• 文献检索
  • 文档翻译
  • 深度研究
  • 学术资讯
  • Suppr Zotero 插件Zotero 插件
  • 邀请有礼
  • 套餐&价格
  • 历史记录
应用&插件
Suppr Zotero 插件Zotero 插件浏览器插件Mac 客户端Windows 客户端微信小程序
定价
高级版会员购买积分包购买API积分包
服务
文献检索文档翻译深度研究API 文档MCP 服务
关于我们
关于 Suppr公司介绍联系我们用户协议隐私条款
关注我们

Suppr 超能文献

核心技术专利:CN118964589B侵权必究
粤ICP备2023148730 号-1Suppr @ 2026

文献检索

告别复杂PubMed语法,用中文像聊天一样搜索,搜遍4000万医学文献。AI智能推荐,让科研检索更轻松。

立即免费搜索

文件翻译

保留排版,准确专业,支持PDF/Word/PPT等文件格式,支持 12+语言互译。

免费翻译文档

深度研究

AI帮你快速写综述,25分钟生成高质量综述,智能提取关键信息,辅助科研写作。

立即免费体验

和 巴西棕藻及其生物活性二萜——综述。

and Brazilian Brown Algae and Their Bioactive Diterpenes-A Review.

机构信息

Algamar Laboratory, Institute of Biology, Fluminense Federal University, Rua Prof. Frames Waldemar de Freitas Reis, Block M, São Domingos, Niterói 24210-201, RJ, Brazil.

出版信息

Mar Drugs. 2023 Sep 4;21(9):484. doi: 10.3390/md21090484.

DOI:10.3390/md21090484
PMID:37755097
原文链接:https://pmc.ncbi.nlm.nih.gov/articles/PMC10532921/
Abstract

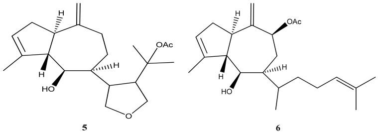
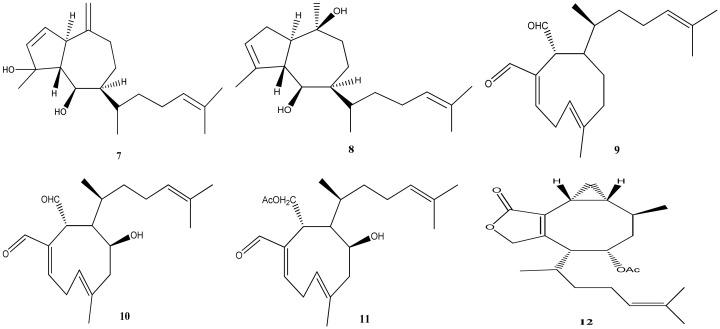
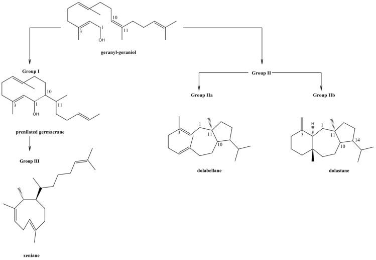
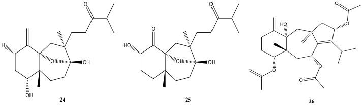
Dictyotaceae algae have gained recognition as prolific producers of diterpenes, which are molecules with significant biotechnological potential. These diterpenes hold immense promise as potential active drug components, making the algae a compelling area of study. The present review aims to present the latest advancements in understanding the biopotential of Brazilian Dictyota and Canistrocarpus brown algae, shedding light on the remarkable diversity and the biological and pharmacological potential of the secondary metabolites they produce. A total of 78 articles featuring 26 distinct diterpenes are reported in this review, with their antiviral potential being the mosthighlighted biological activity. Despite considerable research on these algae and their diterpenes, significant knowledge gaps persist. Consequently, the present review is poised to serve as a pivotal resource for researchers who are actively engaged in the pursuit of active diterpenes beyond the immediate purview. Furthermore, it holds the potential to catalyze an increase in research endeavors centered around these algal species within the geographical confines of the Brazilian coastline. Also, it assumes a critical role in directing future scientific explorations toward a better comprehension of these compounds and their ecological implications.

