• 文献检索
  • 文档翻译
  • 深度研究
  • 学术资讯
  • Suppr Zotero 插件Zotero 插件
  • 邀请有礼
  • 套餐&价格
  • 历史记录
应用&插件
Suppr Zotero 插件Zotero 插件浏览器插件Mac 客户端Windows 客户端微信小程序
定价
高级版会员购买积分包购买API积分包
服务
文献检索文档翻译深度研究API 文档MCP 服务
关于我们
关于 Suppr公司介绍联系我们用户协议隐私条款
关注我们

Suppr 超能文献

核心技术专利:CN118964589B侵权必究
粤ICP备2023148730 号-1Suppr @ 2026

文献检索

告别复杂PubMed语法,用中文像聊天一样搜索,搜遍4000万医学文献。AI智能推荐,让科研检索更轻松。

立即免费搜索

文件翻译

保留排版,准确专业,支持PDF/Word/PPT等文件格式,支持 12+语言互译。

免费翻译文档

深度研究

AI帮你快速写综述,25分钟生成高质量综述,智能提取关键信息,辅助科研写作。

立即免费体验

腹部内脏脂肪组织与全因死亡率:系统评价。

Abdominal Visceral Adipose Tissue and All-Cause Mortality: A Systematic Review.

机构信息

Calcium Metabolism and Osteoporosis Program, World Health Organization (WHO) Collaborating Center for Metabolic Bone Disorders, Division of Endocrinology and Metabolism, Department of Internal Medicine - American University of Beirut Medical Center, Beirut, Lebanon.

Departement of Internal Medicine, American University of Beirut Medical Center, Beirut, Lebanon.

出版信息

Front Endocrinol (Lausanne). 2022 Aug 22;13:922931. doi: 10.3389/fendo.2022.922931. eCollection 2022.

DOI:10.3389/fendo.2022.922931
PMID:36082075
原文链接:https://pmc.ncbi.nlm.nih.gov/articles/PMC9446237/
Abstract

INTRODUCTION

Increased abdominal visceral adipose tissue (VAT) implies an adverse cardio-metabolic profile. We examined the association of abdominal VAT parameters and all-cause mortality risk.

METHODS

We systematically searched four databases. We performed citations/articles screening, data abstraction, and quality assessment in duplicate and independently (CRD42020205021).

RESULTS

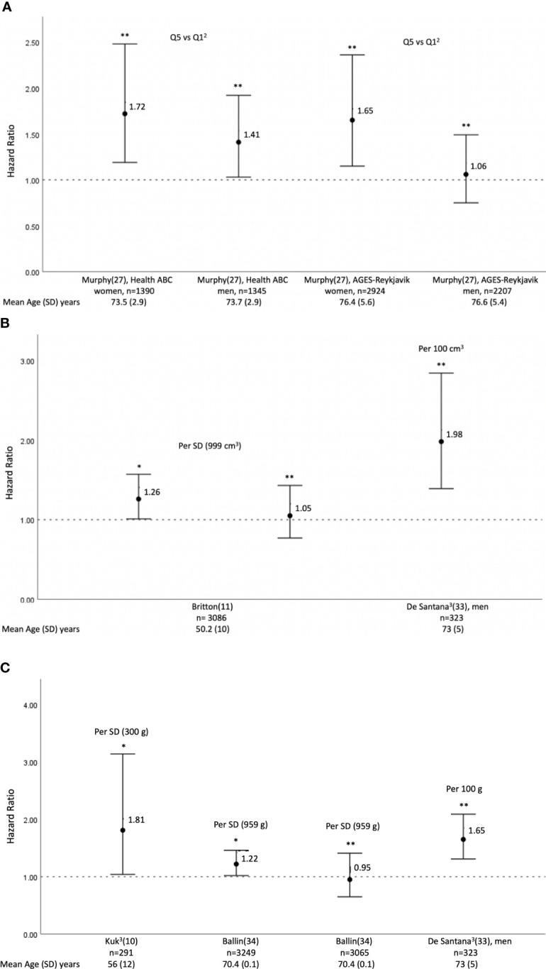
We included 12 cohorts, the majority used computed tomography to assess abdominal VAT area. Six cohorts with a mean age ≤ 65 years, examining all-cause mortality risk per increment in VAT area (cm) or volume (cm), showed a 11-98% relative risk increase with higher VAT parameters. However, the association lost significance after adjusting for glycemic indices, body mass index, or other fat parameters. In 4 cohorts with a mean age >65 years, the findings on mortality were inconsistent. Conversely, in two cohorts (mean age 73-77 years), a higher VAT density, was inversely proportional to VAT area, and implied a higher mortality risk.

