• 文献检索
  • 文档翻译
  • 深度研究
  • 学术资讯
  • Suppr Zotero 插件Zotero 插件
  • 邀请有礼
  • 套餐&价格
  • 历史记录
应用&插件
Suppr Zotero 插件Zotero 插件浏览器插件Mac 客户端Windows 客户端微信小程序
定价
高级版会员购买积分包购买API积分包
服务
文献检索文档翻译深度研究API 文档MCP 服务
关于我们
关于 Suppr公司介绍联系我们用户协议隐私条款
关注我们

Suppr 超能文献

核心技术专利:CN118964589B侵权必究
粤ICP备2023148730 号-1Suppr @ 2026

文献检索

告别复杂PubMed语法,用中文像聊天一样搜索,搜遍4000万医学文献。AI智能推荐,让科研检索更轻松。

立即免费搜索

文件翻译

保留排版,准确专业,支持PDF/Word/PPT等文件格式,支持 12+语言互译。

免费翻译文档

深度研究

AI帮你快速写综述,25分钟生成高质量综述,智能提取关键信息,辅助科研写作。

立即免费体验

益生菌和酪蛋白补充对男性足球运动员有氧能力参数的影响。

The effect of probiotics and casein supplementation on aerobic capacity parameters of male soccer players.

机构信息

Shiraz University, Department of Sport Science, Faculty of Education and Psychology, Shiraz, Iran.

出版信息

J Int Soc Sports Nutr. 2024 Dec;21(1):2382165. doi: 10.1080/15502783.2024.2382165. Epub 2024 Jul 22.

DOI:10.1080/15502783.2024.2382165
PMID:39039903
原文链接:https://pmc.ncbi.nlm.nih.gov/articles/PMC11268215/
Abstract

BACKGROUND

In the realm of sports science, nutrition is a well-established pillar for athletes' training, performance, and post-workout recovery. However, the role of gut microbiota, often overlooked, is a novel and intriguing aspect that can significantly impact athletic performance. With this in mind, our study ventures into uncharted territory, investigating the effect of probiotic and casein supplementation on the aerobic capacity of male soccer players.

METHOD

A double-blinded and placebo-controlled study was conducted with 44 male soccer players (Age: 22.81 ± 2.76 yr, Height: 177.90 ± 6.75 cm, Weight: 67.42 ± 8.44 kg). The participants were subjected to the Bruce test in the beginning; then, they were randomly divided into four groups, each consisting of 11 people: probiotics (PRO), casein (CAS), probiotics with casein (PRO+CAS), and placebo (PLA). PRO group was given one probiotic capsule (containing strains of BP06, Lacticaseibacillus casei BP07, BA05, BD08 , BI04, BL03, BB02 and BT01, with a total dose of 4.5 × 10 CFU) during dinner, while the CAS group consumed 20 grams of casein powder 45 minutes before bed. The PRO+CAS group was given one probiotic capsule during dinner and 20 grams of casein powder 45 minutes before bed. The participants in the PLA group were given one red capsule (containing 5 grams of starch) during dinner. All participants were instructed to take the supplements only on training days, three times a week for four weeks. The maximal oxygen consumption (VO), Ventilatory Threshold (VT), Time-to-exhaustion (TTE), Respiratory Compensation Point (RCP), Isocapnic area Time (Time-IC), Isocapnic area oxygen consumption (VO-IC), and Hypocapnic Hyperventilation area Time (Time-HHV), after the Bruce test were Measured. All data were analyzed using SPSS Windows software, mixed repeated measure ANOVA, and Bonferroni post hoc test at  < 0.05 level.

