• 文献检索
  • 文档翻译
  • 深度研究
  • 学术资讯
  • Suppr Zotero 插件Zotero 插件
  • 邀请有礼
  • 套餐&价格
  • 历史记录
应用&插件
Suppr Zotero 插件Zotero 插件浏览器插件Mac 客户端Windows 客户端微信小程序
定价
高级版会员购买积分包购买API积分包
服务
文献检索文档翻译深度研究API 文档MCP 服务
关于我们
关于 Suppr公司介绍联系我们用户协议隐私条款
关注我们

Suppr 超能文献

核心技术专利:CN118964589B侵权必究
粤ICP备2023148730 号-1Suppr @ 2026

文献检索

告别复杂PubMed语法,用中文像聊天一样搜索,搜遍4000万医学文献。AI智能推荐,让科研检索更轻松。

立即免费搜索

文件翻译

保留排版,准确专业,支持PDF/Word/PPT等文件格式,支持 12+语言互译。

免费翻译文档

深度研究

AI帮你快速写综述,25分钟生成高质量综述,智能提取关键信息,辅助科研写作。

立即免费体验

污染水生环境的农药和对羟基苯甲酸酯:对淡水鱼和两栖动物早期生命阶段的急性和亚慢性毒性

Pesticides and Parabens Contaminating Aquatic Environment: Acute and Sub-Chronic Toxicity towards Early-Life Stages of Freshwater Fish and Amphibians.

作者信息

Medkova Denisa, Hollerova Aneta, Riesova Barbora, Blahova Jana, Hodkovicova Nikola, Marsalek Petr, Doubkova Veronika, Weiserova Zuzana, Mares Jan, Faldyna Martin, Tichy Frantisek, Svobodova Zdenka, Lakdawala Pavla

机构信息

Department of Animal Protection and Welfare & Veterinary Public Health, Faculty of Veterinary Hygiene and Ecology, University of Veterinary Sciences Brno, 612 42 Brno, Czech Republic.

Department of Zoology, Fisheries, Hydrobiology and Apiculture, Faculty of Agrisciences, Mendel University in Brno, 613 00 Brno, Czech Republic.

出版信息

Toxics. 2023 Mar 31;11(4):333. doi: 10.3390/toxics11040333.

DOI:10.3390/toxics11040333
PMID:37112561
原文链接:https://pmc.ncbi.nlm.nih.gov/articles/PMC10141211/
Abstract

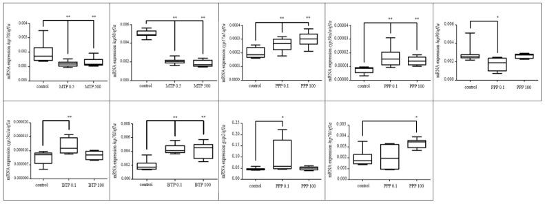
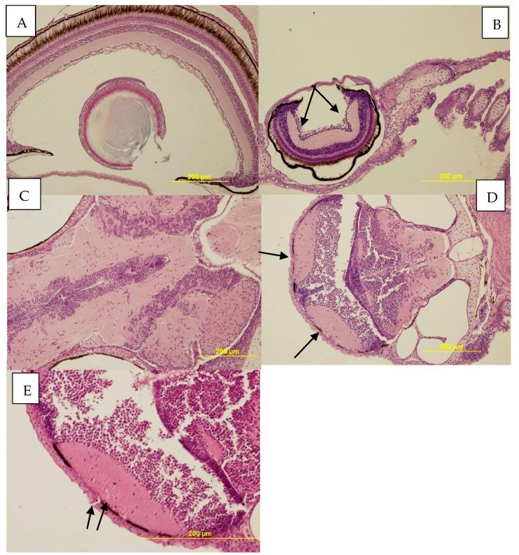
Pesticides and personal care products are two very important groups of contaminants posing a threat to the aquatic environment and the organisms living in it.. Therefore, this study aimed to describe the effects of widely used pesticides and parabens on aquatic non-target biota such as fish (using model organisms and ) and amphibians (using model organism ) using a wide range of endpoints. The first part of the experiment was focused on the embryonal toxicity of three widely used pesticides (metazachlor, prochloraz, and 4-chloro-2-methyl phenoxy acetic acid) and three parabens (methylparaben, propylparaben, and butylparaben) with , , and embryos. An emphasis was placed on using mostly sub-lethal concentrations that are partially relevant to the environmental concentrations of the substances studied. In the second part of the study, an embryo-larval toxicity test with was carried out with prochloraz using concentrations 0.1, 1, 10, 100, and 1000 µg/L. The results of both parts of the study show that even the low, environmentally relevant concentrations of the chemicals tested are often able to affect the expression of genes that play either a prominent role in detoxification and sex hormone production or indicate cell stress or, in case of prochloraz, to induce genotoxicity.

