• 文献检索
  • 文档翻译
  • 深度研究
  • 学术资讯
  • Suppr Zotero 插件Zotero 插件
  • 邀请有礼
  • 套餐&价格
  • 历史记录
应用&插件
Suppr Zotero 插件Zotero 插件浏览器插件Mac 客户端Windows 客户端微信小程序
定价
高级版会员购买积分包购买API积分包
服务
文献检索文档翻译深度研究API 文档MCP 服务
关于我们
关于 Suppr公司介绍联系我们用户协议隐私条款
关注我们

Suppr 超能文献

核心技术专利:CN118964589B侵权必究
粤ICP备2023148730 号-1Suppr @ 2026

文献检索

告别复杂PubMed语法,用中文像聊天一样搜索,搜遍4000万医学文献。AI智能推荐,让科研检索更轻松。

立即免费搜索

文件翻译

保留排版,准确专业,支持PDF/Word/PPT等文件格式,支持 12+语言互译。

免费翻译文档

深度研究

AI帮你快速写综述,25分钟生成高质量综述,智能提取关键信息,辅助科研写作。

立即免费体验

评估增加体育活动对超重和肥胖儿童体重及脂肪组织减少的影响。

Assessment of the Impact of Increased Physical Activity on Body Mass and Adipose Tissue Reduction in Overweight and Obese Children.

作者信息

Nowaczyk Marta, Cieślik Krystyna, Waszak Małgorzata

机构信息

Institute of Health and Physical Education, Jan Amos Komenski University of Applied Sciences in Leszno, 64-100 Leszno, Poland.

Department of Biology and Anatomy, Poznan University of Physical Education, 61-871 Poznań, Poland.

出版信息

Children (Basel). 2023 Apr 23;10(5):764. doi: 10.3390/children10050764.

DOI:10.3390/children10050764
PMID:37238312
原文链接:https://pmc.ncbi.nlm.nih.gov/articles/PMC10217524/
Abstract

