• 文献检索
  • 文档翻译
  • 深度研究
  • 学术资讯
  • Suppr Zotero 插件Zotero 插件
  • 邀请有礼
  • 套餐&价格
  • 历史记录
应用&插件
Suppr Zotero 插件Zotero 插件浏览器插件Mac 客户端Windows 客户端微信小程序
定价
高级版会员购买积分包购买API积分包
服务
文献检索文档翻译深度研究API 文档MCP 服务
关于我们
关于 Suppr公司介绍联系我们用户协议隐私条款
关注我们

Suppr 超能文献

核心技术专利:CN118964589B侵权必究
粤ICP备2023148730 号-1Suppr @ 2026

文献检索

告别复杂PubMed语法,用中文像聊天一样搜索,搜遍4000万医学文献。AI智能推荐,让科研检索更轻松。

立即免费搜索

文件翻译

保留排版,准确专业,支持PDF/Word/PPT等文件格式,支持 12+语言互译。

免费翻译文档

深度研究

AI帮你快速写综述,25分钟生成高质量综述,智能提取关键信息,辅助科研写作。

立即免费体验

使用暗场显微镜和深度学习对无标记细菌进行虚拟革兰氏染色。

Virtual Gram staining of label-free bacteria using dark-field microscopy and deep learning.

作者信息

Işıl Çağatay, Koydemir Hatice Ceylan, Eryilmaz Merve, de Haan Kevin, Pillar Nir, Mentesoglu Koray, Unal Aras Firat, Rivenson Yair, Chandrasekaran Sukantha, Garner Omai B, Ozcan Aydogan

机构信息

Electrical and Computer Engineering Department, University of California, Los Angeles, CA 90095, USA.

Bioengineering Department, University of California, Los Angeles, CA 90095, USA.

出版信息

Sci Adv. 2025 Jan 10;11(2):eads2757. doi: 10.1126/sciadv.ads2757. Epub 2025 Jan 8.

DOI:10.1126/sciadv.ads2757
PMID:39772690
原文链接:https://pmc.ncbi.nlm.nih.gov/articles/PMC11803577/
Abstract

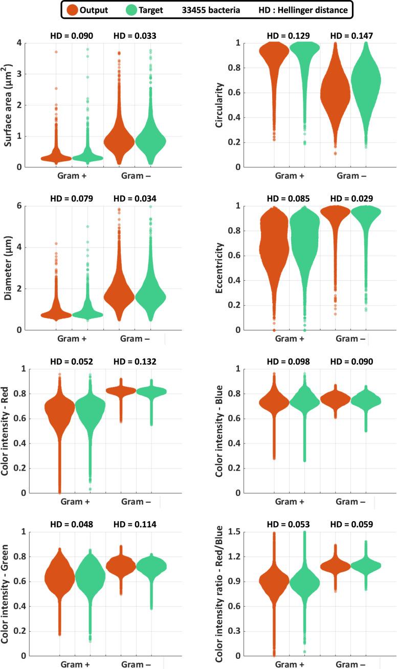
Gram staining has been a frequently used staining protocol in microbiology. It is vulnerable to staining artifacts due to, e.g., operator errors and chemical variations. Here, we introduce virtual Gram staining of label-free bacteria using a trained neural network that digitally transforms dark-field images of unstained bacteria into their Gram-stained equivalents matching bright-field image contrast. After a one-time training, the virtual Gram staining model processes an axial stack of dark-field microscopy images of label-free bacteria (never seen before) to rapidly generate Gram staining, bypassing several chemical steps involved in the conventional staining process. We demonstrated the success of virtual Gram staining on label-free bacteria samples containing and by quantifying the staining accuracy of the model and comparing the chromatic and morphological features of the virtually stained bacteria against their chemically stained counterparts. This virtual bacterial staining framework bypasses the traditional Gram staining protocol and its challenges, including stain standardization, operator errors, and sensitivity to chemical variations.

摘要

革兰氏染色一直是微生物学中常用的染色方法。由于例如操作人员失误和化学变化等原因,它容易出现染色假象。在此,我们介绍一种使用经过训练的神经网络对无标记细菌进行虚拟革兰氏染色的方法,该网络可将未染色细菌的暗场图像数字转换为与明场图像对比度相匹配的革兰氏染色等效图像。经过一次性训练后,虚拟革兰氏染色模型处理无标记细菌(从未见过)的暗场显微镜图像轴向堆栈,以快速生成革兰氏染色,绕过传统染色过程中涉及的几个化学步骤。我们通过量化模型的染色准确性,并将虚拟染色细菌的颜色和形态特征与其化学染色对应物进行比较,证明了虚拟革兰氏染色在含有[具体内容缺失]的无标记细菌样本上的成功。这种虚拟细菌染色框架绕过了传统的革兰氏染色方法及其挑战,包括染色标准化、操作人员失误以及对化学变化的敏感性。

