Suppr超能文献

干旱胁迫下苞叶木蓼全长转录组及抗性特征分析

Analysis of full length transcriptome and resistance characteristics of Atraphaxis bracteata under drought.

作者信息

He Cai, Liu Wei, Jin Min, Li Yi, Wu Yuan, Shan Lishan, Chong Peifang, Wei Meiying, Hu Fang, Liu Yuan, Li Chaoqun, Zhang Qinde

机构信息

College of Forestry, Gansu Agricultural University, Lanzhou, 730000, China.

Wuwei Academy of Forestry, Wuwei, 733000, China.

出版信息

Sci Rep. 2025 Jan 4;15(1):807. doi: 10.1038/s41598-024-80831-2.

Abstract

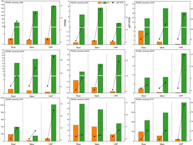
Drought is one of the main environmental factors affecting plant survival and growth. Atraphaxis bracteata is a common desert plant mainly utilized in afforestation and desertification control. This study analyzed the morphological, physiological and molecular regulatory characteristics of different organs of A. bracteata under drought stress. The results showed that with the intensification of drought stress, the height, root length and leaf area of A. bracteata seedlings decreased, while the content of osmotic substances and antioxidant enzyme activity increased. Furthermore, a total of 63 907 non-redundant transcript sequences, of which 55 574 transcripts were annotated, 248 178 FLNC sequences, 107 112 high-quality consistent sequences and 291 314 CCSs were obtained from Iso-Seq. Meanwhile, a total of 2 039 AS events, 22 919 SSR, 40 404 CDS and 5 902 lncRNA were also obtained. The RNA-Seq analysis results revealed that a total of 2 821, 3 907 and 5 532 DETs were identified from roots, stems and leaves, respectively, and which had significantly enrichment in "circadian rhythm-plant" and "starch and sucrose metabolism" pathway. These results would be great significance for further research on the stress resistance of A. bracteata and these DETs function.

摘要

干旱是影响植物生存和生长的主要环境因素之一。苞叶木是一种常见的荒漠植物,主要用于造林和荒漠化治理。本研究分析了干旱胁迫下苞叶木不同器官的形态、生理和分子调控特征。结果表明,随着干旱胁迫的加剧,苞叶木幼苗的株高、根长和叶面积减小,而渗透物质含量和抗氧化酶活性增加。此外,通过Iso-Seq共获得63907条非冗余转录本序列,其中55574条转录本得到注释,248178条FLNC序列、107112条高质量一致性序列和291314条CCSs。同时,还获得了2039个可变剪接事件、22919个简单序列重复、40404个编码序列和5902个长链非编码RNA。RNA-Seq分析结果显示,分别从根、茎和叶中鉴定出2821、3907和5532个差异表达转录本,这些转录本在“昼夜节律-植物”和“淀粉和蔗糖代谢”途径中显著富集。这些结果对于进一步研究苞叶木的抗逆性及其差异表达转录本的功能具有重要意义。

https://cdn.ncbi.nlm.nih.gov/pmc/blobs/996f/11700114/632f291ed0e2/41598_2024_80831_Fig1_HTML.jpg

文献检索

告别复杂PubMed语法,用中文像聊天一样搜索,搜遍4000万医学文献。AI智能推荐,让科研检索更轻松。

立即免费搜索

文件翻译

保留排版,准确专业,支持PDF/Word/PPT等文件格式,支持 12+语言互译。

免费翻译文档

深度研究

AI帮你快速写综述,25分钟生成高质量综述,智能提取关键信息,辅助科研写作。

立即免费体验