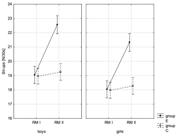
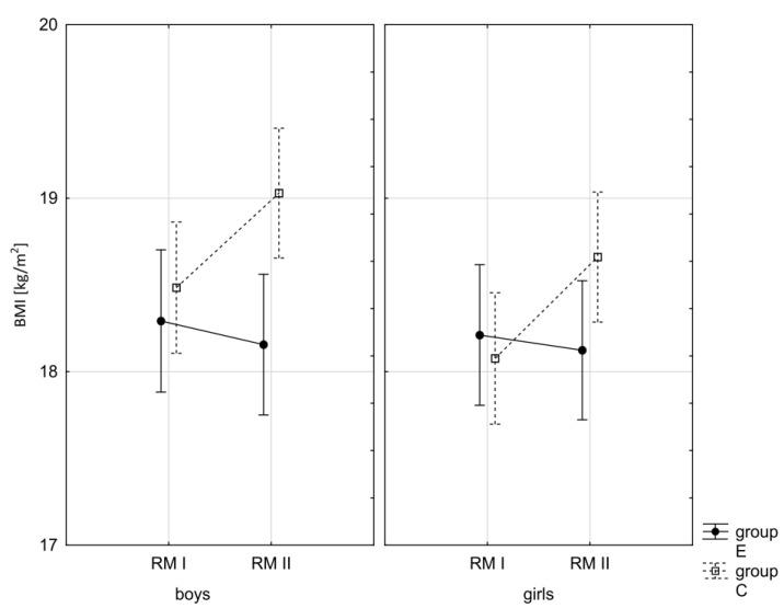
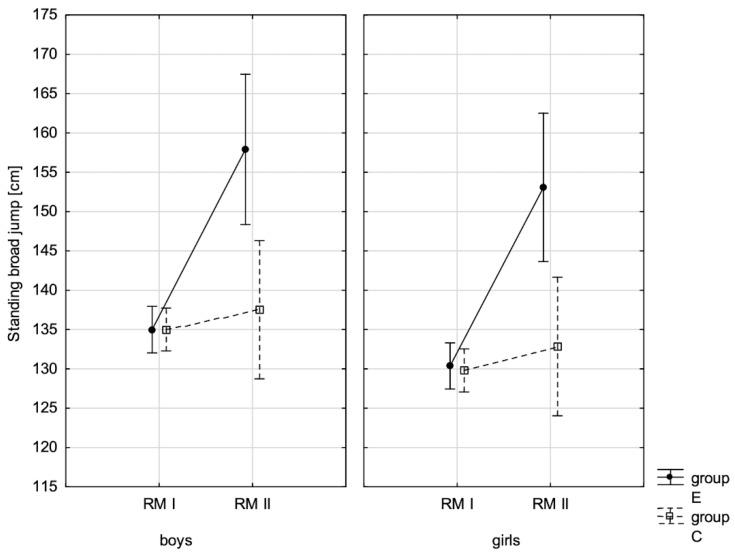
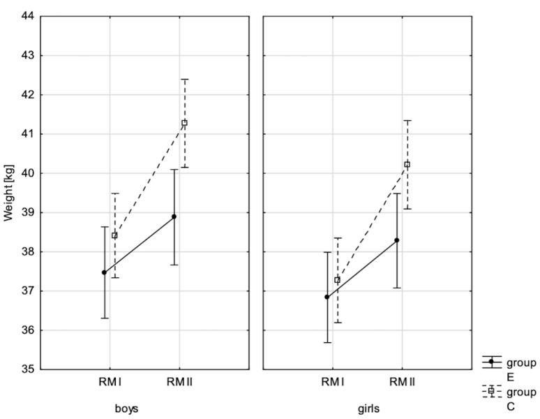
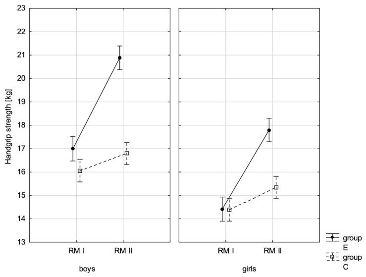
(1) Background: Within the last 30 years, growing rates of child overweight and obesity have been observed as a very concerning phenomenon in most countries worldwide. The research aim was to assess what effect increased physical activity has on reducing body mass and adipose tissue in children between 10 and 11 years of age as well as to answer the question of whether physical activity could be considered as a factor in preventing child overweight and obesity when maintaining their existing diet and lifestyle. (2) Material and methods: There were 419 sports class primary school pupils in the experimental group who, in addition to four obligatory weekly physical education hours, attended six training hours. The control group comprised 485 children from parallel non-sports classes. In all pupils, height and weight measurements as well as physical fitness measurements were taken twice, at the beginning and end of the school year. Cole's method was used to assess the children's normal body weight. With the help of this method, children with excessive body weight were selected from the entire study group (N = 904), who additionally had skinfolds and adipose tissue measured using the BIA electrical bioimpedance method. The obtained results were interpreted using the variance analysis for repeated measurements and LSD test. (3) Results: The number of children with excessive body mass after 10 months of increased physical activity decreased (in the case of overweight: = 0.0014, obesity: = 0.0022), as did their skinfolds ( ≤ 0.001) and body fat ( ≤ 0.001), while their physical fitness considerably improved compared to the control group. (4) Conclusions: The introduction of increased physical activity in the experimental group children when maintaining their existing diet and lifestyle contributed to reducing their obesity and overweight and, at the same time, proved to be an effective factor in the process of decreasing their excessive body mass.

