6977. doi: 10.1039/c7ra13519j. eCollection 2018 Feb 9.

DOI:10.1039/c7ra13519j
PMID:35540337
原文链接:https://pmc.ncbi.nlm.nih.gov/articles/PMC9078364/
Abstract

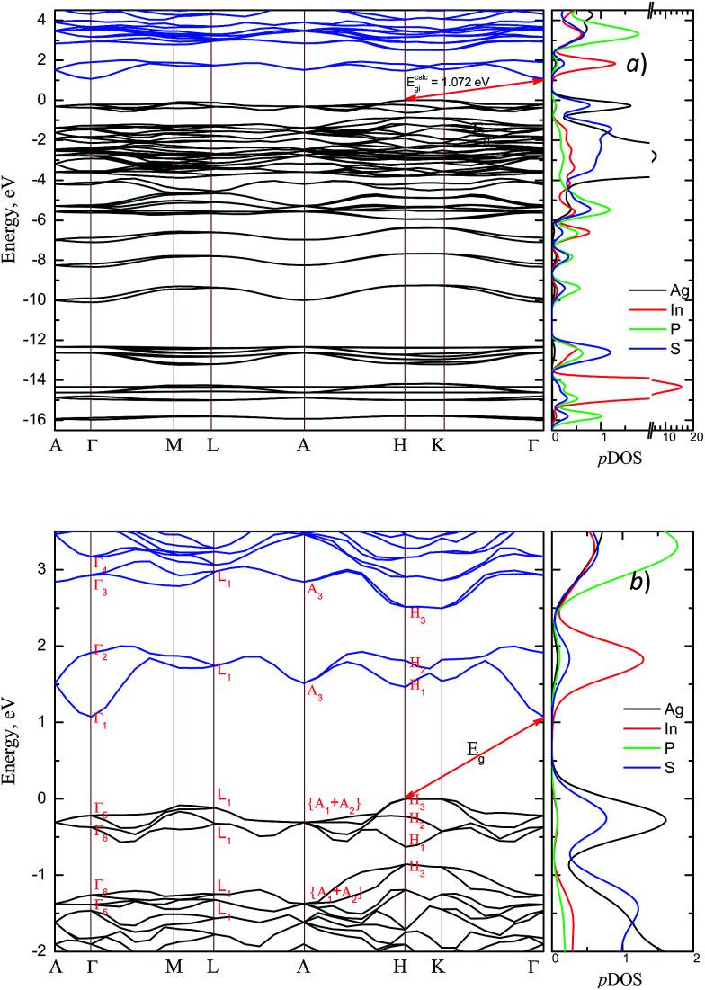
Detailed first principles calculations of the structural, electronic and vibrational properties of the AgInPS crystal are reported. The energy band spectra of the mentioned material using DFT/GGA-D methodology with the PBE functional was calculated for the first time. Stability of the AgInPS crystals in contrast to Cu-containing representatives of M1M2PX materials family (M1, M2 - metal, X - chalcogen) has been explained in the framework of the second-order Jahn-Teller effect. The high covalence of the Ag-[PS] bonds and strong hybridization of the 4d- and 5s-orbitals of the Ag atoms are responsible for the stability of the considered crystal. The calculated vibrational properties were compared with the available experimental data derived from Raman scattering spectroscopy and their good agreement was demonstrated. The electronic and vibration properties within the framework of a group theory approach were studied. Also elastic properties of the AgInPS crystal were modeled and analyzed for the first time.

摘要

报道了对AgInPS晶体的结构、电子和振动性质进行的详细第一性原理计算。首次使用带有PBE泛函的DFT/GGA-D方法计算了上述材料的能带谱。在二阶 Jahn-Teller 效应的框架内解释了AgInPS晶体与M1M2PX材料家族(M1、M2为金属,X为硫属元素)中含铜代表物相比的稳定性。Ag-[PS]键的高共价性以及Ag原子4d和5s轨道的强杂化作用是所考虑晶体稳定性的原因。将计算得到的振动性质与从拉曼散射光谱获得的现有实验数据进行了比较,并证明了它们的良好一致性。研究了群论方法框架内的电子和振动性质。还首次对AgInPS晶体的弹性性质进行了建模和分析。

