• 文献检索
  • 文档翻译
  • 深度研究
  • 学术资讯
  • Suppr Zotero 插件Zotero 插件
  • 邀请有礼
  • 套餐&价格
  • 历史记录
应用&插件
Suppr Zotero 插件Zotero 插件浏览器插件Mac 客户端Windows 客户端微信小程序
定价
高级版会员购买积分包购买API积分包
服务
文献检索文档翻译深度研究API 文档MCP 服务
关于我们
关于 Suppr公司介绍联系我们用户协议隐私条款
关注我们

Suppr 超能文献

核心技术专利:CN118964589B侵权必究
粤ICP备2023148730 号-1Suppr @ 2026

文献检索

告别复杂PubMed语法,用中文像聊天一样搜索,搜遍4000万医学文献。AI智能推荐,让科研检索更轻松。

立即免费搜索

文件翻译

保留排版,准确专业,支持PDF/Word/PPT等文件格式,支持 12+语言互译。

免费翻译文档

深度研究

AI帮你快速写综述,25分钟生成高质量综述,智能提取关键信息,辅助科研写作。

立即免费体验

使用描述拒绝的人际场景评估早期适应不良模式与人际问题之间的关系。

Assessing the relationship between early maladaptive schemas and interpersonal problems using interpersonal scenarios depicting rejection.

机构信息

School of Psychology, University of New England, Armidale, New South Wales, Australia.

School of Psychology, Newcastle University, Newcastle upon Tyne, Tyne and Wear, England, United Kingdom.

出版信息

PLoS One. 2023 Oct 24;18(10):e0288543. doi: 10.1371/journal.pone.0288543. eCollection 2023.

DOI:10.1371/journal.pone.0288543
PMID:37874818
原文链接:https://pmc.ncbi.nlm.nih.gov/articles/PMC10597527/
Abstract

BACKGROUND

Early maladaptive schemas (EMSs) have been theorised to contribute to reoccurring interpersonal problems. This study developed a novel experimental paradigm that aimed to assess if EMSs moderate the impact of interpersonal situations on interpersonal responses by manipulating the degree of rejection in a series of interpersonal vignettes depicting acceptance, ambiguous rejection and rejection.

METHOD

In a sample of 158 first-year psychology students (27.2% male; 72.2% female; 0.6% other) participant responses to interpersonal scenarios were measured including degree of perceived rejection, emotional distress, conviction in varying cognitive appraisals consistent with attribution theory and behavioural responses to scenarios. Qualitative data was analysed using inductive content analysis and statistical analyses were conducted using multi-level mixed effect linear and logistic regression models using the software Jamovi.

RESULTS

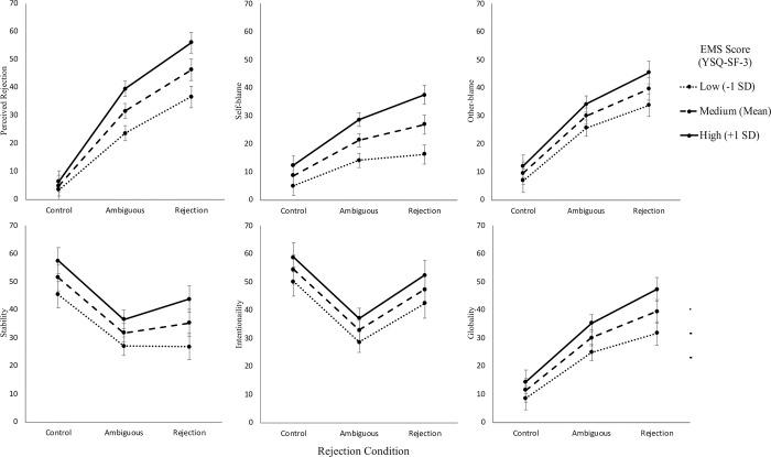
People reporting higher EMSs reported increased emotional distress (F(1, 156) = 24.85, p < .001), perceptions of rejection (F(1, 156) = 34.33, p < .001), self-blame (F(1, 156) = 53.25, p < .001), other-blame (F(1, 156) = 13.16, p < .001) and more intentional (F(1, 156) = 9.24, p = .003), stable (F(1, 156) = 25.22, p < .001) and global (F(1, 156) = 19.55, p < .001) attributions but no differences in reported behavioural responses. The results also supported that EMSs moderate the relationship between interpersonal rejection and perceptions of rejection (F(2, 1252) = 18.43, p < .001), emotional distress (F(2, 1252) = 12.64, p < .001) and self-blame (F(2, 1252) = 14.00, p < .001).

CONCLUSION

Together these findings suggest that people with EMSs experience increased distress and select negative cognitions in situations where there are higher levels of rejection but that distress and negative cognitions are generally higher in people with EMSs irrespective of the situation.

