Suppr超能文献

基于病理图像的深度学习预测非手术宫颈癌患者的生存结局。

Using deep learning to predict survival outcome in non-surgical cervical cancer patients based on pathological images.

机构信息

Department of Oncology, National Clinical Research Center for Geriatric Disorders, Xiangya Hospital, Central South University, Changsha, 410008, China.

Department of Radiology, Shandong Provincial Hospital Affiliated to Shandong First Medical University, Jing Wu Road, No. 324, Jinan, 250021, China.

出版信息

J Cancer Res Clin Oncol. 2023 Aug;149(9):6075-6083. doi: 10.1007/s00432-022-04446-8. Epub 2023 Jan 19.

Abstract

PURPOSE

We analyzed clinical features and the representative HE-stained pathologic images to predict 5-year overall survival via the deep-learning approach in cervical cancer patients in order to assist oncologists in designing the optimal treatment strategies.

METHODS

The research retrospectively collected 238 non-surgical cervical cancer patients treated with radiochemotherapy from 2014 to 2017. These patients were randomly divided into the training set (n = 165) and test set (n = 73). Then, we extract deep features after segmenting the HE-stained image into patches of size 224 × 224. A Lasso-Cox model was constructed with clinical data to predict 5-year OS. C-index evaluated this model performance with 95% CI, calibration curve, and ROC.

RESULTS

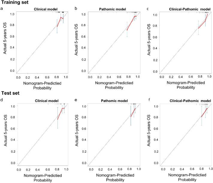
Based on multivariate analysis, 2 of 11 clinical characteristics (C-index 0.68) and 2 of 2048 pathomic features (C-index 0.74) and clinical-pathomic model (C-index 0.83) of nomograms predict 5-year survival in the training set, respectively. In test set, compared with the pathomic and clinical characteristics used alone, the clinical-pathomic model had an AUC of 0.750 (95% CI 0.540-0.959), the clinical predictor model had an AUC of 0.729 (95% CI 0.551-0.909), and the pathomic model AUC was 0.703 (95% CI 0.487-0.919). Based on appropriate nomogram scores, we divided patients into high-risk and low-risk groups, and Kaplan-Meier survival probability curves for both groups showed statistical differences.

CONCLUSION

We built a clinical-pathomic model to predict 5-year OS in non-surgical cervical cancer patients, which may be a promising method to improve the precision of personalized therapy.

摘要

目的

通过深度学习方法分析宫颈癌患者的临床特征和具有代表性的 HE 染色病理图像,预测 5 年总生存率,以协助肿瘤学家制定最佳治疗策略。

方法

本研究回顾性收集了 2014 年至 2017 年间接受放化疗的 238 例非手术宫颈癌患者。这些患者被随机分为训练集(n=165)和测试集(n=73)。然后,我们将 HE 染色图像分割成 224×224 的小块后提取深度特征。使用临床数据构建 Lasso-Cox 模型来预测 5 年 OS。C 指数通过 95%CI、校准曲线和 ROC 评估该模型的性能。

结果

基于多变量分析,在训练集中,11 个临床特征中的 2 个(C 指数 0.68)、2048 个病理特征中的 2 个(C 指数 0.74)和临床病理模型(C 指数 0.83)分别预测 5 年生存率。在测试集中,与单独使用病理特征和临床特征相比,临床病理模型的 AUC 为 0.750(95%CI 0.540-0.959),临床预测模型的 AUC 为 0.729(95%CI 0.551-0.909),病理模型 AUC 为 0.703(95%CI 0.487-0.919)。根据适当的列线图评分,我们将患者分为高风险和低风险组,两组的 Kaplan-Meier 生存概率曲线显示存在统计学差异。

结论

我们建立了一个预测非手术宫颈癌患者 5 年 OS 的临床病理模型,这可能是一种提高个性化治疗精度的有前途的方法。

https://cdn.ncbi.nlm.nih.gov/pmc/blobs/1930/11796743/26ac83dc7c3c/432_2022_4446_Fig1_HTML.jpg

文献检索

告别复杂PubMed语法,用中文像聊天一样搜索,搜遍4000万医学文献。AI智能推荐,让科研检索更轻松。

立即免费搜索

文件翻译

保留排版,准确专业,支持PDF/Word/PPT等文件格式,支持 12+语言互译。

免费翻译文档

深度研究

AI帮你快速写综述,25分钟生成高质量综述,智能提取关键信息,辅助科研写作。

立即免费体验