• 文献检索
  • 文档翻译
  • 深度研究
  • 学术资讯
  • Suppr Zotero 插件Zotero 插件
  • 邀请有礼
  • 套餐&价格
  • 历史记录
应用&插件
Suppr Zotero 插件Zotero 插件浏览器插件Mac 客户端Windows 客户端微信小程序
定价
高级版会员购买积分包购买API积分包
服务
文献检索文档翻译深度研究API 文档MCP 服务
关于我们
关于 Suppr公司介绍联系我们用户协议隐私条款
关注我们

Suppr 超能文献

核心技术专利:CN118964589B侵权必究
粤ICP备2023148730 号-1Suppr @ 2026

文献检索

告别复杂PubMed语法,用中文像聊天一样搜索,搜遍4000万医学文献。AI智能推荐,让科研检索更轻松。

立即免费搜索

文件翻译

保留排版,准确专业,支持PDF/Word/PPT等文件格式,支持 12+语言互译。

免费翻译文档

深度研究

AI帮你快速写综述,25分钟生成高质量综述,智能提取关键信息,辅助科研写作。

立即免费体验

用于骨组织工程应用的新型含铜壳聚糖/明胶基支架的制备、表征及优化

Fabrication, characterization, and optimization of a novel copper-incorporated chitosan/gelatin-based scaffold for bone tissue engineering applications.

作者信息

Bozorgi Azam, Mozafari Masoud, Khazaei Mozafar, Soleimani Mansooreh, Jamalpoor Zahra

机构信息

Department of Tissue Engineering and Regenerative Medicine, Faculty of Advanced Technologies in Medicine, Iran University of Medical Sciences, Tehran, Iran.

Fertility and Infertility Research Center, Health Technology Institute, Kermanshah University of Medical Sciences, Kermanshah, Iran.

出版信息

Bioimpacts. 2022;12(3):233-246. doi: 10.34172/bi.2021.23451. Epub 2021 Oct 11.

DOI:10.34172/bi.2021.23451
PMID:35677664
原文链接:https://pmc.ncbi.nlm.nih.gov/articles/PMC9124876/
Abstract

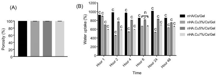
Fabricating composite scaffolds with improved physicochemical properties as artificial microenvironments are of great interest in bone tissue engineering. Given advantageous properties of nano-hydroxyapatite/chitosan/gelatin (nHA/Cs/Gel) scaffolds, the present study aimed to synthesize a modified nHA/Cs/Gel biomimetic scaffold with improved features. Pure and copper (Cu)-substituted nHA was synthesized using the chemical precipitation method under controlled pH and temperature. Pure and Cu-substituted nHA/Cs/Gel scaffolds were fabricated by salt-leaching/freeze-drying method. Physicochemical characteristics of nanoparticles and scaffolds were explored using XRD, FTIR, FE-SEM/EDX, and ICP. Besides, scaffold mechanical strength, degradation, porosity, swelling, biomineralization, and cytocompatibility were assessed. Pure and Cu-substituted nHA were synthesized and characterized with appropriate Cu substitution and improved physical properties. All scaffolds were highly porous (porosity > 98%) and Cu incorporation reduced porosity from 99.555 ± 0.394% to 98.69 ± 0.80% while enlarged the pore size to more than100 µm. Cu-substitution improved the scaffold mechanical strength and the best result was observed in nHA.Cu5%/Cs/Gel scaffolds by the compressive strength 88.869 ± 19.574 MPa. Furthermore, 3% and 5% Cu-substituted nHA enhanced the scaffold structural stability and supported osteoblast spread, adhesion, survival, mineralization, and proliferation. Moreover, long-term and sustainable Cu release from scaffolds was observed within 28 days. Cu-substituted nHA/Cs/Gel scaffolds mimic the porous structure and mechanical strength of cancellous bone, along with prolonged degradation and Cu release, osteoblast attachment, viability, calcium deposition, and proliferation. Taken together, our results indicate the upgraded properties of nHA.Cu5%/Cs/Gel scaffolds for future applications in bone tissue engineering.