CONCLUSION

A high abdominal VAT area seems to be associated with increased all-cause mortality in individuals ≤ 65 years, possibly mediated by metabolic complications, and not through an independent effect. This relationship is weaker and may reverse in older individuals, most likely secondary to confounding bias and reverse causality. An individual participant data meta-analysis is needed to confirm our findings, and to define an abdominal VAT area cutoff implying increased mortality risk.

SYSTEMATIC REVIEW REGISTRATION

https://www.crd.york.ac.uk/prospero/display_record.php?RecordID=205021, identifier CRD42020205021.

摘要

简介

腹部内脏脂肪组织(VAT)的增加意味着不良的心脏代谢状况。我们研究了腹部 VAT 参数与全因死亡率风险的关系。

方法

我们系统地检索了四个数据库。我们进行了重复和独立的引文/文章筛选、数据提取和质量评估(CRD42020205021)。

结果

我们纳入了 12 项队列研究,其中大多数使用计算机断层扫描评估腹部 VAT 面积。6 项平均年龄≤65 岁的队列研究,每增加 1cm 的 VAT 面积或体积(cm)检查全因死亡率风险,显示 VAT 参数较高时相对风险增加 11%-98%。然而,在调整了血糖指数、体重指数或其他脂肪参数后,这种关联失去了意义。在 4 项平均年龄>65 岁的队列研究中,死亡率的发现不一致。相反,在 2 项队列研究(平均年龄 73-77 岁)中,较高的 VAT 密度与 VAT 面积呈反比,意味着更高的死亡率风险。

结论

在≤65 岁的个体中,较高的腹部 VAT 面积似乎与全因死亡率增加相关,可能是代谢并发症的介导,而不是通过独立作用。这种关系较弱,在年龄较大的个体中可能会逆转,这很可能是混杂偏差和反向因果关系的结果。需要进行个体参与者数据的荟萃分析来证实我们的发现,并确定一个意味着增加死亡率风险的腹部 VAT 面积截断值。

系统综述注册

https://www.crd.york.ac.uk/prospero/display_record.php?RecordID=205021,标识符 CRD42020205021。

https://cdn.ncbi.nlm.nih.gov/pmc/blobs/0baa/9446237/10c6c2c6f893/fendo-13-922931-g003.jpg
https://cdn.ncbi.nlm.nih.gov/pmc/blobs/0baa/9446237/931ab2ee9243/fendo-13-922931-g001.jpg
https://cdn.ncbi.nlm.nih.gov/pmc/blobs/0baa/9446237/08e0570048a0/fendo-13-922931-g002.jpg
https://cdn.ncbi.nlm.nih.gov/pmc/blobs/0baa/9446237/10c6c2c6f893/fendo-13-922931-g003.jpg
https://cdn.ncbi.nlm.nih.gov/pmc/blobs/0baa/9446237/931ab2ee9243/fendo-13-922931-g001.jpg
https://cdn.ncbi.nlm.nih.gov/pmc/blobs/0baa/9446237/08e0570048a0/fendo-13-922931-g002.jpg
https://cdn.ncbi.nlm.nih.gov/pmc/blobs/0baa/9446237/10c6c2c6f893/fendo-13-922931-g003.jpg

