Suppr超能文献

海绵源二萜类化合物研究进展:2009-2022 年。

A Review of Sponge-Derived Diterpenes: 2009-2022.

机构信息

Key Laboratory of Marine Biogenetic Resources, Third Institute of Oceanography, Ministry of Natural Resources, Xiamen 361005, China.

Department of Pharmacy, NO. 971 Hospital of the People's Liberation Army Navy, Qingdao 266000, China.

出版信息

Mar Drugs. 2024 Sep 28;22(10):447. doi: 10.3390/md22100447.

Abstract

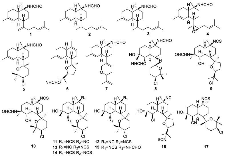
Sponges are a vital source of pharmaceutically active secondary metabolites, of which the main structural types are alkaloids and terpenoids. Many of these compounds exhibit biological activities. Focusing specifically on diterpenoids, this article reviews the structures and biological activities of 228 diterpenes isolated from more than 33 genera of sponges from 2009 to 2022. The sponges produce the most diterpenoid molecules among all genera, accounting for 27%. Of the 228 molecules, 110 exhibit cytotoxic, antibacterial, antifungal, antiparasitic, anti-inflammatory, and antifouling activities, among others. The most prevalent activity is cytotoxicity, present in 54 molecules, which represent 24% of the diterpenes reported. These structurally and biologically diverse diterpenoids highlight the vast, yet largely untapped, potential of marine sponges in the discovery of new bioactive molecules for medicinal use.

摘要

海绵是具有药用活性的次生代谢产物的重要来源,其中主要的结构类型是生物碱和萜类化合物。这些化合物中的许多都具有生物活性。本文主要关注二萜类化合物,综述了 2009 年至 2022 年间从 33 个属的 33 个属的海绵中分离得到的 228 种二萜的结构和生物活性。海绵在所有属中产生最多的二萜分子,占 27%。在 228 种化合物中,有 110 种具有细胞毒性、抗菌、抗真菌、抗寄生虫、抗炎和抗污损等活性。最常见的活性是细胞毒性,存在于 54 种化合物中,占报道的二萜类化合物的 24%。这些结构和生物多样性的二萜化合物突出了海洋海绵在发现新的药用生物活性分子方面的巨大但尚未开发的潜力。

https://cdn.ncbi.nlm.nih.gov/pmc/blobs/3e26/11509224/2c2409519146/marinedrugs-22-00447-g001.jpg

文献检索

告别复杂PubMed语法,用中文像聊天一样搜索,搜遍4000万医学文献。AI智能推荐,让科研检索更轻松。

立即免费搜索

文件翻译

保留排版,准确专业,支持PDF/Word/PPT等文件格式,支持 12+语言互译。

免费翻译文档

深度研究

AI帮你快速写综述,25分钟生成高质量综述,智能提取关键信息,辅助科研写作。

立即免费体验