摘要

(1) 背景:在过去30年里,儿童超重和肥胖率不断上升,这在全球大多数国家都是一个非常令人担忧的现象。本研究的目的是评估增加体育活动对10至11岁儿童体重减轻和脂肪组织减少有何影响,并回答在维持儿童现有饮食和生活方式的情况下,体育活动是否可被视为预防儿童超重和肥胖的一个因素这一问题。(2) 材料与方法:实验组有419名参加体育课的小学生,他们除了每周必修的4小时体育课外,还参加6小时训练。对照组由来自平行非体育课班级的485名儿童组成。在所有学生中,在学年开始和结束时分别进行了两次身高、体重测量以及体能测试。采用科尔方法评估儿童的正常体重。借助该方法,从整个研究组(N = 904)中挑选出体重超标儿童,另外使用生物电阻抗分析法(BIA)测量他们的皮褶厚度和脂肪组织。使用重复测量方差分析和最小显著差法(LSD)对所得结果进行解释。(3) 结果:增加体育活动10个月后,体重超标儿童数量减少(超重情况:= 0.0014,肥胖情况:= 0.0022),他们的皮褶厚度(≤ 0.001)和体脂(≤ 0.001)也减少,同时与对照组相比,他们的体能有显著改善。(4) 结论:在维持实验组儿童现有饮食和生活方式的情况下增加体育活动,有助于降低他们的肥胖和超重程度,同时被证明是减轻他们过量体重过程中的一个有效因素。

https://cdn.ncbi.nlm.nih.gov/pmc/blobs/88e2/10217524/0675f92620d9/children-10-00764-g013.jpg
https://cdn.ncbi.nlm.nih.gov/pmc/blobs/88e2/10217524/40b8a36839e3/children-10-00764-g001.jpg
https://cdn.ncbi.nlm.nih.gov/pmc/blobs/88e2/10217524/feb435ac5dea/children-10-00764-g002.jpg
https://cdn.ncbi.nlm.nih.gov/pmc/blobs/88e2/10217524/cbf3782de0ce/children-10-00764-g003.jpg
https://cdn.ncbi.nlm.nih.gov/pmc/blobs/88e2/10217524/96cc8666fc8f/children-10-00764-g004.jpg
https://cdn.ncbi.nlm.nih.gov/pmc/blobs/88e2/10217524/b62a3daf7d2d/children-10-00764-g005.jpg
https://cdn.ncbi.nlm.nih.gov/pmc/blobs/88e2/10217524/2ee9eafed692/children-10-00764-g006.jpg
https://cdn.ncbi.nlm.nih.gov/pmc/blobs/88e2/10217524/c58123c030e1/children-10-00764-g007.jpg
https://cdn.ncbi.nlm.nih.gov/pmc/blobs/88e2/10217524/f1632d0ddc1a/children-10-00764-g008.jpg
https://cdn.ncbi.nlm.nih.gov/pmc/blobs/88e2/10217524/bfb26ceaf1f6/children-10-00764-g009.jpg
https://cdn.ncbi.nlm.nih.gov/pmc/blobs/88e2/10217524/4401f5560934/children-10-00764-g010.jpg
https://cdn.ncbi.nlm.nih.gov/pmc/blobs/88e2/10217524/325cf356cf1d/children-10-00764-g011.jpg
https://cdn.ncbi.nlm.nih.gov/pmc/blobs/88e2/10217524/cc37c46a38e1/children-10-00764-g012.jpg
https://cdn.ncbi.nlm.nih.gov/pmc/blobs/88e2/10217524/0675f92620d9/children-10-00764-g013.jpg
https://cdn.ncbi.nlm.nih.gov/pmc/blobs/88e2/10217524/40b8a36839e3/children-10-00764-g001.jpg
https://cdn.ncbi.nlm.nih.gov/pmc/blobs/88e2/10217524/feb435ac5dea/children-10-00764-g002.jpg
https://cdn.ncbi.nlm.nih.gov/pmc/blobs/88e2/10217524/cbf3782de0ce/children-10-00764-g003.jpg
https://cdn.ncbi.nlm.nih.gov/pmc/blobs/88e2/10217524/96cc8666fc8f/children-10-00764-g004.jpg
https://cdn.ncbi.nlm.nih.gov/pmc/blobs/88e2/10217524/b62a3daf7d2d/children-10-00764-g005.jpg
https://cdn.ncbi.nlm.nih.gov/pmc/blobs/88e2/10217524/2ee9eafed692/children-10-00764-g006.jpg
https://cdn.ncbi.nlm.nih.gov/pmc/blobs/88e2/10217524/c58123c030e1/children-10-00764-g007.jpg
https://cdn.ncbi.nlm.nih.gov/pmc/blobs/88e2/10217524/f1632d0ddc1a/children-10-00764-g008.jpg
https://cdn.ncbi.nlm.nih.gov/pmc/blobs/88e2/10217524/bfb26ceaf1f6/children-10-00764-g009.jpg
https://cdn.ncbi.nlm.nih.gov/pmc/blobs/88e2/10217524/4401f5560934/children-10-00764-g010.jpg
https://cdn.ncbi.nlm.nih.gov/pmc/blobs/88e2/10217524/325cf356cf1d/children-10-00764-g011.jpg
https://cdn.ncbi.nlm.nih.gov/pmc/blobs/88e2/10217524/cc37c46a38e1/children-10-00764-g012.jpg
https://cdn.ncbi.nlm.nih.gov/pmc/blobs/88e2/10217524/0675f92620d9/children-10-00764-g013.jpg