RESULTS

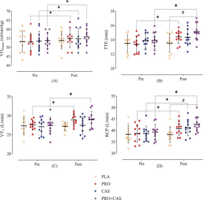
The current study's findings illustrated that, after the intervention, TTE ( = 0.01) and RCP ( = 0.01) were significantly improved in PRO+CAS compared to the PLA group. No significant difference was observed between PRO and PLA ( = 0.52), PRO and CAS ( = 0.999), PRO and PRO+CAS ( = 0.9), CAS and PLA ( = 0.65), CAS and PRO+CAS ( = 0.73) in TTE. In addition, no significant difference was observed between PRO and CAS ( = 0.999), PRO and PLA ( = 0.40), PRO and PRO+CAS ( = 0.999), CAS and PLA ( = 0.263), CAS and PRO+CAS ( = 0.999) in RCP. Time-HHV was significantly higher in PRO+CAS ( = 0.000) and CAS ( = 0.047) compared to the PLA group. However, no significant difference was observed in the Time-HHV between PRO and CAS ( = 0.999), PRO and PRO+CAS ( = 0.25), PRO and PLA ( = 0.12), and CAS and PRO+CAS ( = 0.57). Additionally, all the groups had no significant differences in VO, VT1, VO-IC and Time-IC.

CONCLUSION

The findings showed that consuming probiotics and casein could relatively improve the aerobic capacity of male soccer players. Nevertheless, simultaneous consumption of probiotics and casein had a more pronounced effect on aerobic capacity indicators, especially TTE and Time-HHV.

摘要

背景

在运动科学领域,营养是运动员训练、表现和锻炼后恢复的重要支柱。然而,肠道微生物群常常被忽视,它是一个新颖而有趣的方面,可以显著影响运动员的表现。考虑到这一点,我们的研究进入了未知领域,调查益生菌和乳清蛋白补充剂对男性足球运动员有氧能力的影响。

方法

我们进行了一项双盲、安慰剂对照的研究,共有 44 名男性足球运动员(年龄:22.81±2.76 岁,身高:177.90±6.75cm,体重:67.42±8.44kg)参与。参与者在开始时进行布鲁斯测试;然后,他们被随机分为四组,每组 11 人:益生菌(PRO)、乳清蛋白(CAS)、益生菌加乳清蛋白(PRO+CAS)和安慰剂(PLA)。PRO 组在晚餐时服用一粒益生菌胶囊(含有 BP06、Lacticaseibacillus casei BP07、BA05、BD08、BI04、BL03、BB02 和 BT01 菌株,总剂量为 4.5×10 CFU),而 CAS 组在睡前 45 分钟内消耗 20 克乳清蛋白粉。PRO+CAS 组在晚餐时服用一粒益生菌胶囊,睡前 45 分钟内消耗 20 克乳清蛋白粉。PLA 组的参与者在晚餐时服用一粒红色胶囊(含 5 克淀粉)。所有参与者均被指示仅在训练日服用补充剂,每周三次,持续四周。在布鲁斯测试后测量最大摄氧量(VO)、通气阈(VT)、耗竭时间(TTE)、呼吸补偿点(RCP)、等碳酸化时间(Time-IC)、等碳酸化氧耗(VO-IC)和低碳酸血症过度通气区时间(Time-HHV)。使用 SPSS Windows 软件、混合重复测量 ANOVA 和 Bonferroni 事后检验进行数据分析,显著性水平为 <0.05。

结果

本研究结果表明,干预后,PRO+CAS 组的 TTE( = 0.01)和 RCP( = 0.01)明显优于 PLA 组。PRO 与 PLA( = 0.52)、PRO 与 CAS( = 0.999)、PRO 与 PRO+CAS( = 0.9)、CAS 与 PLA( = 0.65)、CAS 与 PRO+CAS( = 0.73)之间的 TTE 无显著差异。此外,PRO 与 CAS( = 0.999)、PRO 与 PLA( = 0.40)、PRO 与 PRO+CAS( = 0.999)、CAS 与 PLA( = 0.263)、CAS 与 PRO+CAS( = 0.999)之间的 RCP 无显著差异。PRO+CAS( = 0.000)和 CAS( = 0.047)组的 Time-HHV 明显高于 PLA 组。然而,PRO 与 CAS( = 0.999)、PRO 与 PRO+CAS( = 0.25)、PRO 与 PLA( = 0.12)和 CAS 与 PRO+CAS( = 0.57)之间的 Time-HHV 无显著差异。此外,所有组在 VO、VT1、VO-IC 和 Time-IC 方面均无显著差异。

