Suppr超能文献

一种新的来自 L. 的二氢黄酮醇糖苷:理化性质及体外抗皮肤衰老活性。

A New Xanthone Glycoside from L.: Physicochemical Properties and In Vitro Anti-Skin Aging Activities.

机构信息

Department of Pharmacognosy, Faculty of Pharmacy, Ain Shams University, Cairo 11566, Egypt.

Centre of Drug Discovery Research and Development, Ain Shams University, Cairo 11566, Egypt.

出版信息

Molecules. 2022 Apr 19;27(9):2609. doi: 10.3390/molecules27092609.

Abstract

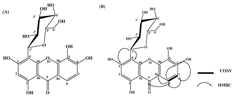
A new xanthone glycoside, 1,3,5,6-tetrahydroxyxanthone-C-4-β-d-glucopyranoside was isolated from the methanol extract of leaves (Anacardiaceae) growing in Egypt. The structure was clarified by 1D and 2D-NMR spectroscopic data. The physicochemical properties of the compound such as lipophilicity, solubility, and formulation considerations were predicted via in silico ADMET technique using the SwissADME server. This technique provided Lipinski's rule of five, such as GIT absorption, distribution, metabolism, and skin permeation. The in vitro inhibitory activities against aging-mediated enzymes such as collagenase, elastase, hyaluronidase, and tyrosinase were assessed. The compound exhibited remarkable anti-collagenase, anti-elastase, anti-hyaluronidase, and anti-tyrosinase effects with IC values of 1.06, 419.10, 1.65, and 0.48 µg/mL, respectively, compared to the positive control. The compound showed promising predicted aqueous solubility and reasonable skin penetration suggesting the suitability of the compound for topical formulation as an anti-aging agent for cosmetic preparations.

摘要

从生长在埃及的叶(漆树科)的甲醇提取物中分离得到一种新的 1,3,5,6-四羟基呫吨酮-C-4-β-d-吡喃葡萄糖苷。通过 1D 和 2D-NMR 波谱数据阐明了其结构。通过使用 SwissADME 服务器的基于计算机的 ADMET 技术,预测了化合物的物理化学性质,如亲脂性、溶解度和配方考虑因素。该技术提供了类药性的 Lipinski 五规则,如肠道吸收、分布、代谢和皮肤渗透。评估了该化合物对衰老介导的酶(如胶原酶、弹性蛋白酶、透明质酸酶和酪氨酸酶)的体外抑制活性。与阳性对照相比,该化合物对胶原酶、弹性蛋白酶、透明质酸酶和酪氨酸酶的抑制活性分别为 IC50 值为 1.06、419.10、1.65 和 0.48 µg/mL,表现出显著的抗胶原酶、抗弹性蛋白酶、抗透明质酸酶和抗酪氨酸酶作用。该化合物显示出有前景的预测水溶性和合理的皮肤渗透,表明该化合物适合作为局部制剂的抗衰老剂用于化妆品制剂。

https://cdn.ncbi.nlm.nih.gov/pmc/blobs/5f89/9105941/e0e836b40c6c/molecules-27-02609-g001.jpg

文献检索

告别复杂PubMed语法,用中文像聊天一样搜索,搜遍4000万医学文献。AI智能推荐,让科研检索更轻松。

立即免费搜索

文件翻译

保留排版,准确专业,支持PDF/Word/PPT等文件格式,支持 12+语言互译。

免费翻译文档

深度研究

AI帮你快速写综述,25分钟生成高质量综述,智能提取关键信息,辅助科研写作。

立即免费体验