相似文献

1
Abdominal Visceral Adipose Tissue and All-Cause Mortality: A Systematic Review.腹部内脏脂肪组织与全因死亡率:系统评价。
Front Endocrinol (Lausanne). 2022 Aug 22;13:922931. doi: 10.3389/fendo.2022.922931. eCollection 2022.
2
Visceral adiposity and inflammatory bowel disease.内脏肥胖与炎症性肠病。
Int J Colorectal Dis. 2021 Nov;36(11):2305-2319. doi: 10.1007/s00384-021-03968-w. Epub 2021 Jun 9.
3
Association between single-slice measurements of visceral and abdominal subcutaneous adipose tissue with volumetric measurements: the Framingham Heart Study.内脏和腹部皮下脂肪组织的单层面测量值与容积测量值之间的关系:弗雷明汉心脏研究。
Int J Obes (Lond). 2010 Apr;34(4):781-7. doi: 10.1038/ijo.2009.279. Epub 2010 Jan 12.
4
Gender differences in the association of visceral and subcutaneous adiposity with adiponectin in African Americans: the Jackson Heart Study.非裔美国人内脏和皮下脂肪与脂联素相关性的性别差异:杰克逊心脏研究。
BMC Cardiovasc Disord. 2013 Feb 22;13:9. doi: 10.1186/1471-2261-13-9.
5
Regional Adiposity and Risk of Heart Failure and Mortality: The Jackson Heart Study.区域性肥胖与心力衰竭和死亡率风险:杰克逊心脏研究。
J Am Heart Assoc. 2021 Jul 20;10(14):e020920. doi: 10.1161/JAHA.121.020920. Epub 2021 Jul 9.
6
Abdominal visceral and subcutaneous adipose tissue compartments: association with metabolic risk factors in the Framingham Heart Study.腹部内脏和皮下脂肪组织分区:弗雷明汉心脏研究中与代谢危险因素的关联
Circulation. 2007 Jul 3;116(1):39-48. doi: 10.1161/CIRCULATIONAHA.106.675355. Epub 2007 Jun 18.
7
CT-derived abdominal adiposity: Distributions and better predictive ability than BMI in a nationwide study of 59,429 adults in China.基于 CT 的腹部肥胖:在中国一项全国性的 59429 例成年人研究中,其分布情况优于 BMI,且预测能力更强。
Metabolism. 2021 Feb;115:154456. doi: 10.1016/j.metabol.2020.154456. Epub 2020 Nov 28.
8
Visceral adipose tissue and the ratio of visceral to subcutaneous adipose tissue are greater in adults with than in those without spinal cord injury, despite matching waist circumferences.尽管腰围相当,但成年脊髓损伤患者的内脏脂肪组织以及内脏与皮下脂肪组织的比例高于未患脊髓损伤的患者。
Am J Clin Nutr. 2008 Mar;87(3):600-7. doi: 10.1093/ajcn/87.3.600.
9
Association of visceral obesity and early colorectal neoplasia.内脏肥胖与早期结直肠肿瘤的相关性。
World J Gastroenterol. 2013 Dec 7;19(45):8349-56. doi: 10.3748/wjg.v19.i45.8349.
10
The relationship between DXA-based and anthropometric measures of visceral fat and morbidity in women.基于 DXA 的内脏脂肪与女性发病率的人体测量学指标之间的关系。
BMC Cardiovasc Disord. 2013 Apr 3;13:25. doi: 10.1186/1471-2261-13-25.

引用本文的文献

1
DXA-derived visceral adipose tissue reference values and metabolic syndrome risk threshold in an Algerian adult population.阿尔及利亚成年人群中双能X线吸收法测定的内脏脂肪组织参考值及代谢综合征风险阈值
PLoS One. 2025 Sep 9;20(9):e0331867. doi: 10.1371/journal.pone.0331867. eCollection 2025.
2
Association of waist-to-height ratio with all-cause and obesity-related mortality in adults: a prospective cohort study.成人腰高比与全因死亡率及肥胖相关死亡率的关联:一项前瞻性队列研究
Front Nutr. 2025 Aug 11;12:1614347. doi: 10.3389/fnut.2025.1614347. eCollection 2025.
3
Association of Sarcopenia and Visceral Obesity with Clinical Outcomes Among Older Adults with Cardiovascular Disease: A Retrospective Cohort Study.