结论

研究结果表明,摄入益生菌和乳清蛋白可以相对提高男性足球运动员的有氧能力。然而,同时摄入益生菌和乳清蛋白对有氧能力指标,特别是 TTE 和 Time-HHV,有更显著的影响。

https://cdn.ncbi.nlm.nih.gov/pmc/blobs/6e7b/11268215/fe52ecf552e5/RSSN_A_2382165_F0005_OC.jpg
https://cdn.ncbi.nlm.nih.gov/pmc/blobs/6e7b/11268215/e0092bf14dbc/RSSN_A_2382165_F0001_OC.jpg
https://cdn.ncbi.nlm.nih.gov/pmc/blobs/6e7b/11268215/0fd8c7b5ba6f/RSSN_A_2382165_F0002_B.jpg
https://cdn.ncbi.nlm.nih.gov/pmc/blobs/6e7b/11268215/2f8acf074aea/RSSN_A_2382165_F0003_OC.jpg
https://cdn.ncbi.nlm.nih.gov/pmc/blobs/6e7b/11268215/db4a1d77ddf1/RSSN_A_2382165_F0004_OC.jpg
https://cdn.ncbi.nlm.nih.gov/pmc/blobs/6e7b/11268215/fe52ecf552e5/RSSN_A_2382165_F0005_OC.jpg
https://cdn.ncbi.nlm.nih.gov/pmc/blobs/6e7b/11268215/e0092bf14dbc/RSSN_A_2382165_F0001_OC.jpg
https://cdn.ncbi.nlm.nih.gov/pmc/blobs/6e7b/11268215/0fd8c7b5ba6f/RSSN_A_2382165_F0002_B.jpg
https://cdn.ncbi.nlm.nih.gov/pmc/blobs/6e7b/11268215/2f8acf074aea/RSSN_A_2382165_F0003_OC.jpg
https://cdn.ncbi.nlm.nih.gov/pmc/blobs/6e7b/11268215/db4a1d77ddf1/RSSN_A_2382165_F0004_OC.jpg
https://cdn.ncbi.nlm.nih.gov/pmc/blobs/6e7b/11268215/fe52ecf552e5/RSSN_A_2382165_F0005_OC.jpg