摘要

制造具有改善的物理化学性质的复合支架作为人工微环境在骨组织工程中备受关注。鉴于纳米羟基磷灰石/壳聚糖/明胶(nHA/Cs/Gel)支架的有利特性,本研究旨在合成一种具有改进特性的改性nHA/Cs/Gel仿生支架。在控制的pH值和温度下,采用化学沉淀法合成了纯的和铜(Cu)取代的nHA。通过盐析/冷冻干燥法制备了纯的和Cu取代的nHA/Cs/Gel支架。利用XRD、FTIR、FE-SEM/EDX和ICP对纳米颗粒和支架的物理化学特性进行了探索。此外,还评估了支架的机械强度、降解、孔隙率、溶胀、生物矿化和细胞相容性。合成了纯的和Cu取代的nHA,并对其进行了表征,其具有适当的Cu取代和改善的物理性质。所有支架都具有高度多孔性(孔隙率>98%),Cu的掺入使孔隙率从99.555±0.394%降低到98.69±0.80%,同时将孔径扩大到100μm以上。Cu取代提高了支架的机械强度,在nHA.Cu5%/Cs/Gel支架中观察到最佳结果,其抗压强度为88.869±19.574MPa。此外,3%和5%的Cu取代nHA增强了支架的结构稳定性,并支持成骨细胞的铺展、粘附、存活、矿化和增殖。此外,在28天内观察到支架有长期和可持续的Cu释放。Cu取代的nHA/Cs/Gel支架模仿了松质骨的多孔结构和机械强度,同时具有延长的降解和Cu释放、成骨细胞附着、活力、钙沉积和增殖。综上所述,我们的结果表明nHA.Cu5%/Cs/Gel支架的性能得到了提升,可用于未来的骨组织工程应用。

https://cdn.ncbi.nlm.nih.gov/pmc/blobs/c230/9124876/a74542f17535/bi-12-233-g010.jpg
https://cdn.ncbi.nlm.nih.gov/pmc/blobs/c230/9124876/6558cb45a13f/bi-12-233-g001.jpg
https://cdn.ncbi.nlm.nih.gov/pmc/blobs/c230/9124876/e06d91e36f89/bi-12-233-g002.jpg
https://cdn.ncbi.nlm.nih.gov/pmc/blobs/c230/9124876/20c3e7688a6e/bi-12-233-g003.jpg
https://cdn.ncbi.nlm.nih.gov/pmc/blobs/c230/9124876/599989231b8f/bi-12-233-g004.jpg
https://cdn.ncbi.nlm.nih.gov/pmc/blobs/c230/9124876/25719f8edba1/bi-12-233-g005.jpg
https://cdn.ncbi.nlm.nih.gov/pmc/blobs/c230/9124876/96c14fa7a190/bi-12-233-g006.jpg
https://cdn.ncbi.nlm.nih.gov/pmc/blobs/c230/9124876/49a27a98edc5/bi-12-233-g007.jpg
https://cdn.ncbi.nlm.nih.gov/pmc/blobs/c230/9124876/9b93e5e5d81d/bi-12-233-g008.jpg
https://cdn.ncbi.nlm.nih.gov/pmc/blobs/c230/9124876/4515dac5dcc6/bi-12-233-g009.jpg
https://cdn.ncbi.nlm.nih.gov/pmc/blobs/c230/9124876/a74542f17535/bi-12-233-g010.jpg
https://cdn.ncbi.nlm.nih.gov/pmc/blobs/c230/9124876/6558cb45a13f/bi-12-233-g001.jpg
https://cdn.ncbi.nlm.nih.gov/pmc/blobs/c230/9124876/e06d91e36f89/bi-12-233-g002.jpg
https://cdn.ncbi.nlm.nih.gov/pmc/blobs/c230/9124876/20c3e7688a6e/bi-12-233-g003.jpg
https://cdn.ncbi.nlm.nih.gov/pmc/blobs/c230/9124876/599989231b8f/bi-12-233-g004.jpg
https://cdn.ncbi.nlm.nih.gov/pmc/blobs/c230/9124876/25719f8edba1/bi-12-233-g005.jpg
https://cdn.ncbi.nlm.nih.gov/pmc/blobs/c230/9124876/96c14fa7a190/bi-12-233-g006.jpg
https://cdn.ncbi.nlm.nih.gov/pmc/blobs/c230/9124876/49a27a98edc5/bi-12-233-g007.jpg
https://cdn.ncbi.nlm.nih.gov/pmc/blobs/c230/9124876/9b93e5e5d81d/bi-12-233-g008.jpg
https://cdn.ncbi.nlm.nih.gov/pmc/blobs/c230/9124876/4515dac5dcc6/bi-12-233-g009.jpg
https://cdn.ncbi.nlm.nih.gov/pmc/blobs/c230/9124876/a74542f17535/bi-12-233-g010.jpg