本文引用的文献

1
Associations of Visceral Adipose Tissue and Skeletal Muscle Density With Incident Stroke, Myocardial Infarction, and All-Cause Mortality in Community-Dwelling 70-Year-Old Individuals: A Prospective Cohort Study.社区 70 岁人群中内脏脂肪组织和骨骼肌密度与卒中、心肌梗死和全因死亡率的相关性:一项前瞻性队列研究。
J Am Heart Assoc. 2021 May 4;10(9):e020065. doi: 10.1161/JAHA.120.020065. Epub 2021 Apr 17.
2
Fat compartments in patients with depression: A meta-analysis.抑郁症患者的脂肪隔间:一项荟萃分析。
Brain Behav. 2021 Jan;11(1):e01912. doi: 10.1002/brb3.1912. Epub 2020 Nov 5.
3
Causes, consequences, and treatment of metabolically unhealthy fat distribution.
肌肉减少症和内脏肥胖与老年心血管疾病患者临床结局的关联:一项回顾性队列研究
J Clin Med. 2025 Jun 12;14(12):4191. doi: 10.3390/jcm14124191.
4
Metabolic score for visceral fat is correlated with all-cause and cardiovascular mortality among individuals with non-alcoholic fatty liver disease.内脏脂肪代谢评分与非酒精性脂肪性肝病患者的全因死亡率和心血管死亡率相关。
BMC Gastroenterol. 2025 Apr 10;25(1):238. doi: 10.1186/s12876-025-03833-y.
5
The association between visceral adiposity index and long-term all-cause mortality shows age-related disparities: a nationwide cohort study.内脏脂肪指数与长期全因死亡率之间的关联存在年龄相关差异:一项全国性队列研究。
BMC Public Health. 2025 Apr 3;25(1):1266. doi: 10.1186/s12889-025-22428-6.
6
Association between visceral adiposity index and all-cause and cardiovascular mortality in the non-elderly adults.非老年成人内脏脂肪指数与全因死亡率和心血管死亡率之间的关联。
Front Endocrinol (Lausanne). 2025 Feb 21;16:1523731. doi: 10.3389/fendo.2025.1523731. eCollection 2025.
7
Effect of adipose-related parameters on mortality in patients with liver cirrhosis: a meta-analysis.脂肪相关参数对肝硬化患者死亡率的影响:一项荟萃分析。
Ann Med. 2025 Dec;57(1):2473627. doi: 10.1080/07853890.2025.2473627. Epub 2025 Mar 4.
8
The flux of energy in critical illness and the obesity paradox.危重症中的能量通量与肥胖悖论。
Physiol Rev. 2025 Jul 1;105(3):1487-1552. doi: 10.1152/physrev.00029.2024. Epub 2025 Feb 21.
9
Impact of Chinese visceral adiposity index on all-cause mortality risk in community-dwelling older adults: a prospective cohort study.中国内脏脂肪指数对社区居住老年人全因死亡风险的影响:一项前瞻性队列研究
Aging Clin Exp Res. 2024 Dec 3;36(1):230. doi: 10.1007/s40520-024-02891-8.
10
Rapamycin improves satellite cells' autophagy and muscle regeneration during hypercapnia.雷帕霉素可改善高碳酸血症期间卫星细胞的自噬和肌肉再生。
JCI Insight. 2025 Jan 9;10(1):e182842. doi: 10.1172/jci.insight.182842.
代谢不健康的脂肪分布的原因、后果和治疗。
Lancet Diabetes Endocrinol. 2020 Jul;8(7):616-627. doi: 10.1016/S2213-8587(20)30110-8.
4
Obesity paradox and aging.肥胖悖论与衰老。
Eat Weight Disord. 2021 Feb;26(1):27-35. doi: 10.1007/s40519-019-00815-4. Epub 2019 Dec 21.
5
Visceral and ectopic fat, atherosclerosis, and cardiometabolic disease: a position statement.内脏和异位脂肪、动脉粥样硬化和代谢性心血管疾病:立场声明。
Lancet Diabetes Endocrinol. 2019 Sep;7(9):715-725. doi: 10.1016/S2213-8587(19)30084-1. Epub 2019 Jul 10.
6
Association between advanced fibrosis in fatty liver disease and overall mortality based on body fat distribution.基于体脂分布的脂肪性肝病肝纤维化程度与全因死亡率的相关性。
J Gastroenterol Hepatol. 2020 Jan;35(1):90-96. doi: 10.1111/jgh.14778. Epub 2019 Aug 21.
7
Association of Appendicular Lean Mass, and Subcutaneous and Visceral Adipose Tissue With Mortality in Older Brazilians: The São Paulo Ageing & Health Study.肢体瘦组织质量与皮下和内脏脂肪组织与巴西老年人死亡率的关系:圣保罗老龄化与健康研究。
J Bone Miner Res. 2019 Jul;34(7):1264-1274. doi: 10.1002/jbmr.3710. Epub 2019 May 28.
8
Central Obesity in Older Adults: What Should Be the Priority?老年人的中心性肥胖:应优先关注什么?
J Am Heart Assoc. 2018 Aug 21;7(16):e010119. doi: 10.1161/JAHA.118.010119.
9
Central Obesity and Visceral Adipose Tissue Are Not Associated With Incident Atherosclerotic Cardiovascular Disease Events in Older Men.中心型肥胖和内脏脂肪组织与老年男性发生动脉粥样硬化性心血管疾病事件无关。
J Am Heart Assoc. 2018 Aug 21;7(16):e009172. doi: 10.1161/JAHA.118.009172.
10
Waist circumference measurement sites and their association with visceral and subcutaneous fat and cardiometabolic abnormalities.腰围测量部位及其与内脏脂肪、皮下脂肪和心脏代谢异常的关联。
Arch Endocrinol Metab. 2018 Aug;62(4):416-423. doi: 10.20945/2359-3997000000055.