相似文献

1
The effect of probiotics and casein supplementation on aerobic capacity parameters of male soccer players.益生菌和酪蛋白补充对男性足球运动员有氧能力参数的影响。
J Int Soc Sports Nutr. 2024 Dec;21(1):2382165. doi: 10.1080/15502783.2024.2382165. Epub 2024 Jul 22.
2
The effect of repeated coffee mouth rinsing and caffeinated gum consumption on aerobic capacity and explosive power of table tennis players: a randomized, double-blind, placebo-controlled, crossover study.重复咖啡漱口和食用含咖啡因口香糖对乒乓球运动员有氧能力和爆发力的影响:一项随机、双盲、安慰剂对照的交叉研究。
J Int Soc Sports Nutr. 2024 Dec;21(1):2340556. doi: 10.1080/15502783.2024.2340556. Epub 2024 Apr 11.
3
Probiotic Supplements Beneficially Affect Tryptophan-Kynurenine Metabolism and Reduce the Incidence of Upper Respiratory Tract Infections in Trained Athletes: A Randomized, Double-Blinded, Placebo-Controlled Trial.益生菌补充剂有益地影响色氨酸-犬尿氨酸代谢并降低训练有素的运动员上呼吸道感染的发生率:一项随机、双盲、安慰剂对照试验。
Nutrients. 2016 Nov 23;8(11):752. doi: 10.3390/nu8110752.
4
Effects of chronic betaine supplementation on performance in professional young soccer players during a competitive season: a double blind, randomized, placebo-controlled trial.慢性甜菜碱补充对职业年轻足球运动员在竞争赛季中表现的影响:一项双盲、随机、安慰剂对照试验。
J Int Soc Sports Nutr. 2021 Oct 18;18(1):67. doi: 10.1186/s12970-021-00464-y.
5
Probiotic Therapy With VSL#3 in Patients With NAFLD: A Randomized Clinical Trial.VSL#3益生菌疗法治疗非酒精性脂肪性肝病患者:一项随机临床试验。
Front Nutr. 2022 May 24;9:846873. doi: 10.3389/fnut.2022.846873. eCollection 2022.
6
A randomized double-blind placebo-controlled trial of probiotics in post-surgical colorectal cancer.益生菌治疗结直肠癌术后随机双盲安慰剂对照临床试验。
BMC Gastroenterol. 2019 Jul 24;19(1):131. doi: 10.1186/s12876-019-1047-4.
7
Effect of multispecies probiotic supplements on metabolic profiles, hs-CRP, and oxidative stress in patients with type 2 diabetes.多菌种益生菌补充剂对 2 型糖尿病患者代谢谱、hs-CRP 和氧化应激的影响。
Ann Nutr Metab. 2013;63(1-2):1-9. doi: 10.1159/000349922. Epub 2013 Jul 5.
8
The effect of probiotic supplementation on performance, inflammatory markers and gastro-intestinal symptoms in elite road cyclists.补充益生菌对精英公路自行车运动员的表现、炎症标志物和胃肠道症状的影响。
J Int Soc Sports Nutr. 2021 May 17;18(1):36. doi: 10.1186/s12970-021-00432-6.
9
Effects of Probiotics on Anxiety, Stress, Mood and Fitness of Badminton Players.益生菌对羽毛球运动员焦虑、压力、情绪和健康的影响。
Nutrients. 2021 May 24;13(6):1783. doi: 10.3390/nu13061783.
10
Boosting Recovery: Omega-3 and Whey Protein Enhance Strength and Ease Muscle Soreness in Female Futsal Players.促进恢复:欧米伽-3和乳清蛋白增强女子五人制足球运动员的力量并缓解肌肉酸痛
Nutrients. 2024 Dec 11;16(24):4263. doi: 10.3390/nu16244263.

引用本文的文献

1
Probiotic supplementation for optimizing athletic performance: current evidence and future perspectives for microbiome-based strategies.补充益生菌以优化运动表现:基于微生物组策略的当前证据和未来展望。
Front Nutr. 2025 Jul 15;12:1572687. doi: 10.3389/fnut.2025.1572687. eCollection 2025.
2
Synergistic Effects of Probiotic and Omega-3 Supplementation with Ultra-Short Race Pace Training on Sprint Swimming Performance.益生菌和ω-3补充剂与超短距离配速训练对短距离游泳成绩的协同作用。
Nutrients. 2025 Jul 11;17(14):2296. doi: 10.3390/nu17142296.
3
The effect of probiotic supplementation combined with aerobic exercise on the antioxidant capacity of college students.