相似文献

1
Fabrication, characterization, and optimization of a novel copper-incorporated chitosan/gelatin-based scaffold for bone tissue engineering applications.用于骨组织工程应用的新型含铜壳聚糖/明胶基支架的制备、表征及优化
Bioimpacts. 2022;12(3):233-246. doi: 10.34172/bi.2021.23451. Epub 2021 Oct 11.
2
Design and fabrication of clinoptilolite-nanohydroxyapatite/chitosan-gelatin composite scaffold and evaluation of its effects on bone tissue engineering.斜发沸石-纳米羟基磷灰石/壳聚糖-明胶复合支架的设计与制备及其对骨组织工程的影响评价。
J Biomed Mater Res A. 2020 Feb;108(2):221-233. doi: 10.1002/jbm.a.36806. Epub 2019 Nov 4.
3
Fabrication and characterization of nanohydroxyapatite/chitosan/decellularized placenta scaffold for bone tissue engineering applications.用于骨组织工程应用的纳米羟基磷灰石/壳聚糖/去细胞胎盘支架的制备与表征。
Int J Biol Macromol. 2024 Nov;281(Pt 2):136340. doi: 10.1016/j.ijbiomac.2024.136340. Epub 2024 Oct 5.
4
Nano-hydroxy apatite/chitosan/gelatin scaffolds enriched by a combination of platelet-rich plasma and fibrin glue enhance proliferation and differentiation of seeded human dental pulp stem cells.纳米羟基磷灰石/壳聚糖/明胶支架经富血小板血浆和纤维蛋白胶组合处理后,增强了种植的人牙髓干细胞的增殖和分化。
Biomed Pharmacother. 2019 Jan;109:1924-1931. doi: 10.1016/j.biopha.2018.11.072. Epub 2018 Nov 26.
5
Comparative investigation of porous nano-hydroxyapaptite/chitosan, nano-zirconia/chitosan and novel nano-calcium zirconate/chitosan composite scaffolds for their potential applications in bone regeneration.多孔纳米羟基磷灰石/壳聚糖、纳米氧化锆/壳聚糖和新型纳米硅酸锆/壳聚糖复合材料支架的比较研究及其在骨再生中的潜在应用。
Mater Sci Eng C Mater Biol Appl. 2018 Oct 1;91:330-339. doi: 10.1016/j.msec.2018.05.060. Epub 2018 May 18.
6
Hybrid chitosan/gelatin/nanohydroxyapatite scaffolds promote odontogenic differentiation of dental pulp stem cells and in vitro biomineralization.壳聚糖/明胶/纳米羟基磷灰石杂化支架促进牙髓干细胞的成牙分化和体外生物矿化。
Dent Mater. 2021 Jan;37(1):e23-e36. doi: 10.1016/j.dental.2020.09.021. Epub 2020 Nov 15.
7
Ibuprofen-Loaded CTS/nHA/nBG Scaffolds for the Applications of Hard Tissue Engineering.用于硬组织工程应用的载布洛芬CTS/nHA/nBG支架
Iran Biomed J. 2019 May;23(3):190-9. doi: 10.29252/.23.3.190. Epub 2018 Sep 29.
8
Injectable porous nano-hydroxyapatite/chitosan/tripolyphosphate scaffolds with improved compressive strength for bone regeneration.具有改善抗压强度的可注射多孔纳米羟基磷灰石/壳聚糖/三聚磷酸钠支架用于骨再生
Mater Sci Eng C Mater Biol Appl. 2016 Dec 1;69:505-12. doi: 10.1016/j.msec.2016.06.089. Epub 2016 Jun 28.
9
Preparation, characterization and bioactivities of nano anhydrous calcium phosphate added gelatin-chitosan scaffolds for bone tissue engineering.纳米无水磷酸钙添加明胶-壳聚糖支架的制备、表征及生物活性研究及其在骨组织工程中的应用。
J Biomater Sci Polym Ed. 2019 Dec;30(18):1756-1778. doi: 10.1080/09205063.2019.1663474. Epub 2019 Sep 17.
10
[A study on nano-hydroxyapatite-chitosan scaffold for bone tissue engineering].[用于骨组织工程的纳米羟基磷灰石-壳聚糖支架的研究]
Zhongguo Xiu Fu Chong Jian Wai Ke Za Zhi. 2007 Feb;21(2):120-4.

