Suppr超能文献

数字气味设备 20:一种自动化、自我管理的气味识别测试。

The digital scent device 20: an automated, self-administered odor identification test.

机构信息

Smell and Taste Clinic, Department of Otorhinolaryngology, TU Dresden, Dresden, Germany.

NOAR, Sao Paulo, Brazil.

出版信息

Eur Arch Otorhinolaryngol. 2024 Dec;281(12):6661-6668. doi: 10.1007/s00405-024-08887-4. Epub 2024 Aug 29.

Abstract

PURPOSE

Assessing olfactory function is highly significant in clinical practice, particularly in the context of the recent COVID-19 pandemic. Recent approaches in this field emphasize the importance of reducing the time and cost devoted to olfactory testing procedures. Hence, the aim of the present study was to examine the reliability and basic characteristics of Digital Scent Device 20 (DSD-20), an innovative olfactory test consisting of 20 "universal odors", in a European population.

METHODS

A total of 88 participants (mean age = 45.1, SD = 20.3) volunteered for the study. The sample consisted of 37 normosmic controls and 51 dysosmic patients.

RESULTS

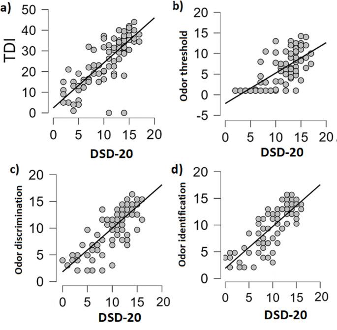
The correlation between DSD-20 and the total score in Sniffin' Sticks was high (TDI; R = .80, p < .001), and the test correlated with the individual components of the Sniffin' Sticks test. Furthermore, the correlation coefficient between DSD-20 test and retest was very high (R = .88, p < .001), which was additionally confirmed by a Bland-Altman plot. Essential characteristics of the DSD-20 are its simplicity in self-administration, speed of application, portability, and the fact that it can be reused.

CONCLUSION

Overall, the present study confirms previous notions on DSD-20 by demonstrating its high reliability and usefulness in separating patients with hyposmia/anosmia and normosmic controls.

摘要

目的

评估嗅觉功能在临床实践中具有重要意义,特别是在最近的 COVID-19 大流行背景下。该领域的最新方法强调了减少用于嗅觉测试程序的时间和成本的重要性。因此,本研究旨在检查由 20 种“通用气味”组成的新型嗅觉测试 Digital Scent Device 20(DSD-20)在欧洲人群中的可靠性和基本特征。

方法

共有 88 名参与者(平均年龄 45.1,标准差 20.3)自愿参加了这项研究。该样本由 37 名嗅觉正常的对照者和 51 名嗅觉障碍的患者组成。

结果

DSD-20 与 Sniffin' Sticks 的总得分高度相关(TDI;R =.80,p <.001),并且该测试与 Sniffin' Sticks 测试的各个组成部分相关。此外,DSD-20 测试与复测之间的相关系数非常高(R =.88,p <.001),这也得到了 Bland-Altman 图的进一步证实。DSD-20 的基本特征是其自我管理的简单性、应用速度、便携性以及可以重复使用的特点。

结论

总的来说,本研究通过证明 DSD-20 在区分嗅觉减退/嗅觉丧失患者和嗅觉正常对照者方面具有高度可靠性和实用性,证实了之前对 DSD-20 的认识。

https://cdn.ncbi.nlm.nih.gov/pmc/blobs/965a/11564298/e39d62fccc05/405_2024_8887_Fig1_HTML.jpg

文献检索

告别复杂PubMed语法,用中文像聊天一样搜索,搜遍4000万医学文献。AI智能推荐,让科研检索更轻松。

立即免费搜索

文件翻译

保留排版,准确专业,支持PDF/Word/PPT等文件格式,支持 12+语言互译。

免费翻译文档

深度研究

AI帮你快速写综述,25分钟生成高质量综述,智能提取关键信息,辅助科研写作。

立即免费体验