• 文献检索
  • 文档翻译
  • 深度研究
  • 学术资讯
  • Suppr Zotero 插件Zotero 插件
  • 邀请有礼
  • 套餐&价格
  • 历史记录
应用&插件
Suppr Zotero 插件Zotero 插件浏览器插件Mac 客户端Windows 客户端微信小程序
定价
高级版会员购买积分包购买API积分包
服务
文献检索文档翻译深度研究API 文档MCP 服务
关于我们
关于 Suppr公司介绍联系我们用户协议隐私条款
关注我们

Suppr 超能文献

核心技术专利:CN118964589B侵权必究
粤ICP备2023148730 号-1Suppr @ 2026

文献检索

告别复杂PubMed语法,用中文像聊天一样搜索,搜遍4000万医学文献。AI智能推荐,让科研检索更轻松。

立即免费搜索

文件翻译

保留排版,准确专业,支持PDF/Word/PPT等文件格式,支持 12+语言互译。

免费翻译文档

深度研究

AI帮你快速写综述,25分钟生成高质量综述,智能提取关键信息,辅助科研写作。

立即免费体验

用于放射治疗输送的累积切伦科夫图像的噪声和斑纹抑制方法。

Noise & mottle suppression methods for cumulative Cherenkov images of radiation therapy delivery.

机构信息

Department of Medical Physics, University of Wisconsin-Madison, Madison, WI, United States of America.

Thayer School of Engineering at Dartmouth, Hanover, NH, United States of America.

出版信息

Phys Med Biol. 2024 Nov 12;69(22):225015. doi: 10.1088/1361-6560/ad8c93.

DOI:10.1088/1361-6560/ad8c93
PMID:39474803
原文链接:https://pmc.ncbi.nlm.nih.gov/articles/PMC11639195/
Abstract

Cherenkov imaging during radiotherapy provides a real time visualization of beam delivery on patient tissue, which can be used dynamically for incident detection or to review a summary of the delivered surface signal for treatment verification. Very few photons form the images, and one limitation is that the noise level per frame can be quite high, and mottle in the cumulative processed images can cause mild overall noise. This work focused on removing or suppressing noise via image postprocessing.Images were analyzed for peak-signal-to-noise and spatial frequencies present, and several established noise/mottle reduction algorithms were chosen based upon these observations. These included total variation minimization (TV-L1), non-local means filter (NLM), block-matching 3D (BM3D), alpha (adaptive) trimmed mean (ATM), and bilateral filtering. Each were applied to images acquired using a BeamSite camera (DoseOptics) imaged signal from 6x photons from a TrueBeam linac delivering dose at 600 MU minincident on an anthropomorphic phantom and tissue slab phantom in various configurations and beam angles. The standard denoised images were tested for PSNR, noise power spectrum (NPS) and image sharpness.The average peak-signal-to-noise ratio (PSNR) increase was 17.4% for TV-L1. NLM denoising increased the average PSNR by 19.1%, BM3D processing increased it by12.1% and the bilateral filter increased the average PSNR by 19.0%. Lastly, the ATM filter resulted in the lowest average PSNR increase of 10.9%. Of all of these, the NLM and bilateral filters produced improved edge sharpness with, generally, the lowest NPS curve.For cumulative image Cherenkov data, NLM and the bilateral filter yielded optimal denoising with the TV-L1 algorithm giving comparable results. Single video frame Cherenkov images exhibit much higher noise levels compared to cumulative images. Noise suppression algorithms for these frame rates will likely be a different processing pipeline involving these filters incorporated with machine learning.