相似文献

1
Assessment of the Impact of Increased Physical Activity on Body Mass and Adipose Tissue Reduction in Overweight and Obese Children.评估增加体育活动对超重和肥胖儿童体重及脂肪组织减少的影响。
Children (Basel). 2023 Apr 23;10(5):764. doi: 10.3390/children10050764.
2
The effectiveness of web-based programs on the reduction of childhood obesity in school-aged children: A systematic review.基于网络的项目对学龄儿童肥胖症减轻的有效性:一项系统评价。
JBI Libr Syst Rev. 2012;10(42 Suppl):1-14. doi: 10.11124/jbisrir-2012-248.
3
The effect of weight management interventions that include a diet component on weight-related outcomes in pregnant and postpartum women: a systematic review protocol.包含饮食成分的体重管理干预措施对孕妇和产后女性体重相关结局的影响:一项系统评价方案
JBI Database System Rev Implement Rep. 2015 Jan;13(1):88-98. doi: 10.11124/jbisrir-2015-1812.
4
The Impact of Physical Activity at School on Body Fat Content in School-Aged Children.学校体育活动对学龄儿童体脂肪含量的影响。
Int J Environ Res Public Health. 2022 Sep 30;19(19):12514. doi: 10.3390/ijerph191912514.
5
Changes in the prevalence of overweight/obesity and adiposity among pre-school children in Kraków, Poland, from 2008 to 2018.波兰克拉科夫市学龄前儿童超重/肥胖和肥胖症患病率的变化,2008 年至 2018 年。
J Biosoc Sci. 2020 Nov;52(6):895-906. doi: 10.1017/S0021932019000853. Epub 2020 Jan 6.
6
Lifestyle intervention for improving school achievement in overweight or obese children and adolescents.改善超重或肥胖儿童及青少年学业成绩的生活方式干预。
Cochrane Database Syst Rev. 2014 Mar 14(3):CD009728. doi: 10.1002/14651858.CD009728.pub2.
7
[Simple obesity in children. A study on the role of nutritional factors].[儿童单纯性肥胖。营养因素作用的研究]
Med Wieku Rozwoj. 2006 Jan-Mar;10(1):3-191.
8
Improvement of fitness, body composition, and insulin sensitivity in overweight children in a school-based exercise program: a randomized, controlled study.一项基于学校的运动计划对超重儿童体能、身体成分和胰岛素敏感性的改善:一项随机对照研究。
Arch Pediatr Adolesc Med. 2005 Oct;159(10):963-8. doi: 10.1001/archpedi.159.10.963.
9
The Impact of Physical Activity at School on Children's Body Mass during 2 Years of Observation.两年观察期内学校体育活动对儿童体重的影响。
Int J Environ Res Public Health. 2022 Mar 10;19(6):3287. doi: 10.3390/ijerph19063287.
10
Anthropometric variables, lifestyle and sports in school-age children: comparison between the cities of Bologna and Crotone.学龄儿童的人体测量变量、生活方式与运动:博洛尼亚市与克罗托内市的比较
Homo. 2014 Dec;65(6):499-508. doi: 10.1016/j.jchb.2014.05.005. Epub 2014 Oct 5.

