Suppr超能文献

基于硬葡聚糖的泡沫材料,掺入回收的硬质聚氨酯废料用于新型保温材料生产。

Scleroglucan-Based Foam Incorporating Recycled Rigid Polyurethane Waste for Novel Insulation Material Production.

作者信息

Cozzarini Luca, Marsich Lucia, Ferluga Alessio

机构信息

Department of Engineering and Architecture, University of Trieste, Via Valerio 10, I-34127 Trieste, Italy.

MaterialScan S.r.l., Via Capodistria 28, I-34145 Trieste, Italy.

出版信息

Polymers (Basel). 2024 May 10;16(10):1360. doi: 10.3390/polym16101360.

Abstract

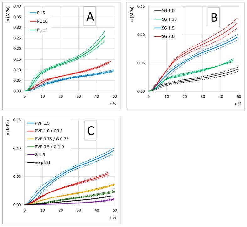
This study details the synthesis and performance evaluation of a novel lightweight thermal and acoustic insulation material, resulting from the combination of a scleroglucan-based hydrogel and recycled rigid polyurethane waste powder. Through a sublimation-driven water-removal process, a porous three-dimensional network structure is formed, showcasing notable thermal and acoustic insulation properties. Experimental data are presented to highlight the material's performance, including comparisons with commercially available mineral wool and polymeric foams. This material versatility is demonstrated through tunable mechanical, thermal and acoustic characteristics, achieved by strategically adjusting the concentration of the biopolymer and additives. This adaptability positions the material as a promising candidate for different insulation applications. Addressing environmental concerns related to rigid polyurethane waste disposal, the study contributes to the circular economy.

摘要

本研究详细介绍了一种新型轻质隔热隔音材料的合成与性能评估,该材料由基于硬葡聚糖的水凝胶和回收的硬质聚氨酯废粉组合而成。通过升华驱动的脱水过程,形成了多孔三维网络结构,展现出显著的隔热隔音性能。文中给出了实验数据以突出该材料的性能,包括与市售矿棉和聚合物泡沫的比较。通过策略性地调整生物聚合物和添加剂的浓度,实现了可调节的机械、热学和声学特性,证明了该材料的多功能性。这种适应性使该材料成为不同隔热应用的有前途的候选材料。该研究解决了与硬质聚氨酯废物处理相关的环境问题,为循环经济做出了贡献。

https://cdn.ncbi.nlm.nih.gov/pmc/blobs/34cf/11125041/18075e7708eb/polymers-16-01360-g001.jpg

文献检索

告别复杂PubMed语法,用中文像聊天一样搜索,搜遍4000万医学文献。AI智能推荐,让科研检索更轻松。

立即免费搜索

文件翻译

保留排版,准确专业,支持PDF/Word/PPT等文件格式,支持 12+语言互译。

免费翻译文档

深度研究

AI帮你快速写综述,25分钟生成高质量综述,智能提取关键信息,辅助科研写作。

立即免费体验