https://cdn.ncbi.nlm.nih.gov/pmc/blobs/635f/9078364/7d03b5754d83/c7ra13519j-f10.jpg
https://cdn.ncbi.nlm.nih.gov/pmc/blobs/635f/9078364/a3d009b6a1e1/c7ra13519j-f1.jpg
https://cdn.ncbi.nlm.nih.gov/pmc/blobs/635f/9078364/685b8d0ef14c/c7ra13519j-f2.jpg
https://cdn.ncbi.nlm.nih.gov/pmc/blobs/635f/9078364/a40ada3c4b2a/c7ra13519j-f3.jpg
https://cdn.ncbi.nlm.nih.gov/pmc/blobs/635f/9078364/3de6c0d51db0/c7ra13519j-f4.jpg
https://cdn.ncbi.nlm.nih.gov/pmc/blobs/635f/9078364/35e84aeb9fdb/c7ra13519j-f5.jpg
https://cdn.ncbi.nlm.nih.gov/pmc/blobs/635f/9078364/2542c5254b34/c7ra13519j-f6.jpg
https://cdn.ncbi.nlm.nih.gov/pmc/blobs/635f/9078364/86d9958541da/c7ra13519j-f7.jpg
https://cdn.ncbi.nlm.nih.gov/pmc/blobs/635f/9078364/29661e9d0270/c7ra13519j-f8.jpg
https://cdn.ncbi.nlm.nih.gov/pmc/blobs/635f/9078364/23549f833f34/c7ra13519j-f9.jpg
https://cdn.ncbi.nlm.nih.gov/pmc/blobs/635f/9078364/7d03b5754d83/c7ra13519j-f10.jpg
https://cdn.ncbi.nlm.nih.gov/pmc/blobs/635f/9078364/a3d009b6a1e1/c7ra13519j-f1.jpg
https://cdn.ncbi.nlm.nih.gov/pmc/blobs/635f/9078364/685b8d0ef14c/c7ra13519j-f2.jpg
https://cdn.ncbi.nlm.nih.gov/pmc/blobs/635f/9078364/a40ada3c4b2a/c7ra13519j-f3.jpg
https://cdn.ncbi.nlm.nih.gov/pmc/blobs/635f/9078364/3de6c0d51db0/c7ra13519j-f4.jpg
https://cdn.ncbi.nlm.nih.gov/pmc/blobs/635f/9078364/35e84aeb9fdb/c7ra13519j-f5.jpg
https://cdn.ncbi.nlm.nih.gov/pmc/blobs/635f/9078364/2542c5254b34/c7ra13519j-f6.jpg
https://cdn.ncbi.nlm.nih.gov/pmc/blobs/635f/9078364/86d9958541da/c7ra13519j-f7.jpg
https://cdn.ncbi.nlm.nih.gov/pmc/blobs/635f/9078364/29661e9d0270/c7ra13519j-f8.jpg
https://cdn.ncbi.nlm.nih.gov/pmc/blobs/635f/9078364/23549f833f34/c7ra13519j-f9.jpg
https://cdn.ncbi.nlm.nih.gov/pmc/blobs/635f/9078364/7d03b5754d83/c7ra13519j-f10.jpg

相似文献

1
Structural, electronic, vibration and elastic properties of the layered AgInPS semiconducting crystal - DFT approach.层状AgInPS半导体晶体的结构、电子、振动和弹性性质——密度泛函理论方法
RSC Adv. 2018 Feb 13;8(13):6965-6977. doi: 10.1039/c7ra13519j. eCollection 2018 Feb 9.
2
First-Principles Linear Combination of Atomic Orbitals Calculations of KSiF Crystal: Structural, Electronic, Elastic, Vibrational and Dielectric Properties.KSiF晶体的原子轨道线性组合第一性原理计算:结构、电子、弹性、振动和介电性质
Materials (Basel). 2024 Oct 2;17(19):4865. doi: 10.3390/ma17194865.
3
Raman spectra and vibrational properties of FOX-7 under pressure and temperature: First-principles calculations.压力和温度下 FOX-7 的拉曼光谱和振动特性:第一性原理计算。
Spectrochim Acta A Mol Biomol Spectrosc. 2023 May 15;293:122489. doi: 10.1016/j.saa.2023.122489. Epub 2023 Feb 15.
4
Exploration of electronic and vibrational properties of sulfanilic acid through periodic and non-periodic DFT calculations.通过周期性和非周期性密度泛函理论计算探索磺胺酸的电子和振动性质。
J Mol Model. 2024 Apr 3;30(5):121. doi: 10.1007/s00894-024-05911-6.
5
Effect of density functional approximations on the calculated Jahn-Teller distortion in bis(terpyridine)manganese(III) and related compounds.密度泛函近似对双(三联吡啶)锰(III)及相关化合物中计算出的 Jahn-Teller 畸变的影响。
J Mol Model. 2024 Jan 2;30(1):20. doi: 10.1007/s00894-023-05812-0.
6
Vibrational and structural study of onopordopicrin based on the FTIR spectrum and DFT calculations.基于傅里叶变换红外光谱(FTIR)和密度泛函理论(DFT)计算的药用蒲公英苦素的振动与结构研究
Spectrochim Acta A Mol Biomol Spectrosc. 2015;150:381-9. doi: 10.1016/j.saa.2015.05.072. Epub 2015 May 29.
7
X-ray crystal structure, vibrational spectra and DFT calculations of 3-chloro-7-azaindole: a case of dual N-H⋯N hydrogen bonds in dimers.3-氯-7-氮杂吲哚的X射线晶体结构、振动光谱及密度泛函理论计算:二聚体中双N-H⋯N氢键的实例
Spectrochim Acta A Mol Biomol Spectrosc. 2015 Feb 5;136 Pt B:405-15. doi: 10.1016/j.saa.2014.09.050. Epub 2014 Sep 28.
8
High-Pressure Stability of Energetic Crystal of Dihydroxylammonium 5,5'-Bistetrazole-1,1'-diolate: Raman Spectroscopy and DFT Calculations.5,5'-双四唑-1,1'-二醇铵高能晶体的高压稳定性:拉曼光谱与密度泛函理论计算
J Phys Chem B. 2015 Jun 4;119(22):6836-47. doi: 10.1021/acs.jpcb.5b02879. Epub 2015 May 26.
9
Structural and electronic properties of ZrX2)and HfX2 (X=S and Se) from first principles calculations.基于第一性原理计算的 ZrX2)和 HfX2 (X=S 和 Se)的结构和电子性质。
J Chem Phys. 2011 May 28;134(20):204705. doi: 10.1063/1.3594205.
10
DFT study of the molecular and crystal structure and vibrational analysis of cisplatin.DFT 研究顺铂的分子和晶体结构及振动分析。
Spectrochim Acta A Mol Biomol Spectrosc. 2017 Apr 5;176:58-66. doi: 10.1016/j.saa.2017.01.008. Epub 2017 Jan 4.