摘要

马尾藻科藻类已被公认为二萜类化合物的丰富生产者,这些化合物具有重要的生物技术潜力。这些二萜类化合物具有成为潜在活性药物成分的巨大潜力,使藻类成为一个引人关注的研究领域。本综述旨在介绍对巴西马尾藻和 Canistrocarpus 褐藻生物潜力的最新理解,阐明它们产生的次生代谢物的显著多样性以及生物和药理学潜力。本综述共报道了 78 篇文章,涉及 26 种不同的二萜类化合物,其中抗病毒活性是最突出的生物活性。尽管对这些藻类及其二萜类化合物进行了大量研究,但仍存在显著的知识空白。因此,本综述有望成为积极从事超越当前研究范围寻找活性二萜类化合物的研究人员的重要资源。此外,它还有潜力促进围绕这些藻类物种在巴西海岸线地理范围内开展更多的研究工作。它还在指导未来的科学探索方面发挥着关键作用,以更好地理解这些化合物及其生态影响。

https://cdn.ncbi.nlm.nih.gov/pmc/blobs/0fe9/10532921/06dcfb6047b0/marinedrugs-21-00484-g011.jpg
https://cdn.ncbi.nlm.nih.gov/pmc/blobs/0fe9/10532921/0eabd54c22bd/marinedrugs-21-00484-g001.jpg
https://cdn.ncbi.nlm.nih.gov/pmc/blobs/0fe9/10532921/3cb18d41d92f/marinedrugs-21-00484-g002.jpg
https://cdn.ncbi.nlm.nih.gov/pmc/blobs/0fe9/10532921/97a0f1164cfc/marinedrugs-21-00484-g003.jpg
https://cdn.ncbi.nlm.nih.gov/pmc/blobs/0fe9/10532921/1d2f25352142/marinedrugs-21-00484-g004.jpg
https://cdn.ncbi.nlm.nih.gov/pmc/blobs/0fe9/10532921/b72154f337b9/marinedrugs-21-00484-g005.jpg
https://cdn.ncbi.nlm.nih.gov/pmc/blobs/0fe9/10532921/f14c67b2ecf2/marinedrugs-21-00484-g006.jpg
https://cdn.ncbi.nlm.nih.gov/pmc/blobs/0fe9/10532921/0983fb8edf0e/marinedrugs-21-00484-g007.jpg
https://cdn.ncbi.nlm.nih.gov/pmc/blobs/0fe9/10532921/671d6ea692b3/marinedrugs-21-00484-g008.jpg
https://cdn.ncbi.nlm.nih.gov/pmc/blobs/0fe9/10532921/59e58cf6bb3f/marinedrugs-21-00484-g009.jpg
https://cdn.ncbi.nlm.nih.gov/pmc/blobs/0fe9/10532921/f1d0b9ce644d/marinedrugs-21-00484-g010.jpg
https://cdn.ncbi.nlm.nih.gov/pmc/blobs/0fe9/10532921/06dcfb6047b0/marinedrugs-21-00484-g011.jpg
https://cdn.ncbi.nlm.nih.gov/pmc/blobs/0fe9/10532921/0eabd54c22bd/marinedrugs-21-00484-g001.jpg
https://cdn.ncbi.nlm.nih.gov/pmc/blobs/0fe9/10532921/3cb18d41d92f/marinedrugs-21-00484-g002.jpg
https://cdn.ncbi.nlm.nih.gov/pmc/blobs/0fe9/10532921/97a0f1164cfc/marinedrugs-21-00484-g003.jpg
https://cdn.ncbi.nlm.nih.gov/pmc/blobs/0fe9/10532921/1d2f25352142/marinedrugs-21-00484-g004.jpg
https://cdn.ncbi.nlm.nih.gov/pmc/blobs/0fe9/10532921/b72154f337b9/marinedrugs-21-00484-g005.jpg
https://cdn.ncbi.nlm.nih.gov/pmc/blobs/0fe9/10532921/f14c67b2ecf2/marinedrugs-21-00484-g006.jpg
https://cdn.ncbi.nlm.nih.gov/pmc/blobs/0fe9/10532921/0983fb8edf0e/marinedrugs-21-00484-g007.jpg
https://cdn.ncbi.nlm.nih.gov/pmc/blobs/0fe9/10532921/671d6ea692b3/marinedrugs-21-00484-g008.jpg
https://cdn.ncbi.nlm.nih.gov/pmc/blobs/0fe9/10532921/59e58cf6bb3f/marinedrugs-21-00484-g009.jpg
https://cdn.ncbi.nlm.nih.gov/pmc/blobs/0fe9/10532921/f1d0b9ce644d/marinedrugs-21-00484-g010.jpg
https://cdn.ncbi.nlm.nih.gov/pmc/blobs/0fe9/10532921/06dcfb6047b0/marinedrugs-21-00484-g011.jpg