摘要

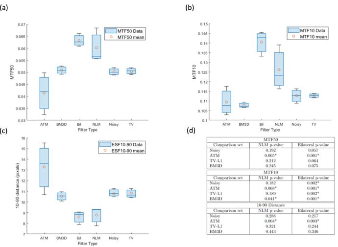
放射治疗中的切伦科夫成像是对患者组织中射束传输的实时可视化,可用于动态检测事件,或用于审查已传输表面信号的概要,以进行治疗验证。 图像中只有很少的光子,限制之一是每帧的噪声水平可能相当高,累积处理后的图像中的斑纹会导致轻微的整体噪声。 这项工作侧重于通过图像后处理去除或抑制噪声。 分析了图像中的峰值信号与噪声比和存在的空间频率,并根据这些观察结果选择了几种已建立的噪声/斑纹减少算法。 这些算法包括全变差最小化(TV-L1)、非局部均值滤波器(NLM)、块匹配 3D(BM3D)、α(自适应)修剪均值(ATM)和双边滤波器。 这些算法都应用于使用 BeamSite 相机(DoseOptics)采集的图像,该相机从 TrueBeam 直线加速器的 6x 光子中获取信号,以 600 MU min 的剂量照射在人体模型和组织平板模型上,配置和射束角度各不相同。 在各种配置和射束角度下,对标准去噪图像进行 PSNR、噪声功率谱(NPS)和图像锐度测试。 TV-L1 的平均峰值信号与噪声比(PSNR)提高了 17.4%。 NLM 去噪使平均 PSNR 提高了 19.1%,BM3D 处理提高了 12.1%,双边滤波器提高了 19.0%。 最后,ATM 滤波器的平均 PSNR 提高了 10.9%。 在所有这些算法中,NLM 和双边滤波器提高了边缘锐度,而一般来说,NPS 曲线最低。 对于累积图像切伦科夫数据,NLM 和双边滤波器产生了最佳的去噪效果,而 TV-L1 算法的结果相当。 与累积图像相比,单个视频帧切伦科夫图像的噪声水平要高得多。 对于这些帧率,噪声抑制算法可能是一个不同的处理管道,涉及这些滤波器和机器学习的结合。

https://cdn.ncbi.nlm.nih.gov/pmc/blobs/33b6/11639195/3a9c83b5d46c/pmbad8c93f12a_hr.jpg
https://cdn.ncbi.nlm.nih.gov/pmc/blobs/33b6/11639195/70ec3f144678/pmbad8c93f1_hr.jpg
https://cdn.ncbi.nlm.nih.gov/pmc/blobs/33b6/11639195/1019ad65f33e/pmbad8c93f2_hr.jpg
https://cdn.ncbi.nlm.nih.gov/pmc/blobs/33b6/11639195/e0becae464b7/pmbad8c93f3_hr.jpg
https://cdn.ncbi.nlm.nih.gov/pmc/blobs/33b6/11639195/6a32529fa9a0/pmbad8c93f4_hr.jpg
https://cdn.ncbi.nlm.nih.gov/pmc/blobs/33b6/11639195/2f47c6852638/pmbad8c93f5_hr.jpg
https://cdn.ncbi.nlm.nih.gov/pmc/blobs/33b6/11639195/74678f6d878a/pmbad8c93f6_hr.jpg
https://cdn.ncbi.nlm.nih.gov/pmc/blobs/33b6/11639195/5cd7ed04b24a/pmbad8c93f7_hr.jpg
https://cdn.ncbi.nlm.nih.gov/pmc/blobs/33b6/11639195/e99d6ec8977a/pmbad8c93f8_hr.jpg
https://cdn.ncbi.nlm.nih.gov/pmc/blobs/33b6/11639195/9951c57afcc6/pmbad8c93f9_hr.jpg
https://cdn.ncbi.nlm.nih.gov/pmc/blobs/33b6/11639195/62cdda7f176f/pmbad8c93f10_hr.jpg
https://cdn.ncbi.nlm.nih.gov/pmc/blobs/33b6/11639195/69d54a40dd71/pmbad8c93f11_hr.jpg
https://cdn.ncbi.nlm.nih.gov/pmc/blobs/33b6/11639195/3a9c83b5d46c/pmbad8c93f12a_hr.jpg
https://cdn.ncbi.nlm.nih.gov/pmc/blobs/33b6/11639195/70ec3f144678/pmbad8c93f1_hr.jpg
https://cdn.ncbi.nlm.nih.gov/pmc/blobs/33b6/11639195/1019ad65f33e/pmbad8c93f2_hr.jpg
https://cdn.ncbi.nlm.nih.gov/pmc/blobs/33b6/11639195/e0becae464b7/pmbad8c93f3_hr.jpg
https://cdn.ncbi.nlm.nih.gov/pmc/blobs/33b6/11639195/6a32529fa9a0/pmbad8c93f4_hr.jpg
https://cdn.ncbi.nlm.nih.gov/pmc/blobs/33b6/11639195/2f47c6852638/pmbad8c93f5_hr.jpg
https://cdn.ncbi.nlm.nih.gov/pmc/blobs/33b6/11639195/74678f6d878a/pmbad8c93f6_hr.jpg
https://cdn.ncbi.nlm.nih.gov/pmc/blobs/33b6/11639195/5cd7ed04b24a/pmbad8c93f7_hr.jpg
https://cdn.ncbi.nlm.nih.gov/pmc/blobs/33b6/11639195/e99d6ec8977a/pmbad8c93f8_hr.jpg
https://cdn.ncbi.nlm.nih.gov/pmc/blobs/33b6/11639195/9951c57afcc6/pmbad8c93f9_hr.jpg
https://cdn.ncbi.nlm.nih.gov/pmc/blobs/33b6/11639195/62cdda7f176f/pmbad8c93f10_hr.jpg
https://cdn.ncbi.nlm.nih.gov/pmc/blobs/33b6/11639195/69d54a40dd71/pmbad8c93f11_hr.jpg
https://cdn.ncbi.nlm.nih.gov/pmc/blobs/33b6/11639195/3a9c83b5d46c/pmbad8c93f12a_hr.jpg