摘要

背景

早期适应不良模式(EMSs)被认为会导致人际问题的再次发生。本研究开发了一种新的实验范式,旨在通过在一系列描述接受、模棱两可的拒绝和拒绝的人际小插曲中操纵拒绝程度,来评估 EMSs 是否会调节人际情境对人际反应的影响。

方法

在一个由 158 名一年级心理学学生组成的样本中(27.2%为男性;72.2%为女性;0.6%为其他),参与者对人际情景的反应包括感知到的拒绝程度、情绪困扰、对归因理论一致的各种认知评估的信念以及对情景的行为反应。使用 Jamovi 软件,使用归纳内容分析对定性数据进行分析,并使用多级混合效应线性和逻辑回归模型进行统计分析。

结果

报告 EMSs 较高的人报告说情绪困扰增加(F(1, 156) = 24.85, p <.001)、感知到的拒绝(F(1, 156) = 34.33, p <.001)、自责(F(1, 156) = 53.25, p <.001)、他人指责(F(1, 156) = 13.16, p <.001)和更有意图的(F(1, 156) = 9.24, p =.003)、稳定的(F(1, 156) = 25.22, p <.001)和全局的(F(1, 156) = 19.55, p <.001)归因,但在报告的行为反应方面没有差异。结果还表明,EMSs 调节了人际拒绝与感知拒绝(F(2, 1252) = 18.43, p <.001)、情绪困扰(F(2, 1252) = 12.64, p <.001)和自责(F(2, 1252) = 14.00, p <.001)之间的关系。

结论

这些发现表明,EMSs 较高的人在拒绝程度较高的情况下会经历更多的痛苦,并选择消极的认知,但无论情境如何,EMSs 较高的人通常会经历更高的痛苦和消极认知。

https://cdn.ncbi.nlm.nih.gov/pmc/blobs/c78a/10597527/85ead8b24422/pone.0288543.g004.jpg
https://cdn.ncbi.nlm.nih.gov/pmc/blobs/c78a/10597527/545b160a49dc/pone.0288543.g001.jpg
https://cdn.ncbi.nlm.nih.gov/pmc/blobs/c78a/10597527/8a05e3ad8c63/pone.0288543.g002.jpg
https://cdn.ncbi.nlm.nih.gov/pmc/blobs/c78a/10597527/dcabdaaf6449/pone.0288543.g003.jpg
https://cdn.ncbi.nlm.nih.gov/pmc/blobs/c78a/10597527/85ead8b24422/pone.0288543.g004.jpg
https://cdn.ncbi.nlm.nih.gov/pmc/blobs/c78a/10597527/545b160a49dc/pone.0288543.g001.jpg
https://cdn.ncbi.nlm.nih.gov/pmc/blobs/c78a/10597527/8a05e3ad8c63/pone.0288543.g002.jpg
https://cdn.ncbi.nlm.nih.gov/pmc/blobs/c78a/10597527/dcabdaaf6449/pone.0288543.g003.jpg
https://cdn.ncbi.nlm.nih.gov/pmc/blobs/c78a/10597527/85ead8b24422/pone.0288543.g004.jpg

相似文献

1
Assessing the relationship between early maladaptive schemas and interpersonal problems using interpersonal scenarios depicting rejection.使用描述拒绝的人际场景评估早期适应不良模式与人际问题之间的关系。
PLoS One. 2023 Oct 24;18(10):e0288543. doi: 10.1371/journal.pone.0288543. eCollection 2023.
2
"You Blame Me, Therefore I Blame Me": The Importance of First Disclosure Partner Responses on Trauma-Related Cognitions and Distress.“你怪我,所以我也怪我”:初次披露对象的反应对创伤相关认知和痛苦的重要性。
J Interpers Violence. 2018 Apr;33(8):1260-1286. doi: 10.1177/0886260515615141. Epub 2015 Nov 23.
3
The relationship between early maladaptive schemas and interpersonal problems: A meta-analytic review.早期适应不良模式与人际问题的关系:一项元分析综述。
Clin Psychol Psychother. 2020 May;27(3):408-447. doi: 10.1002/cpp.2439. Epub 2020 Mar 21.
4
Self-blame attributions in relatives of people with recent-onset psychosis: Associations with relatives' distress and behavioural control.近期发病精神病患者亲属的自责归因:与亲属痛苦及行为控制的关联
Br J Clin Psychol. 2017 Jun;56(2):172-188. doi: 10.1111/bjc.12132. Epub 2017 Apr 11.
5
Individual Differences Associated with Emotional and Behavioral Responses to Ambiguous Social Situations in which Rejection Might be Inferred.与对可能推断出被拒绝的模糊社交情境的情绪和行为反应相关的个体差异。
J Gen Psychol. 2016 Oct-Dec;143(4):298-310. doi: 10.1080/00221309.2016.1214102.
6
Early maladaptive schemas as mediators between childhood maltreatment and later psychological distress among Chinese college students.早期适应不良模式在童年期虐待与中国大学生后期心理困扰之间的中介作用。
Psychiatry Res. 2018 Jan;259:493-500. doi: 10.1016/j.psychres.2017.11.019. Epub 2017 Nov 8.
7
Rejection in romantic relationships: Does rejection sensitivity modulate emotional responses to perceptions of negative interactions?恋爱关系中的拒绝:拒绝敏感性是否会调节对负面互动感知的情绪反应?
BMC Psychol. 2024 Jun 25;12(1):365. doi: 10.1186/s40359-024-01864-w.
8
Childhood emotional maltreatment and later psychological distress among college students: the mediating role of maladaptive schemas.童年期情感虐待与大学生后期心理困扰:适应不良图式的中介作用
Child Abuse Negl. 2009 Jan;33(1):59-68. doi: 10.1016/j.chiabu.2008.12.007. Epub 2009 Jan 23.
9
Exploring the Associations Between Early Maladaptive Schemas and Interpersonal Attraction: A Cross-Sectional Study Among Lebanese Female University Students.探索早期适应不良图式与人际吸引力之间的关联:黎巴嫩女大学生的横断面研究。
J Psychol. 2025;159(5):374-387. doi: 10.1080/00223980.2024.2409921. Epub 2024 Oct 16.
10
Early maladaptive cognitive schemas in child sexual offenders compared with sexual offenders against adults and nonsexual violent offenders: an exploratory study.儿童性犯罪者与成年人性犯罪者和非性暴力犯罪者的早期适应不良认知模式比较:一项探索性研究。
J Sex Med. 2013 Sep;10(9):2201-10. doi: 10.1111/jsm.12171. Epub 2013 May 1.