本文引用的文献

1
The Ratio of Oxygen Uptake From Ventilatory Anaerobic Threshold to Respiratory Compensation Point Is Maintained During Incremental Exercise in Older Adults.老年人在递增运动过程中,通气无氧阈摄氧量与呼吸补偿点的比值保持稳定。
Front Physiol. 2022 Mar 3;13:769387. doi: 10.3389/fphys.2022.769387. eCollection 2022.
2
GBI-30, 6086 improves amino acid absorption from milk protein.GBI-30,6086可改善牛奶蛋白中氨基酸的吸收。
Nutr Metab (Lond). 2020 Oct 23;17:93. doi: 10.1186/s12986-020-00515-2. eCollection 2020.
3
Pre-sleep casein protein ingestion: new paradigm in post-exercise recovery nutrition.
补充益生菌联合有氧运动对大学生抗氧化能力的影响。
Front Physiol. 2025 Jun 2;16:1586888. doi: 10.3389/fphys.2025.1586888. eCollection 2025.
4
Pre-sleep casein ingestion with probiotic strains improves anaerobic power and lower-body-specific strength and power performance in soccer players.睡前摄入含益生菌菌株的酪蛋白可提高足球运动员的无氧能力以及下半身特定的力量和功率表现。
J Int Soc Sports Nutr. 2025 Dec;22(1):2505184. doi: 10.1080/15502783.2025.2505184. Epub 2025 May 12.
5
From Gut to Skeletal Muscle: Synergistic Effects of Probiotics and Spirulina Supplementation on Soccer Players' Performance and Body Composition.从肠道到骨骼肌:补充益生菌和螺旋藻对足球运动员表现和身体成分的协同作用。
Probiotics Antimicrob Proteins. 2025 May 9. doi: 10.1007/s12602-025-10579-2.
6
Psychobiotics Ameliorate Depression and Anxiety Status in Surgical Oncology Patients: Results from the Study.精神益生菌改善外科肿瘤患者的抑郁和焦虑状态:研究结果
Nutrients. 2025 Feb 28;17(5):857. doi: 10.3390/nu17050857.
7
Low-Dose Caffeine Supplementation Is a Valuable Strategy for Increasing Time to Exhaustion, Explosive Power, and Reducing Muscle Soreness in Professional Male Kickboxers.低剂量补充咖啡因是一项有价值的策略,可延长职业男性踢拳手的力竭时间、提高爆发力并减轻肌肉酸痛。
Curr Dev Nutr. 2024 Dec 21;9(1):104538. doi: 10.1016/j.cdnut.2024.104538. eCollection 2025 Jan.
睡前摄入酪蛋白:运动后恢复营养的新范式。
Phys Act Nutr. 2020 Jun 30;24(2):6-10. doi: 10.20463/pan.2020.0009.
4
Gut-Muscle AxisExists and May Affect Skeletal Muscle Adaptation to Training.肠-肌肉轴的存在及其对骨骼肌适应训练的影响。
Nutrients. 2020 May 18;12(5):1451. doi: 10.3390/nu12051451.
5
Probiotic Administration Increases Amino Acid Absorption from Plant Protein: a Placebo-Controlled, Randomized, Double-Blind, Multicenter, Crossover Study.益生菌干预可增加植物蛋白氨基酸吸收:一项安慰剂对照、随机、双盲、多中心、交叉研究。
Probiotics Antimicrob Proteins. 2020 Dec;12(4):1330-1339. doi: 10.1007/s12602-020-09656-5.
6
International Society of Sports Nutrition Position Stand: Probiotics.国际运动营养学会立场声明:益生菌。
J Int Soc Sports Nutr. 2019 Dec 21;16(1):62. doi: 10.1186/s12970-019-0329-0.
7
Macronutrient Intake in Soccer Players-A Meta-Analysis.足球运动员宏量营养素摄入的荟萃分析。
Nutrients. 2019 Jun 9;11(6):1305. doi: 10.3390/nu11061305.
8
The proinflammatory effects of chronic excessive exercise.慢性过度运动的促炎作用。
Cytokine. 2019 Jul;119:57-61. doi: 10.1016/j.cyto.2019.02.016. Epub 2019 Mar 15.
9
The Beneficial Effects of Lactobacillus plantarum PS128 on High-Intensity, Exercise-Induced Oxidative Stress, Inflammation, and Performance in Triathletes.植物乳杆菌 PS128 对高强度运动诱导的氧化应激、炎症和运动员表现的有益影响。
Nutrients. 2019 Feb 7;11(2):353. doi: 10.3390/nu11020353.
10
Nutrition-Related Considerations in Soccer: A Review.足球运动中与营养相关的考量:综述
Am J Orthop (Belle Mead NJ). 2018 Dec;47(12). doi: 10.12788/ajo.2018.0100.