摘要

农药和个人护理产品是两类对水生环境及其生物构成威胁的重要污染物。因此,本研究旨在通过一系列终点指标,描述广泛使用的农药和对羟基苯甲酸酯对水生非靶标生物群(如鱼类(使用模式生物 )和两栖动物(使用模式生物 ))的影响。实验的第一部分聚焦于三种广泛使用的农药(异丙甲草胺、咪鲜胺和4-氯-2-甲基苯氧基乙酸)以及三种对羟基苯甲酸酯(对羟基苯甲酸甲酯、对羟基苯甲酸丙酯和对羟基苯甲酸丁酯)对 、 和 胚胎的胚胎毒性。重点是大多使用与所研究物质的环境浓度部分相关的亚致死浓度。在研究的第二部分,使用浓度为0.1、1、10、100和1000 µg/L的咪鲜胺对 进行了胚胎-幼体毒性试验。研究两部分的结果表明,即使是所测试化学物质的低环境相关浓度,也常常能够影响在解毒和性激素产生中起重要作用的基因的表达,或表明细胞应激,或者在咪鲜胺的情况下,诱导遗传毒性。

https://cdn.ncbi.nlm.nih.gov/pmc/blobs/13e1/10141211/8ef5f2b4f2b4/toxics-11-00333-g010.jpg
https://cdn.ncbi.nlm.nih.gov/pmc/blobs/13e1/10141211/1e9ac0d95021/toxics-11-00333-sch001.jpg
https://cdn.ncbi.nlm.nih.gov/pmc/blobs/13e1/10141211/146977a0b713/toxics-11-00333-g001.jpg
https://cdn.ncbi.nlm.nih.gov/pmc/blobs/13e1/10141211/fffacc0d7d82/toxics-11-00333-g002.jpg
https://cdn.ncbi.nlm.nih.gov/pmc/blobs/13e1/10141211/fb7f19b02f84/toxics-11-00333-g003.jpg
https://cdn.ncbi.nlm.nih.gov/pmc/blobs/13e1/10141211/cd74530d32fa/toxics-11-00333-g004.jpg
https://cdn.ncbi.nlm.nih.gov/pmc/blobs/13e1/10141211/5ee1ca4a8457/toxics-11-00333-g005.jpg
https://cdn.ncbi.nlm.nih.gov/pmc/blobs/13e1/10141211/7d667cfe1395/toxics-11-00333-g006.jpg
https://cdn.ncbi.nlm.nih.gov/pmc/blobs/13e1/10141211/9e2f4d9b7ce0/toxics-11-00333-g007.jpg
https://cdn.ncbi.nlm.nih.gov/pmc/blobs/13e1/10141211/e41929781676/toxics-11-00333-g008.jpg
https://cdn.ncbi.nlm.nih.gov/pmc/blobs/13e1/10141211/5f75c08094f4/toxics-11-00333-g009.jpg
https://cdn.ncbi.nlm.nih.gov/pmc/blobs/13e1/10141211/8ef5f2b4f2b4/toxics-11-00333-g010.jpg
https://cdn.ncbi.nlm.nih.gov/pmc/blobs/13e1/10141211/1e9ac0d95021/toxics-11-00333-sch001.jpg
https://cdn.ncbi.nlm.nih.gov/pmc/blobs/13e1/10141211/146977a0b713/toxics-11-00333-g001.jpg
https://cdn.ncbi.nlm.nih.gov/pmc/blobs/13e1/10141211/fffacc0d7d82/toxics-11-00333-g002.jpg
https://cdn.ncbi.nlm.nih.gov/pmc/blobs/13e1/10141211/fb7f19b02f84/toxics-11-00333-g003.jpg
https://cdn.ncbi.nlm.nih.gov/pmc/blobs/13e1/10141211/cd74530d32fa/toxics-11-00333-g004.jpg
https://cdn.ncbi.nlm.nih.gov/pmc/blobs/13e1/10141211/5ee1ca4a8457/toxics-11-00333-g005.jpg
https://cdn.ncbi.nlm.nih.gov/pmc/blobs/13e1/10141211/7d667cfe1395/toxics-11-00333-g006.jpg
https://cdn.ncbi.nlm.nih.gov/pmc/blobs/13e1/10141211/9e2f4d9b7ce0/toxics-11-00333-g007.jpg
https://cdn.ncbi.nlm.nih.gov/pmc/blobs/13e1/10141211/e41929781676/toxics-11-00333-g008.jpg
https://cdn.ncbi.nlm.nih.gov/pmc/blobs/13e1/10141211/5f75c08094f4/toxics-11-00333-g009.jpg
https://cdn.ncbi.nlm.nih.gov/pmc/blobs/13e1/10141211/8ef5f2b4f2b4/toxics-11-00333-g010.jpg