相似文献

1
Noise & mottle suppression methods for cumulative Cherenkov images of radiation therapy delivery.用于放射治疗输送的累积切伦科夫图像的噪声和斑纹抑制方法。
Phys Med Biol. 2024 Nov 12;69(22):225015. doi: 10.1088/1361-6560/ad8c93.
2
Adaptive nonlocal means filtering based on local noise level for CT denoising.基于局部噪声水平的自适应非局部均值滤波用于CT去噪。
Med Phys. 2014 Jan;41(1):011908. doi: 10.1118/1.4851635.
3
Ultra-low-dose CT image denoising using modified BM3D scheme tailored to data statistics.基于数据统计量身定制的改进 BM3D 方案在超低剂量 CT 图像去噪中的应用。
Med Phys. 2019 Jan;46(1):190-198. doi: 10.1002/mp.13252. Epub 2018 Nov 19.
4
Noise suppression-guided image filtering for low-SNR CT reconstruction.基于噪声抑制的图像滤波在低 SNR CT 重建中的应用。
Med Biol Eng Comput. 2020 Nov;58(11):2621-2629. doi: 10.1007/s11517-020-02246-1. Epub 2020 Aug 24.
5
Non-local mean denoising using multiple PET reconstructions.利用多次 PET 重建进行非局部均值去噪。
Ann Nucl Med. 2021 Feb;35(2):176-186. doi: 10.1007/s12149-020-01550-y. Epub 2020 Nov 26.
6
Continuum topological derivative - a novel application tool for denoising CT and MRI medical images.连续拓扑导数——一种用于 CT 和 MRI 医学图像去噪的新应用工具。
BMC Med Imaging. 2024 Jul 24;24(1):182. doi: 10.1186/s12880-024-01341-1.
7
Low-dose cone-beam CT via raw counts domain low-signal correction schemes: Performance assessment and task-based parameter optimization (Part I: Assessment of spatial resolution and noise performance).基于原始数据域低信号校正方案的低剂量锥形束 CT:性能评估和基于任务的参数优化(第一部分:空间分辨率和噪声性能评估)。
Med Phys. 2018 May;45(5):1942-1956. doi: 10.1002/mp.12856. Epub 2018 Apr 6.
8
A novel 3D bilateral filtering algorithm with noise level estimation assisted by multi-temporal SAR.一种由多时相合成孔径雷达辅助噪声水平估计的新型三维双边滤波算法。
PLoS One. 2025 Feb 19;20(2):e0315395. doi: 10.1371/journal.pone.0315395. eCollection 2025.
9
Characterization of kilovoltage x-ray image guidance system with a novel post-processing algorithm on a new slip ring-mounted radiotherapy system.在新型滑环式放射治疗系统上采用新型后处理算法对千伏级X射线图像引导系统进行特性描述。
J Appl Clin Med Phys. 2024 Dec;25(12):e14524. doi: 10.1002/acm2.14524. Epub 2024 Sep 11.
10
Utilizing deep learning techniques to improve image quality and noise reduction in preclinical low-dose PET images in the sinogram domain.利用深度学习技术在正电子发射断层扫描域中的临床前低剂量 PET 图像中提高图像质量和降低噪声。
Med Phys. 2024 Jan;51(1):209-223. doi: 10.1002/mp.16830. Epub 2023 Nov 15.

