NanoSpin, Department of Applied Physics, Aalto University School of Science, P.O. Box 15100, FI-00076 Aalto, Finland.
Nano Lett. 2023 Apr 26;23(8):3167-3173. doi: 10.1021/acs.nanolett.2c04731. Epub 2023 Apr 13.
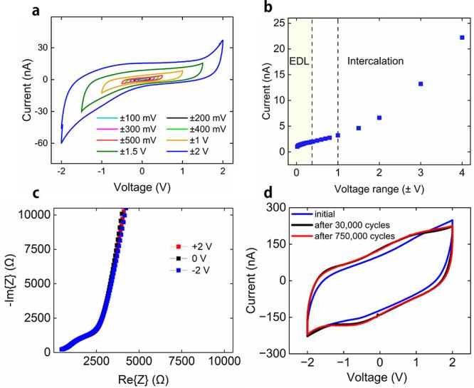
Ionic control of magnetism gives rise to high magnetoelectric coupling efficiencies at low voltages, which is essential for low-power magnetism-based nonconventional computing technologies. However, for on-chip applications, magnetoionic devices typically suffer from slow kinetics, poor cyclability, impractical liquid architectures, or strong ambient effects. As a route to overcoming these problems, we demonstrate a LiPON-based solid-state ionic supercapacitor with a magnetic Pt/CoFeB/Pt thin-film electrode which enables voltage control of a magnetic skyrmion state. Skyrmion nucleation and annihilation are caused by Li ion accumulation and depletion at the magnetic interface under an applied voltage. The skyrmion density can be controlled through dc applied voltages or through voltage pulses. The skyrmions are nucleated by single 60 μs voltage pulses, and devices are cycled 750000 times without loss of electrical performance. Our results demonstrate a simple and robust approach to ionic control of magnetism in spin-based devices.
离子控制磁性能在低电压下产生高磁电耦合效率,这对于基于低功率磁场的非常规计算技术至关重要。然而,对于片上应用,磁离子器件通常受到缓慢动力学、较差的循环性能、不切实际的液体架构或强烈的环境影响的限制。作为克服这些问题的一种途径,我们展示了一种基于 LiPON 的固态离子超级电容器,它具有磁性 Pt/CoFeB/Pt 薄膜电极,能够实现对磁斯格明子状态的电压控制。在施加的电压下,通过在磁性界面处的锂离子积累和耗尽来引起斯格明子的成核和湮灭。通过直流施加电压或通过电压脉冲来控制斯格明子密度。斯格明子由单个 60 μs 电压脉冲引发,并且器件循环 750000 次而不会损失电性能。我们的结果证明了一种简单而稳健的方法,用于控制基于自旋的器件中的磁离子。