相似文献

1
and Brazilian Brown Algae and Their Bioactive Diterpenes-A Review.和 巴西棕藻及其生物活性二萜——综述。
Mar Drugs. 2023 Sep 4;21(9):484. doi: 10.3390/md21090484.
2
Diterpenes from the Marine Algae of the Genus Dictyota.二萜类化合物来自于 Dictyota 属的海洋藻类。
Mar Drugs. 2018 May 11;16(5):159. doi: 10.3390/md16050159.
3
The effects of the diterpenes isolated from the Brazilian brown algae Dictyota pfaffii and Dictyota menstrualis against the herpes simplex type-1 replicative cycle.从巴西产的褐藻 Dictyota pfaffii 和 Dictyota menstrualis 中分离得到的二萜类化合物对单纯疱疹病毒-1 复制周期的影响。
Planta Med. 2010 Mar;76(4):339-44. doi: 10.1055/s-0029-1186144. Epub 2009 Sep 17.
4
The Biodiversity of the Genus : Phytochemical and Pharmacological Natural Products Prospectives.属的生物多样性:植物化学和药理学天然产物的前景。
Molecules. 2022 Jan 20;27(3):672. doi: 10.3390/molecules27030672.
5
4α-Acetoxyamijidictyol - A New Antifeeding Dolastane Diterpene from the Brazilian Brown Alga Canistrocarpus cervicornis.4α-乙酰氧基阿米迪地醇——一种从巴西褐藻鹿角管栖藻中分离出的新型拒食多拉斯坦二萜。
Chem Biodivers. 2015 Nov;12(11):1665-77. doi: 10.1002/cbdv.201400410.
6
Diterpenes from the brown algae Dictyota dichotoma and Dictyota linearis.来自二叉网翼藻和线形网翼藻这两种褐藻的二萜类化合物。
Phytochemistry. 2004 Jul;65(14):2025-30. doi: 10.1016/j.phytochem.2004.06.018.
7
Diterpenes of marine brown algae of the family Dictyotaceae: their possible role as defense compounds and their use in chemotaxonomy.网地藻科海洋褐藻的二萜类化合物:其作为防御化合物的可能作用及其在化学分类学中的应用。
Sci Total Environ. 1986 Dec 15;58(1-2):109-15. doi: 10.1016/0048-9697(86)90081-1.
8
Anticoagulation and antiplatelet effects of a dolastane diterpene isolated from the marine brown alga Canistrocarpus cervicornis.从海洋褐藻角叉菜中分离得到的一种杜拉烷二萜的抗凝和抗血小板作用。
J Thromb Thrombolysis. 2011 Feb;31(2):235-40. doi: 10.1007/s11239-010-0545-6.
9
Diterpenes from the Brown Alga Dictyota crenulata.来自褐藻波状网翼藻的二萜类化合物。
Molecules. 2008 Jun 4;13(6):1253-62. doi: 10.3390/molecules13061253.
10
A screening method for cardiovascular active compounds in marine algae.一种海洋藻类中心血管活性化合物的筛选方法。
J Chromatogr A. 2018 May 18;1550:57-62. doi: 10.1016/j.chroma.2018.03.054. Epub 2018 Mar 28.

