• 文献检索
  • 文档翻译
  • 深度研究
  • 学术资讯
  • Suppr Zotero 插件Zotero 插件
  • 邀请有礼
  • 套餐&价格
  • 历史记录
应用&插件
Suppr Zotero 插件Zotero 插件浏览器插件Mac 客户端Windows 客户端微信小程序
定价
高级版会员购买积分包购买API积分包
服务
文献检索文档翻译深度研究API 文档MCP 服务
关于我们
关于 Suppr公司介绍联系我们用户协议隐私条款
关注我们

Suppr 超能文献

核心技术专利:CN118964589B侵权必究
粤ICP备2023148730 号-1Suppr @ 2026

文献检索

告别复杂PubMed语法,用中文像聊天一样搜索,搜遍4000万医学文献。AI智能推荐,让科研检索更轻松。

立即免费搜索

文件翻译

保留排版,准确专业,支持PDF/Word/PPT等文件格式,支持 12+语言互译。

免费翻译文档

深度研究

AI帮你快速写综述,25分钟生成高质量综述,智能提取关键信息,辅助科研写作。

立即免费体验

Jejucarbosides B-E,海洋来源的氯化环芳烯二炔类化合物

Jejucarbosides B-E, Chlorinated Cycloaromatized Enediynes, from a Marine sp.

机构信息

Natural Products Research Institute, College of Pharmacy, Seoul National University, Seoul 08826, Republic of Korea.

出版信息

Mar Drugs. 2023 Jul 18;21(7):405. doi: 10.3390/md21070405.

DOI:10.3390/md21070405
PMID:37504936
原文链接:https://pmc.ncbi.nlm.nih.gov/articles/PMC10381858/
Abstract

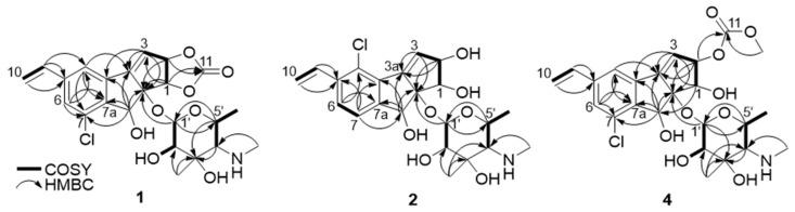
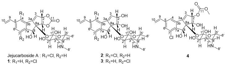
Four new chlorinated cycloaromatized enediyne compounds, jejucarbosides B-E (-), were discovered together with previously-identified jejucarboside A from a marine actinomycete strain. Compounds - were identified as new chlorinated cyclopenta[]indene glycosides based on 1D and 2D nuclear magnetic resonance, high-resolution mass spectrometry, and circular dichroism (CD) spectra. Jejucarbosides B and E bear a carbonate functional group whereas jejucarbosides C and D are variants possessing 1,2-diol by losing the carbonate functionality. It is proposed that the production of - occurs via Bergman cycloaromatization capturing Cl and H in the alternative positions of a -benzyne intermediate derived from a 9-membered enediyne core. Jejucarboside E () displayed significant cytotoxicity against human cancer cell lines including SNU-638, SK-HEP-1, A549, HCT116, and MDA-MB-231, with IC values of 0.31, 0.40, 0.25, 0.29, and 0.48 μM, respectively, while jejucarbosides B-D (-) showed moderate or no cytotoxic effects.