相似文献

1
Pesticides and Parabens Contaminating Aquatic Environment: Acute and Sub-Chronic Toxicity towards Early-Life Stages of Freshwater Fish and Amphibians.污染水生环境的农药和对羟基苯甲酸酯:对淡水鱼和两栖动物早期生命阶段的急性和亚慢性毒性
Toxics. 2023 Mar 31;11(4):333. doi: 10.3390/toxics11040333.
2
Final amended report on the safety assessment of Methylparaben, Ethylparaben, Propylparaben, Isopropylparaben, Butylparaben, Isobutylparaben, and Benzylparaben as used in cosmetic products.关于化妆品中使用的对羟基苯甲酸甲酯、对羟基苯甲酸乙酯、对羟基苯甲酸丙酯、对羟基苯甲酸异丙酯、对羟基苯甲酸丁酯、对羟基苯甲酸异丁酯和对羟基苯甲酸苄酯安全性评估的最终修订报告。
Int J Toxicol. 2008;27 Suppl 4:1-82. doi: 10.1080/10915810802548359.
3
Aquatic toxicity and ecological risk assessment of seven parabens: Individual and additive approach.七种对羟基苯甲酸酯的水生毒性和生态风险评估:个体和加和方法。
Sci Total Environ. 2011 Dec 1;410-411:102-11. doi: 10.1016/j.scitotenv.2011.09.040. Epub 2011 Nov 1.
4
Medicine designed to combat diseases of affluence affects the early development of fish. How do plastic microparticles contribute?旨在治疗富贵病的药物会影响鱼类的早期发育。塑料微粒是如何起作用的?
Sci Total Environ. 2023 Dec 15;904:166378. doi: 10.1016/j.scitotenv.2023.166378. Epub 2023 Aug 16.
5
Evaluating the role of fish as surrogates for amphibians in pesticide ecological risk assessment.评估鱼类作为两栖动物在农药生态风险评估中的替代物的作用。
Chemosphere. 2019 Nov;235:952-958. doi: 10.1016/j.chemosphere.2019.06.166. Epub 2019 Jun 28.
6
Embryotoxicity of methylparaben to zebrafish (Danio rerio) early-life stages.对斑马鱼(Danio rerio)早期生活阶段的甲基对羟基苯甲酸酯的胚胎毒性。
Comp Biochem Physiol C Toxicol Pharmacol. 2020 Oct;236:108792. doi: 10.1016/j.cbpc.2020.108792. Epub 2020 May 16.
7
Effects of antidepressants with different modes of action on early life stages of fish and amphibians.抗抑郁药作用方式不同对鱼类和两栖类早期发育阶段的影响。
Environ Pollut. 2019 Nov;254(Pt A):112999. doi: 10.1016/j.envpol.2019.112999. Epub 2019 Aug 6.
8
Dietary Habits and Personal Care Product Use as Predictors of Urinary Concentrations of Parabens in Iranian Adolescents.饮食习惯和个人护理产品使用与伊朗青少年尿液中对羟基苯甲酸酯浓度的关系。
Environ Toxicol Chem. 2020 Dec;39(12):2378-2388. doi: 10.1002/etc.4861. Epub 2020 Oct 8.
9
Screening the Toxicity of Selected Personal Care Products Using Embryo Bioassays: 4-MBC, Propylparaben and Triclocarban.使用胚胎生物测定法筛选选定个人护理产品的毒性:4-甲基苯并三唑、对羟基苯甲酸丙酯和三氯生。
Int J Mol Sci. 2016 Oct 21;17(10):1762. doi: 10.3390/ijms17101762.
10
Transient exposure of methylparaben to zebrafish (Danio rerio) embryos altered cortisol level, acetylcholinesterase activity and induced anxiety-like behaviour.甲基对羟苯甲酸酯对斑马鱼(Danio rerio)胚胎的短暂暴露改变了皮质醇水平、乙酰胆碱酯酶活性,并引起了类似焦虑的行为。
Gen Comp Endocrinol. 2019 Aug 1;279:53-59. doi: 10.1016/j.ygcen.2018.11.001. Epub 2018 Nov 2.