引用本文的文献

1
Brown Algae from San Andres Island, Southwest Caribbean: A Nuclear Magnetic Resonance Spectroscopy-Metabolomic Study.来自加勒比西南部圣安德烈斯岛的褐藻:一项核磁共振光谱代谢组学研究。
Metabolites. 2025 May 2;15(5):305. doi: 10.3390/metabo15050305.
2
Marine-Derived Diterpenes from 2019 to 2024: Structures, Biological Activities, Synthesis and Potential Applications.2019年至2024年海洋来源的二萜类化合物:结构、生物活性、合成及潜在应用
Mar Drugs. 2025 Feb 7;23(2):72. doi: 10.3390/md23020072.
3
Unlocking the Therapeutic Potential of Algae-Derived Compounds in Hematological Malignancies.

本文引用的文献

1
The first use of LC-MS/MS proteomic approach in the brown mussel Perna perna after bacterial challenge: Searching for key proteins on immune response.LC-MS/MS 蛋白质组学方法在细菌攻毒后贻贝中的首次应用:寻找免疫反应中的关键蛋白。
Fish Shellfish Immunol. 2023 Mar;134:108622. doi: 10.1016/j.fsi.2023.108622. Epub 2023 Feb 17.
2
Potential of diterpene compounds as antivirals, a review.二萜类化合物作为抗病毒药物的潜力,综述
Heliyon. 2021 Aug;7(8):e07777. doi: 10.1016/j.heliyon.2021.e07777. Epub 2021 Aug 12.
3
Marine natural products.海洋天然产物。
挖掘藻类衍生化合物在血液系统恶性肿瘤中的治疗潜力。
Cancers (Basel). 2025 Jan 20;17(2):318. doi: 10.3390/cancers17020318.
4
Abiotic Factors Modulating Metabolite Composition in Brown Algae (Phaeophyceae): Ecological Impacts and Opportunities for Bioprospecting of Bioactive Compounds.调节褐藻(褐藻纲)代谢物组成的非生物因素:生物活性化合物生物勘探的生态影响与机遇
Mar Drugs. 2024 Dec 2;22(12):544. doi: 10.3390/md22120544.
Nat Prod Rep. 2021 Mar 4;38(2):362-413. doi: 10.1039/d0np00089b.
4
Marine natural products.海洋天然产物。
Nat Prod Rep. 2020 Feb 26;37(2):175-223. doi: 10.1039/c9np00069k.
5
Diterpenes from the Marine Algae of the Genus Dictyota.二萜类化合物来自于 Dictyota 属的海洋藻类。
Mar Drugs. 2018 May 11;16(5):159. doi: 10.3390/md16050159.
6
Chemical Defense Against Diverse Coral-Reef Herbivores.针对多种珊瑚礁食草动物的化学防御
Ecology. 1987 Dec;68(6):1581-1591. doi: 10.2307/1939850.
7
Marine natural products.海洋天然产物。
Nat Prod Rep. 2018 Jan 16;35(1):8-53. doi: 10.1039/c7np00052a.
8
Subchronic toxicity and anti-HSV-1 activity in experimental animal of dolabelladienetriol from the seaweed, Dictyota pfaffii.来自海藻Pfaffii网翼藻的多拉贝拉二烯三醇在实验动物中的亚慢性毒性和抗单纯疱疹病毒1型活性。
Regul Toxicol Pharmacol. 2017 Jun;86:193-198. doi: 10.1016/j.yrtph.2017.03.007. Epub 2017 Mar 8.
9
4α-Acetoxyamijidictyol - A New Antifeeding Dolastane Diterpene from the Brazilian Brown Alga Canistrocarpus cervicornis.4α-乙酰氧基阿米迪地醇——一种从巴西褐藻鹿角管栖藻中分离出的新型拒食多拉斯坦二萜。
Chem Biodivers. 2015 Nov;12(11):1665-77. doi: 10.1002/cbdv.201400410.
10
Methanolic extracts from brown seaweeds Dictyota cilliolata and Dictyota menstrualis induce apoptosis in human cervical adenocarcinoma HeLa cells.来自棕色海藻睫毛网翼藻和月经网翼藻的甲醇提取物可诱导人宫颈腺癌HeLa细胞凋亡。
Molecules. 2015 Apr 13;20(4):6573-91. doi: 10.3390/molecules20046573.