引用本文的文献

1
Biomimetic Three-Dimensional (3D) Scaffolds from Sustainable Biomaterials: Innovative Green Medicine Approach to Bone Regeneration.基于可持续生物材料的仿生三维(3D)支架:骨再生的创新绿色医学方法
J Funct Biomater. 2025 Jun 29;16(7):238. doi: 10.3390/jfb16070238.
2
Chitosan-Peptide Composites for Tissue Engineering Applications: Advances in Treatment Strategies.用于组织工程应用的壳聚糖-肽复合材料:治疗策略的进展
Curr Protein Pept Sci. 2025;26(3):185-200. doi: 10.2174/0113892037323136240910052119.
3
Bone regeneration driven by a nano-hydroxyapatite/chitosan composite bioaerogel for periodontal regeneration.

本文引用的文献

1
Biomaterials for bone tissue engineering scaffolds: a review.用于骨组织工程支架的生物材料:综述
RSC Adv. 2019 Aug 21;9(45):26252-26262. doi: 10.1039/c9ra05214c. eCollection 2019 Aug 19.
2
Cellular internalization of rod-like nano hydroxyapatite particles and their size and dose-dependent effects on pre-osteoblasts.棒状纳米羟基磷灰石颗粒的细胞内化及其对成骨前体细胞的大小和剂量依赖性效应。
J Mater Chem B. 2017 Feb 14;5(6):1205-1217. doi: 10.1039/c6tb01401a. Epub 2017 Jan 20.
3
3D Hierarchical, Nanostructured Chitosan/PLA/HA Scaffolds Doped with TiO/Au/Pt NPs with Tunable Properties for Guided Bone Tissue Engineering.
纳米羟基磷灰石/壳聚糖复合生物气凝胶驱动的骨再生用于牙周再生
Front Bioeng Biotechnol. 2024 Jul 30;12:1355950. doi: 10.3389/fbioe.2024.1355950. eCollection 2024.
4
Comparison of the differentiation of ovine fetal bone-marrow mesenchymal stem cells towards osteocytes on chitosan/alginate/CuO-NPs and chitosan/alginate/FeO-NPs scaffolds.壳聚糖/海藻酸钠/CuO-NPs 和壳聚糖/海藻酸钠/FeO-NPs 支架上绵羊胎儿骨髓间充质干细胞向成骨细胞分化的比较。
Sci Rep. 2024 Jan 2;14(1):161. doi: 10.1038/s41598-023-50664-6.
5
Fabrication and Optimization of 3D-Printed Silica Scaffolds for Neural Precursor Cell Cultivation.用于神经前体细胞培养的3D打印二氧化硅支架的制造与优化
J Funct Biomater. 2023 Sep 9;14(9):465. doi: 10.3390/jfb14090465.
6
Inorganic Nanoparticles in Bone Healing Applications.骨愈合应用中的无机纳米颗粒
Pharmaceutics. 2022 Mar 31;14(4):770. doi: 10.3390/pharmaceutics14040770.