摘要

四种新的氯化环芳烯二烯化合物,jejucarbosides B-E(-),与先前从海洋放线菌菌株中鉴定出的 jejucarboside A 一起被发现。化合物-根据 1D 和 2D 核磁共振、高分辨率质谱和圆二色性(CD)光谱被鉴定为新的氯化环戊[]茚糖苷。Jejucarbosides B 和 E 带有碳酸酯官能团,而 jejucarbosides C 和 D 是通过失去碳酸酯官能团而具有 1,2-二醇的变体。据推测,-的产生是通过 Bergman 环芳构化捕获 Cl 和 H 在衍生自 9 元烯二酮核心的 -苯乙炔中间体的替代位置上发生的。Jejucarboside E()对包括 SNU-638、SK-HEP-1、A549、HCT116 和 MDA-MB-231 在内的人类癌细胞系表现出显著的细胞毒性,IC 值分别为 0.31、0.40、0.25、0.29 和 0.48 μM,而 jejucarbosides B-D(-)表现出中度或无细胞毒性作用。

https://cdn.ncbi.nlm.nih.gov/pmc/blobs/6e70/10381858/f2b3e49ff410/marinedrugs-21-00405-g005.jpg
https://cdn.ncbi.nlm.nih.gov/pmc/blobs/6e70/10381858/7f6475997073/marinedrugs-21-00405-g001.jpg
https://cdn.ncbi.nlm.nih.gov/pmc/blobs/6e70/10381858/634c7d2dc37d/marinedrugs-21-00405-g002.jpg
https://cdn.ncbi.nlm.nih.gov/pmc/blobs/6e70/10381858/20f427673219/marinedrugs-21-00405-g003.jpg
https://cdn.ncbi.nlm.nih.gov/pmc/blobs/6e70/10381858/b594a5a20925/marinedrugs-21-00405-g004.jpg
https://cdn.ncbi.nlm.nih.gov/pmc/blobs/6e70/10381858/f2b3e49ff410/marinedrugs-21-00405-g005.jpg
https://cdn.ncbi.nlm.nih.gov/pmc/blobs/6e70/10381858/7f6475997073/marinedrugs-21-00405-g001.jpg
https://cdn.ncbi.nlm.nih.gov/pmc/blobs/6e70/10381858/634c7d2dc37d/marinedrugs-21-00405-g002.jpg
https://cdn.ncbi.nlm.nih.gov/pmc/blobs/6e70/10381858/20f427673219/marinedrugs-21-00405-g003.jpg
https://cdn.ncbi.nlm.nih.gov/pmc/blobs/6e70/10381858/b594a5a20925/marinedrugs-21-00405-g004.jpg
https://cdn.ncbi.nlm.nih.gov/pmc/blobs/6e70/10381858/f2b3e49ff410/marinedrugs-21-00405-g005.jpg