引用本文的文献

1
Zebrafish as a model for assessing biocide toxicity: A comprehensive review.斑马鱼作为评估杀生剂毒性的模型:全面综述。
Toxicol Rep. 2025 Mar 5;14:101980. doi: 10.1016/j.toxrep.2025.101980. eCollection 2025 Jun.
2
A systematic review of the toxic potential of parabens in fish.对鱼类中对羟基苯甲酸酯潜在毒性的系统评价。
Front Toxicol. 2024 Oct 7;6:1399467. doi: 10.3389/ftox.2024.1399467. eCollection 2024.
3
Herbicides in Water Sources: Communicating Potential Risks to the Population of Mangaung Metropolitan Municipality, South Africa.

本文引用的文献

1
Exposure to methylparaben at environmentally realistic concentrations significantly impairs neuronal health in adult zebrafish.暴露于环境现实浓度的对羟基苯甲酸甲酯会显著损害成年斑马鱼的神经元健康。
J Environ Sci (China). 2023 Oct;132:134-144. doi: 10.1016/j.jes.2022.07.012. Epub 2022 Jul 22.
2
Pesticide residues in fresh fruits imported into the United Arab Emirates.进口到阿拉伯联合酋长国的新鲜水果中的农药残留。
Heliyon. 2022 Nov 29;8(12):e11946. doi: 10.1016/j.heliyon.2022.e11946. eCollection 2022 Dec.
3
Hydroxyl radical-initiated decomposition of metazachlor herbicide in the gaseous and aqueous phases: Mechanism, kinetics, and toxicity evaluation.
水源中的除草剂:向南非曼加昂市居民传达潜在风险
Toxics. 2023 Jun 16;11(6):538. doi: 10.3390/toxics11060538.
羟基自由基引发的甲砜霉素除草剂在气相和水相中的分解:机制、动力学和毒性评价。
Chemosphere. 2023 Jan;312(Pt 1):137234. doi: 10.1016/j.chemosphere.2022.137234. Epub 2022 Nov 11.
4
National-scale monitoring of historic used organochlorine pesticides (OCPs) and current used pesticides (CUPs) in Chinese surface soil: Old topic and new story.中国地表土壤中历史上使用的有机氯农药(OCPs)和当前使用的农药(CUPs)的国家规模监测:老话题,新故事。
J Hazard Mater. 2023 Feb 5;443(Pt B):130285. doi: 10.1016/j.jhazmat.2022.130285. Epub 2022 Oct 29.
5
Occurrence and risk assessment of endocrine-disrupting compounds in fish muscle: The case study of the Douro River estuary (North East Atlantic Ocean).鱼类肌肉中内分泌干扰化合物的存在情况及风险评估:以杜罗河河口(东北大西洋)为例
Environ Res. 2022 Dec;215(Pt 1):114236. doi: 10.1016/j.envres.2022.114236. Epub 2022 Sep 1.
6
Hepatotoxicity caused by methylparaben in adult zebrafish.甲基对羟苯甲酸酯在成年斑马鱼中引起的肝毒性。
Aquat Toxicol. 2022 Sep;250:106255. doi: 10.1016/j.aquatox.2022.106255. Epub 2022 Jul 23.
7
Comprehensive assessment of estrogenic activities of parabens by in silico approach and in vitro assays.通过计算方法和体外检测综合评估对羟基苯甲酸酯的雌激素活性。
Sci Total Environ. 2022 Nov 1;845:157194. doi: 10.1016/j.scitotenv.2022.157194. Epub 2022 Jul 8.
8
Occurrence and fate of pharmaceuticals, personal care products (PPCPs) and pesticides in African water systems: A need for timely intervention.非洲水系统中药物、个人护理产品(PPCPs)和农药的存在与归宿:及时干预的必要性。
Heliyon. 2022 Mar 18;8(3):e09143. doi: 10.1016/j.heliyon.2022.e09143. eCollection 2022 Mar.
9
The effects of ethylparaben and propylparaben on the development and fecundity of Drosophila melanogaster.尼泊金乙酯和尼泊金丙酯对黑腹果蝇发育和繁殖的影响。
Environ Toxicol Pharmacol. 2022 May;92:103856. doi: 10.1016/j.etap.2022.103856. Epub 2022 Mar 24.
10
Transcriptomic and targeted metabolomic analysis revealed the toxic effects of prochloraz on larval zebrafish.转录组学和靶向代谢组学分析揭示了咪鲜胺对斑马鱼幼体的毒性作用。
Sci Total Environ. 2022 May 20;822:153625. doi: 10.1016/j.scitotenv.2022.153625. Epub 2022 Feb 4.