具有可调特性的掺杂TiO/Au/Pt纳米粒子的3D分层纳米结构壳聚糖/聚乳酸/羟基磷灰石支架用于引导性骨组织工程
Polymers (Basel). 2020 Apr 2;12(4):792. doi: 10.3390/polym12040792.
4
Comparative evaluation of the physicochemical properties of nano-hydroxyapatite/collagen and natural bone ceramic/collagen scaffolds and their osteogenesis-promoting effect on MC3T3-E1 cells.纳米羟基磷灰石/胶原蛋白与天然骨陶瓷/胶原蛋白支架的物理化学性质比较评估及其对MC3T3-E1细胞的成骨促进作用。
Regen Biomater. 2019 Dec;6(6):361-371. doi: 10.1093/rb/rbz026. Epub 2019 Oct 5.
5
Chitosan/hydroxyapatite composite bone tissue engineering scaffolds with dual and decoupled therapeutic ion delivery: copper and strontium.壳聚糖/羟基磷灰石复合骨组织工程支架的双离子和非耦联释放治疗:铜和锶。
J Mater Chem B. 2019 Oct 16;7(40):6109-6124. doi: 10.1039/c9tb00897g.
6
Synergistic Effect of Copper-Containing Mesoporous Bioactive Glass Coating on Stimulating Vascularization of Porous Hydroxyapatite Orbital Implants in Rabbits.载铜介孔生物活性玻璃涂层对兔多孔羟基磷灰石眶内植入物促血管化的协同作用。
J Biomed Nanotechnol. 2018 Apr 1;14(4):688-697. doi: 10.1166/jbn.2018.2513.
7
Synthesis and characterization of Zn-Doped hydroxyapatite: scaffold application, antibacterial and bioactivity studies.锌掺杂羟基磷灰石的合成与表征:支架应用、抗菌及生物活性研究
Heliyon. 2019 May 21;5(5):e01716. doi: 10.1016/j.heliyon.2019.e01716. eCollection 2019 May.
8
A novel composite scaffold of Cu-doped nano calcium-deficient hydroxyapatite/multi-(amino acid) copolymer for bone tissue regeneration.一种用于骨组织再生的新型 Cu 掺杂纳米缺钙羟基磷灰石/多(氨基酸)共聚物复合支架。
Int J Nanomedicine. 2019 May 7;14:3331-3343. doi: 10.2147/IJN.S195316. eCollection 2019.
9
Review of bone graft and bone substitutes with an emphasis on fracture surgeries.骨移植与骨替代物综述,重点关注骨折手术
Biomater Res. 2019 Mar 14;23:9. doi: 10.1186/s40824-019-0157-y. eCollection 2019.
10
Effect of copper nanoparticles on physico-chemical properties of chitosan and gelatin-based scaffold developed for skin tissue engineering application.铜纳米颗粒对用于皮肤组织工程应用的壳聚糖和明胶基支架物理化学性质的影响。
3 Biotech. 2019 Mar;9(3):102. doi: 10.1007/s13205-019-1624-9. Epub 2019 Feb 21.