相似文献

1
Jejucarbosides B-E, Chlorinated Cycloaromatized Enediynes, from a Marine sp.Jejucarbosides B-E,海洋来源的氯化环芳烯二炔类化合物
Mar Drugs. 2023 Jul 18;21(7):405. doi: 10.3390/md21070405.
2
Targeted Discovery of an Enediyne-Derived Cycloaromatized Compound, Jejucarboside A, from a Marine Actinomycete.从海洋放线菌中定向发现一种烯二炔衍生的环芳构化化合物——杰氏碳苷A。
Org Lett. 2022 Oct 7;24(39):7188-7193. doi: 10.1021/acs.orglett.2c02934. Epub 2022 Sep 27.
3
Structures and comparative characterization of biosynthetic gene clusters for cyanosporasides, enediyne-derived natural products from marine actinomycetes.海洋放线菌来源的含氮杂环类天然产物氰孢霉素生物合成基因簇的结构与比较特征。
J Am Chem Soc. 2013 Mar 20;135(11):4171-4. doi: 10.1021/ja311065v. Epub 2013 Mar 7.
4
Cytotoxic, Anti-Migration, and Anti-Invasion Activities on Breast Cancer Cells of Angucycline Glycosides Isolated from a Marine-Derived sp.海洋来源的 sp. 中分离得到的蒽环糖苷类化合物对乳腺癌细胞的细胞毒性、抗迁移和抗侵袭活性
Mar Drugs. 2019 May 9;17(5):277. doi: 10.3390/md17050277.
5
Cytotoxic rearranged angucycline glycosides from deep sea-derived Streptomyces lusitanus SCSIO LR32.来自深海来源的葡萄牙链霉菌SCSIO LR32的细胞毒性重排安古霉素糖苷。
J Antibiot (Tokyo). 2017 Jul;70(7):819-822. doi: 10.1038/ja.2017.17. Epub 2017 Feb 22.
6
Enhancement of Cytotoxicity of Enediyne Compounds by Hyperthermia: Effects of Various Metal Complexes on Tumor Cells.热疗增强恩替丁类化合物的细胞毒性:各种金属配合物对肿瘤细胞的影响。
Radiat Res. 2020 Feb;193(2):107-118. doi: 10.1667/RR15433.1. Epub 2019 Dec 4.
7
Cytotoxic Dibohemamines D-F from a Streptomyces Species.来自链霉菌属的细胞毒性二氢苯并嗪 D-F。
J Nat Prod. 2017 Oct 27;80(10):2825-2829. doi: 10.1021/acs.jnatprod.7b00136. Epub 2017 Oct 16.
8
Bisamides and rhamnosides from mangrove actinomycete Streptomyces sp. SZ-A15.来自红树林放线菌链霉菌属菌株SZ-A15的双酰胺和鼠李糖苷。
Nat Prod Res. 2018 Apr;32(7):761-766. doi: 10.1080/14786419.2017.1315578. Epub 2017 Apr 24.
9
Tartrolon D, a cytotoxic macrodiolide from the marine-derived actinomycete Streptomyces sp. MDG-04-17-069.Tartrolon D,一种来自海洋来源放线菌链霉菌 sp. MDG-04-17-069 的细胞毒性大环二萜。
J Nat Prod. 2009 Dec;72(12):2192-4. doi: 10.1021/np9006603.
10
Grincamycins I - K, Cytotoxic Angucycline Glycosides Derived from Marine-Derived Actinomycete Streptomyces lusitanus SCSIO LR32.格氏霉素I-K,源自海洋放线菌葡萄牙链霉菌SCSIO LR32的细胞毒性安古霉素糖苷。
Planta Med. 2018 Feb;84(3):201-207. doi: 10.1055/s-0043-119888. Epub 2017 Sep 26.

引用本文的文献

1
Salt-Adapted Microorganisms: A Promising Resource for Novel Anti-Cancer Drug Discovery.盐适应性微生物:新型抗癌药物发现的一个有前景的资源。
Mar Drugs. 2025 Jul 24;23(8):296. doi: 10.3390/md23080296.
2
Integrated genome mining and molecular networking uncover the biosynthetic potential of a novel mangrove-derived strain Streptomyces sp. B1866.整合基因组挖掘和分子网络揭示了一种源自红树林的新型链霉菌菌株Streptomyces sp. B1866的生物合成潜力。
BMC Genomics. 2025 Aug 20;26(1):762. doi: 10.1186/s12864-025-11966-3.
3
Diversity of secondary metabolites from marine Streptomyces with potential anti-tubercular activity: a review.