引用本文的文献

1
Implementation of multiple soliton state fiber laser using a promising saturable absorber of silver indium phosphorus sulfide.利用一种有前景的硫化银铟磷饱和吸收体实现多孤子态光纤激光器。
iScience. 2024 Dec 26;28(1):111689. doi: 10.1016/j.isci.2024.111689. eCollection 2025 Jan 17.
2
Electronic, Optical, and Vibrational Properties of an AgAlS Crystal in a High-Pressure Phase.高压相AgAlS晶体的电子、光学和振动性质
Materials (Basel). 2023 Nov 2;16(21):7017. doi: 10.3390/ma16217017.
3
Vacancy-defect modulated pathway of photoreduction of CO on single atomically thin AgInPS sheets into olefiant gas.

本文引用的文献

1
Cation-Eutectic Transition via Sublattice Melting in CuInPS/InPS van der Waals Layered Crystals.通过 CuInPS/InPS 范德华层状晶体亚晶格熔化实现阳离子共晶转变。
ACS Nano. 2017 Jul 25;11(7):7060-7073. doi: 10.1021/acsnano.7b02695. Epub 2017 Jul 14.
2
Weak Van der Waals Stacking, Wide-Range Band Gap, and Raman Study on Ultrathin Layers of Metal Phosphorus Trichalcogenides.弱范德华堆积、宽能带隙和金属磷三卤化物超薄层的拉曼研究。
ACS Nano. 2016 Feb 23;10(2):1738-43. doi: 10.1021/acsnano.5b05927. Epub 2015 Dec 4.
3
Charge-Induced Second-Harmonic Generation in Bilayer WSe2.
空位缺陷调控的单原子层AgInPS薄片上CO光还原为烯烃气体的途径。
Nat Commun. 2021 Aug 6;12(1):4747. doi: 10.1038/s41467-021-25068-7.
双层 WSe2 中的电荷诱导二次谐波产生。
Nano Lett. 2015 Aug 12;15(8):5653-7. doi: 10.1021/acs.nanolett.5b02547. Epub 2015 Jul 28.
4
Rapid and Nondestructive Identification of Polytypism and Stacking Sequences in Few-Layer Molybdenum Diselenide by Raman Spectroscopy.通过拉曼光谱法对少层二硒化钼中的多型性和堆叠序列进行快速无损识别
Adv Mater. 2015 Aug;27(30):4502-4508. doi: 10.1002/adma.201501086. Epub 2015 Jul 2.
5
Large Frequency Change with Thickness in Interlayer Breathing Mode--Significant Interlayer Interactions in Few Layer Black Phosphorus.层间呼吸模式中厚度引起的大频移——少层黑磷中的显著层间相互作用。
Nano Lett. 2015 Jun 10;15(6):3931-8. doi: 10.1021/acs.nanolett.5b00775. Epub 2015 May 11.
6
CuInP₂S₆ Room Temperature Layered Ferroelectric.CuInP₂S₆ 室温层状铁电体。
Nano Lett. 2015 Jun 10;15(6):3808-14. doi: 10.1021/acs.nanolett.5b00491. Epub 2015 May 5.
7
2D materials. Graphene, related two-dimensional crystals, and hybrid systems for energy conversion and storage.二维材料。石墨烯、相关二维晶体以及用于能量转换和存储的混合系统。
Science. 2015 Jan 2;347(6217):1246501. doi: 10.1126/science.1246501.
8
Polycrystalline graphene and other two-dimensional materials.多晶石墨烯和其他二维材料。
Nat Nanotechnol. 2014 Oct;9(10):755-67. doi: 10.1038/nnano.2014.166. Epub 2014 Aug 17.
9
Electrically switchable chiral light-emitting transistor.电开关手性发光晶体管。
Science. 2014 May 16;344(6185):725-8. doi: 10.1126/science.1251329. Epub 2014 Apr 17.
10
Edge nonlinear optics on a MoS₂ atomic monolayer.单层二硫化钼中的边缘非线性光学。
Science. 2014 May 2;344(6183):488-90. doi: 10.1126/science.1250564.