引用本文的文献

1
Validation of the schema coping inventory for dysfunctional coping strategies.功能失调应对策略的图式应对量表的验证
Front Psychol. 2024 Nov 27;15:1441794. doi: 10.3389/fpsyg.2024.1441794. eCollection 2024.

本文引用的文献

1
Accounting for Heteroskedasticity Resulting from Between-Group Differences in Multilevel Models.在多层次模型中,由于组间差异而产生的异方差性的处理。
Multivariate Behav Res. 2023 May-Jun;58(3):637-657. doi: 10.1080/00273171.2022.2077290. Epub 2022 Jun 10.
2
Early maladaptive schemas and depression in adulthood: A systematic review and meta-analysis.早期适应不良模式与成年人抑郁症:系统评价和荟萃分析。
Clin Psychol Psychother. 2022 Jan;29(1):111-130. doi: 10.1002/cpp.2630. Epub 2021 Jul 16.
3
The effects of the activation of hostile and non-hostile schemas on intent attribution processes in non-aggressive individuals: An ERP study.
敌对和非敌对图式激活对非攻击个体意图归因过程的影响:一项 ERP 研究。
Soc Neurosci. 2021 Apr;16(2):206-219. doi: 10.1080/17470919.2021.1888790. Epub 2021 Feb 25.
4
Early maladaptive schemas and intimate partner violence victimization and perpetration: A systematic review and meta-analysis.早期适应不良模式与亲密伴侣暴力受害和施暴:系统评价和荟萃分析。
Clin Psychol Psychother. 2021 Sep;28(5):1030-1042. doi: 10.1002/cpp.2558. Epub 2021 Feb 5.
5
Interpersonal dysfunction and treatment outcome in GAD: A systematic review.广泛性焦虑障碍中的人际功能障碍与治疗结果:一项系统评价。
J Anxiety Disord. 2020 Dec;76:102310. doi: 10.1016/j.janxdis.2020.102310. Epub 2020 Sep 16.
6
The relationship between early maladaptive schemas and interpersonal problems: A meta-analytic review.早期适应不良模式与人际问题的关系:一项元分析综述。
Clin Psychol Psychother. 2020 May;27(3):408-447. doi: 10.1002/cpp.2439. Epub 2020 Mar 21.
7
Effects of rejection intensity and rejection sensitivity on social approach behavior in women.排斥强度和排斥敏感性对女性社会接近行为的影响。
PLoS One. 2020 Jan 17;15(1):e0227799. doi: 10.1371/journal.pone.0227799. eCollection 2020.
8
Social Anxiety and Pro-social Behavior Following Varying Degrees of Rejection: Piloting a New Experimental Paradigm.不同程度拒绝后的社交焦虑和亲社会行为:一种新实验范式的初步试验
Front Psychol. 2019 Jun 21;10:1325. doi: 10.3389/fpsyg.2019.01325. eCollection 2019.
9
Effects of Rejection by a Friend for Someone Else on Emotions and Behavior.因他人而被朋友拒绝对情绪和行为的影响。
Front Psychol. 2019 Apr 9;10:764. doi: 10.3389/fpsyg.2019.00764. eCollection 2019.
10
Moderation analysis in two-instance repeated measures designs: Probing methods and multiple moderator models.两实例重复测量设计中的调节分析:探测方法和多个调节模型。
Behav Res Methods. 2019 Feb;51(1):61-82. doi: 10.3758/s13428-018-1088-6.