本文引用的文献

1
A discrete intermediate for the biosynthesis of both the enediyne core and the anthraquinone moiety of enediyne natural products.一种用于烯二炔天然产物的烯二炔核心和蒽醌部分生物合成的离散中间体。
Proc Natl Acad Sci U S A. 2023 Feb 28;120(9):e2220468120. doi: 10.1073/pnas.2220468120. Epub 2023 Feb 21.
2
Discovery of pentaene polyols by the activation of an enediyne gene cluster: biosynthetic implications for 9-membered enediyne core structures.通过激活烯二炔基因簇发现戊二烯多元醇:对九元烯二炔核心结构的生物合成意义
Chem Sci. 2022 Oct 31;13(45):13475-13481. doi: 10.1039/d2sc04379c. eCollection 2022 Nov 23.
3
具有潜在抗结核活性的海洋链霉菌次级代谢产物的多样性:综述
Arch Microbiol. 2025 Feb 17;207(3):64. doi: 10.1007/s00203-024-04233-8.
4
Advances in the Study of Halogenated Natural Products.卤代天然产物的研究进展
Curr Top Med Chem. 2025;25(10):1217-1250. doi: 10.2174/0115680266344796241211214414.
5
Genome mining for new enediyne antibiotics.新型烯二炔类抗生素的基因组挖掘
Curr Opin Chem Biol. 2024 Aug;81:102481. doi: 10.1016/j.cbpa.2024.102481. Epub 2024 Jun 24.
6
Tandocyclinones A and B, Ether Bridged -Glycosyl Benz[]anthracenes from an Intertidal Zone sp.环多西环素A和B,来自潮间带一种生物的醚桥连 - 糖基苯并[]蒽
Mar Drugs. 2023 Sep 21;21(9):500. doi: 10.3390/md21090500.
Targeted Discovery of an Enediyne-Derived Cycloaromatized Compound, Jejucarboside A, from a Marine Actinomycete.
从海洋放线菌中定向发现一种烯二炔衍生的环芳构化化合物——杰氏碳苷A。
Org Lett. 2022 Oct 7;24(39):7188-7193. doi: 10.1021/acs.orglett.2c02934. Epub 2022 Sep 27.
4
Antitumor Activity of Ohmyungsamycin A through the Regulation of the Skp2-p27 Axis and MCM4 in Human Colorectal Cancer Cells.Ohmyungsamycin A 通过调控 Skp2-p27 轴和 MCM4 对人结直肠癌细胞的抗肿瘤活性。
J Nat Prod. 2020 Jan 24;83(1):118-126. doi: 10.1021/acs.jnatprod.9b00918. Epub 2020 Jan 2.
5
Amycolamycins A and B, Two Enediyne-Derived Compounds from a Locust-Associated Actinomycete.艾米卡霉素 A 和 B,一种来自与蝗虫相关的放线菌的烯二炔衍生化合物。
Org Lett. 2017 Nov 17;19(22):6208-6211. doi: 10.1021/acs.orglett.7b03113. Epub 2017 Nov 1.
6
Enediynes: Exploration of microbial genomics to discover new anticancer drug leads.烯二炔类:探索微生物基因组学以发现新的抗癌药物先导物。
Bioorg Med Chem Lett. 2015 Jan 1;25(1):9-15. doi: 10.1016/j.bmcl.2014.11.019. Epub 2014 Nov 14.
7
Marine actinomycete sp. ISP2-49E, a new source of Rhamnolipid.海洋放线菌属菌株ISP2-49E,鼠李糖脂的新来源。
Biochem Syst Ecol. 2014 Aug 1;55:292-295. doi: 10.1016/j.bse.2014.03.015.
8
RAxML version 8: a tool for phylogenetic analysis and post-analysis of large phylogenies.RAxML 版本 8:用于系统发育分析和大型系统发育后分析的工具。
Bioinformatics. 2014 May 1;30(9):1312-3. doi: 10.1093/bioinformatics/btu033. Epub 2014 Jan 21.
9
Fijiolides A and B, inhibitors of TNF-alpha-induced NFkappaB activation, from a marine-derived sediment bacterium of the genus Nocardiopsis.斐济菌素 A 和 B,一种来源于海洋放线菌诺卡氏菌属的沉积物细菌,可抑制 TNF-α 诱导的 NFκB 激活。
J Nat Prod. 2010 Jun 25;73(6):1080-6. doi: 10.1021/np100087c.
10
Complexity and simplicity in the biosynthesis of enediyne natural products.烯二炔类天然产物生物合成中的复杂性与简洁性。
Nat Prod Rep. 2010 Apr;27(4):499-528. doi: 10.1039/b908165h. Epub 2010 Feb 18.