引用本文的文献

1
The Impact of Increased Physical Activity at School on the Nutritional Behavior and BMI of 13-Year-Olds.学校体育活动增加对13岁青少年营养行为及体重指数的影响
Nutrients. 2024 Dec 15;16(24):4329. doi: 10.3390/nu16244329.
2
Investigating Links between Moderate-to-Vigorous Physical Activity and Self-Rated Health Status in Adolescents: The Mediating Roles of Emotional Intelligence and Psychosocial Stress.探究青少年中等到剧烈身体活动与自评健康状况之间的联系:情商和心理社会压力的中介作用
Children (Basel). 2023 Jun 25;10(7):1106. doi: 10.3390/children10071106.

本文引用的文献

1
The Impact of Physical Activity at School on Children's Body Mass during 2 Years of Observation.两年观察期内学校体育活动对儿童体重的影响。
Int J Environ Res Public Health. 2022 Mar 10;19(6):3287. doi: 10.3390/ijerph19063287.
2
Association between Physical Activity, Sedentary Behaviors, Sleep, Diet, and Adiposity among Children and Adolescents in China.中国儿童和青少年身体活动、久坐行为、睡眠、饮食与肥胖的关系。
Obes Facts. 2022;15(1):26-35. doi: 10.1159/000519268. Epub 2021 Nov 16.
3
Associations of novel 24-h accelerometer-derived metrics with adiposity in children and adolescents.
新型 24 小时加速度计衍生指标与儿童和青少年肥胖的关联。
Environ Health Prev Med. 2021 Jun 12;26(1):66. doi: 10.1186/s12199-021-00987-5.
4
Physical Activity in the Prevention of Childhood Obesity: The Position of the European Childhood Obesity Group and the European Academy of Pediatrics.体育活动在预防儿童肥胖中的作用:欧洲儿童肥胖研究小组和欧洲儿科学会的立场
Front Pediatr. 2020 Nov 5;8:535705. doi: 10.3389/fped.2020.535705. eCollection 2020.
5
Associations between adolescents' physical activity behavior and their perceptions of parental, peer and teacher support.青少年的身体活动行为与其对父母、同伴和教师支持的认知之间的关联。
Arch Public Health. 2020 Oct 23;78:106. doi: 10.1186/s13690-020-00490-3. eCollection 2020.
6
Childhood Obesity Surveillance Initiative (COSI) in Poland: Implementation of Two Rounds of the Study in the Context of International Methodological Assumptions.波兰儿童肥胖监测倡议(COSI):在国际方法假设背景下实施两轮研究。
J Mother Child. 2020 Jul 29;24(1):2-12. doi: 10.34763/jmotherandchild.2020241.1936.000001.
7
Case-Fatality Rate and Characteristics of Patients Dying in Relation to COVID-19 in Italy.意大利新冠肺炎死亡患者的病死率及特征
JAMA. 2020 May 12;323(18):1775-1776. doi: 10.1001/jama.2020.4683.
8
Clinical course and risk factors for mortality of adult inpatients with COVID-19 in Wuhan, China: a retrospective cohort study.中国武汉成人 COVID-19 住院患者的临床病程和死亡危险因素:一项回顾性队列研究。
Lancet. 2020 Mar 28;395(10229):1054-1062. doi: 10.1016/S0140-6736(20)30566-3. Epub 2020 Mar 11.
9
Obesity and Androgens in Women.女性肥胖与雄激素。
Front Horm Res. 2019;53:120-134. doi: 10.1159/000494908. Epub 2019 Sep 9.
10
School education and childhood obesity: A systemic review.学校教育与儿童肥胖:一项系统性综述。
Diabetes Metab Syndr. 2019 Jul-Aug;13(4):2495-2501. doi: 10.1016/j.dsx.2019.07.014. Epub 2019 Jul 8.