Suppr超能文献

PDLIM2 高表达预示前列腺癌预后不良,并与上皮-间充质转化和免疫细胞浸润相关。

High Expression of PDLIM2 Predicts a Poor Prognosis in Prostate Cancer and Is Correlated with Epithelial-Mesenchymal Transition and Immune Cell Infiltration.

机构信息

Department of Urology, Taizhou Hospital of Zhejiang Province Affiliated with Wenzhou Medical University, Linhai, China.

Department of Urology, Yanbian University Hospital, Yanji, China.

出版信息

J Immunol Res. 2022 Jun 6;2022:2922832. doi: 10.1155/2022/2922832. eCollection 2022.

Abstract

PURPOSE

To elucidate the clinical and prognostic role of PDZ and LIM domain protein (PDLIM) genes and the association to epithelial-mesenchymal transition (EMT) and immune cell infiltration in patients with prostate cancer (PRAD).

METHODS

The data of RNA-seq, DNA methylation, and clinical features of PRAD patients were collected from The Cancer Genome Atlas (TCGA) database to define the prognostic value of PDLIM gene expression and the association with EMT and immune cell infiltration. A tissue microarray including 134 radical prostatectomy specimens was served as validation by immunohistochemistry (IHC) staining analysis.

RESULTS

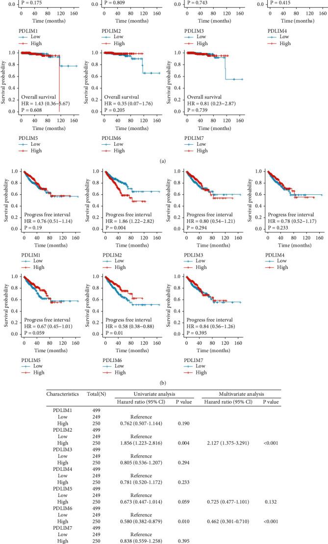
The mRNA levels of PDLIM1/2/3/4/6/7 were significantly downregulated, while PDLIM5 was upregulated in PRAD ( < 0.05). High expression of PDLIM2 mRNA suggests poor progression free interval in PRAD patients. DNA methylation of PDLIM2 was correlated with its mRNA expression level, and that the cg22973076 methylation site in PDLIM2 was associated with shorter PFI ( < 0.05) in PRAD. Single-sample gene-set enrichment and gene functional enrichment results showed that PDLIM2 was correlated with EMT and immune processes. Spearman's test showed a significant correlation with six reported EMT signatures and several EMT signature-related genes. Tumor microenvironment analysis revealed that the PDLIM2 mRNA expression was positively correlated with the immune score, stromal score, and various tumor infiltrating immune cells. Additionally, the results showed that patients in the high-PDLIM2 mRNA expression group may be more sensitive to immune checkpoint blockade therapy. Finally, IHC analysis further implicated the protein level of PDLIM2 was upregulated in PRAD and acts as a novel potential biomarker in predicting tumor progression.

CONCLUSION

Our study suggests that PDLIM family genes might be significantly correlated with oncogenesis and the progression of PRAD. PDLIM2 correlated with EMT and immune cell infiltration by acting as an oncogene in PRAD, which may serve as a potential prognostic biomarker for PRAD patients.

摘要

目的

阐明 PDZ 和 LIM 域蛋白(PDLIM)基因在前列腺癌(PRAD)患者中的临床和预后作用,以及与上皮-间充质转化(EMT)和免疫细胞浸润的关联。

方法

从癌症基因组图谱(TCGA)数据库中收集 PRAD 患者的 RNA-seq、DNA 甲基化和临床特征数据,以定义 PDLIM 基因表达的预后价值及其与 EMT 和免疫细胞浸润的关联。通过免疫组织化学(IHC)染色分析,使用包含 134 例根治性前列腺切除术标本的组织微阵列进行验证。

结果

在 PRAD 中,PDLIM1/2/3/4/6/7 的 mRNA 水平显著下调,而 PDLIM5 上调(<0.05)。PDLIM2 mRNA 高表达提示 PRAD 患者无进展间隔时间较短。PDLIM2 的 DNA 甲基化与其 mRNA 表达水平相关,PDLIM2 中的 cg22973076 甲基化位点与 PRAD 中的较短 PFI 相关(<0.05)。单样本基因集富集和基因功能富集结果表明,PDLIM2 与 EMT 和免疫过程相关。Spearman 检验显示与六个报道的 EMT 特征以及几个 EMT 特征相关基因显著相关。肿瘤微环境分析显示,PDLIM2 mRNA 表达与免疫评分、基质评分和各种肿瘤浸润免疫细胞呈正相关。此外,结果表明高 PDLIM2 mRNA 表达组的患者可能对免疫检查点阻断治疗更敏感。最后,IHC 分析进一步表明,PDLIM2 蛋白水平在 PRAD 中上调,并作为预测肿瘤进展的新型潜在生物标志物。

结论

我们的研究表明,PDLIM 家族基因可能与 PRAD 的发生和进展显著相关。PDLIM2 通过作为 PRAD 中的癌基因与 EMT 和免疫细胞浸润相关,可能成为 PRAD 患者的潜在预后生物标志物。

https://cdn.ncbi.nlm.nih.gov/pmc/blobs/9f23/9192325/d0fdedaf3b95/JIR2022-2922832.001.jpg

文献检索

告别复杂PubMed语法,用中文像聊天一样搜索,搜遍4000万医学文献。AI智能推荐,让科研检索更轻松。

立即免费搜索

文件翻译

保留排版,准确专业,支持PDF/Word/PPT等文件格式,支持 12+语言互译。

免费翻译文档

深度研究

AI帮你快速写综述,25分钟生成高质量综述,智能提取关键信息,辅助科研写作。

立即免费体验