本文引用的文献

1
Deep learning based bilateral filtering for edge-preserving denoising of respiratory-gated PET.基于深度学习的双边滤波用于呼吸门控PET的边缘保持去噪
EJNMMI Phys. 2024 Jul 9;11(1):58. doi: 10.1186/s40658-024-00661-z.
2
Stable tissue-mimicking phantoms for longitudinal multimodality imaging studies that incorporate optical, CT, and MRI contrast.用于纵向多模态成像研究的稳定组织模拟体,该研究纳入了光学、CT 和 MRI 对比剂。
J Biomed Opt. 2023 Apr;28(4):046006. doi: 10.1117/1.JBO.28.4.046006. Epub 2023 Apr 20.
3
Blind-noise image denoising with block-matching domain transformation filtering and improved guided filtering.
基于块匹配域变换滤波和改进引导滤波的盲噪声图像去噪
Sci Rep. 2022 Sep 28;12(1):16195. doi: 10.1038/s41598-022-20578-w.
4
Clinical implementation of the first Cherenkov imaging system in a community-based hospital.基于社区的医院中首个切伦科夫成像系统的临床应用。
Tech Innov Patient Support Radiat Oncol. 2022 Sep 9;24:1-5. doi: 10.1016/j.tipsro.2022.08.011. eCollection 2022 Dec.
5
One Year of Clinic-Wide Cherenkov Imaging for Discovery of Quality Improvement Opportunities in Radiation Therapy.临床范围切伦科夫成像用于发现放射治疗质量改进机会:一年的经验。
Pract Radiat Oncol. 2023 Jan-Feb;13(1):71-81. doi: 10.1016/j.prro.2022.06.009. Epub 2022 Jun 29.
6
Dosimetric considerations for moldable silicone composites used in radiotherapy applications.用于放射治疗应用的可模塑硅橡胶复合材料的剂量学考虑。
J Appl Clin Med Phys. 2022 Jun;23(6):e13605. doi: 10.1002/acm2.13605. Epub 2022 Apr 18.
7
Image denoising by transfer learning of generative adversarial network for dental CT.基于生成对抗网络的迁移学习在牙科 CT 中的图像去噪。
Biomed Phys Eng Express. 2020 Sep 8;6(5):055024. doi: 10.1088/2057-1976/abb068.
8
Initial Clinical Experience of Cherenkov Imaging in External Beam Radiation Therapy Identifies Opportunities to Improve Treatment Delivery.切伦科夫成像在外照射放疗中的初步临床经验确定了改善治疗实施的机会。
Int J Radiat Oncol Biol Phys. 2021 Apr 1;109(5):1627-1637. doi: 10.1016/j.ijrobp.2020.11.013. Epub 2020 Nov 20.
9
Detective quantum efficiency of intensified CMOS cameras for Cherenkov imaging in radiotherapy.用于放射治疗切伦科夫成像的增强型 CMOS 相机的量子探测效率。
Phys Med Biol. 2020 Nov 12;65(22):225013. doi: 10.1088/1361-6560/abb0c5.
10
Deep learning on image denoising: An overview.基于深度学习的图像去噪技术综述。
Neural Netw. 2020 Nov;131:251-275. doi: 10.1016/j.neunet.2020.07.025. Epub 2020 Aug 6.