https://cdn.ncbi.nlm.nih.gov/pmc/blobs/f874/11803577/a151e4dcf263/sciadv.ads2757-f5.jpg
https://cdn.ncbi.nlm.nih.gov/pmc/blobs/f874/11803577/f7435e929a25/sciadv.ads2757-f1.jpg
https://cdn.ncbi.nlm.nih.gov/pmc/blobs/f874/11803577/15d923fa6d58/sciadv.ads2757-f2.jpg
https://cdn.ncbi.nlm.nih.gov/pmc/blobs/f874/11803577/74fdaf457fe7/sciadv.ads2757-f3.jpg
https://cdn.ncbi.nlm.nih.gov/pmc/blobs/f874/11803577/62bddca35d0b/sciadv.ads2757-f4.jpg
https://cdn.ncbi.nlm.nih.gov/pmc/blobs/f874/11803577/a151e4dcf263/sciadv.ads2757-f5.jpg
https://cdn.ncbi.nlm.nih.gov/pmc/blobs/f874/11803577/f7435e929a25/sciadv.ads2757-f1.jpg
https://cdn.ncbi.nlm.nih.gov/pmc/blobs/f874/11803577/15d923fa6d58/sciadv.ads2757-f2.jpg
https://cdn.ncbi.nlm.nih.gov/pmc/blobs/f874/11803577/74fdaf457fe7/sciadv.ads2757-f3.jpg
https://cdn.ncbi.nlm.nih.gov/pmc/blobs/f874/11803577/62bddca35d0b/sciadv.ads2757-f4.jpg
https://cdn.ncbi.nlm.nih.gov/pmc/blobs/f874/11803577/a151e4dcf263/sciadv.ads2757-f5.jpg

相似文献

1
Virtual Gram staining of label-free bacteria using dark-field microscopy and deep learning.使用暗场显微镜和深度学习对无标记细菌进行虚拟革兰氏染色。
Sci Adv. 2025 Jan 10;11(2):eads2757. doi: 10.1126/sciadv.ads2757. Epub 2025 Jan 8.
2
A novel framework for the automated characterization of Gram-stained blood culture slides using a large-scale vision transformer.一种使用大规模视觉变换器对革兰氏染色血培养玻片进行自动特征描述的新框架。
J Clin Microbiol. 2025 Mar 12;63(3):e0151424. doi: 10.1128/jcm.01514-24. Epub 2025 Feb 24.
3
Improvement of gram staining effect by ethanol pretreatment and quantization of staining image by unsupervised machine learning.乙醇预处理提高革兰氏染色效果和无监督机器学习对染色图像进行量化。
Arch Microbiol. 2024 Jun 21;206(7):318. doi: 10.1007/s00203-024-04045-w.
4
Automated Interpretation of Blood Culture Gram Stains by Use of a Deep Convolutional Neural Network.利用深度卷积神经网络自动解读血培养革兰氏染色
J Clin Microbiol. 2018 Feb 22;56(3). doi: 10.1128/JCM.01521-17. Print 2018 Mar.
5
Deep Learning for Virtual Histological Staining of Bright-Field Microscopic Images of Unlabeled Carotid Artery Tissue.深度学习在未标记颈动脉组织明场显微镜图像虚拟染色中的应用。
Mol Imaging Biol. 2020 Oct;22(5):1301-1309. doi: 10.1007/s11307-020-01508-6.
6
Virtual staining for histology by deep learning.深度学习的组织学虚拟染色。
Trends Biotechnol. 2024 Sep;42(9):1177-1191. doi: 10.1016/j.tibtech.2024.02.009. Epub 2024 Mar 13.
7
Virtual histological staining of unlabelled tissue-autofluorescence images via deep learning.基于深度学习的无标记组织自发荧光图像的虚拟组织学染色。
Nat Biomed Eng. 2019 Jun;3(6):466-477. doi: 10.1038/s41551-019-0362-y. Epub 2019 Mar 4.
8
Holographic virtual staining of individual biological cells.单个生物细胞的全像虚拟染色。
Proc Natl Acad Sci U S A. 2020 Apr 28;117(17):9223-9231. doi: 10.1073/pnas.1919569117. Epub 2020 Apr 13.
9
Gram staining.革兰氏染色法。
Curr Protoc Microbiol. 2005 Oct;Appendix 3:Appendix 3C. doi: 10.1002/9780471729259.mca03cs00.
10
SensiGram as a modified Gram staining procedure with higher sensitivity for detection of Gram-negative bacteria in blood culture.SensiGram作为一种改良的革兰氏染色程序,对血培养中革兰氏阴性菌的检测具有更高的灵敏度。
J Microbiol Methods. 2021 Dec;191:106344. doi: 10.1016/j.mimet.2021.106344. Epub 2021 Oct 12.

本文引用的文献

1
Label- and slide-free tissue histology using 3D epi-mode quantitative phase imaging and virtual hematoxylin and eosin staining.使用3D落射模式定量相成像和虚拟苏木精与伊红染色的无标记和无玻片组织组织学
Optica. 2023 Dec 20;10(12):1605-1618. doi: 10.1364/optica.502859. Epub 2023 Dec 1.
2
Virtual birefringence imaging and histological staining of amyloid deposits in label-free tissue using autofluorescence microscopy and deep learning.利用自发荧光显微镜和深度学习对无标记组织中的淀粉样沉积物进行虚拟双折射成像和组织学染色。
Nat Commun. 2024 Sep 12;15(1):7978. doi: 10.1038/s41467-024-52263-z.
3
Performance evaluation of machine-assisted interpretation of Gram stains from positive blood cultures.
机器辅助解读血培养阳性革兰染色的性能评估。
J Clin Microbiol. 2024 Apr 10;62(4):e0087623. doi: 10.1128/jcm.00876-23. Epub 2024 Mar 20.
4
Virtual histological staining of unlabeled autopsy tissue.未标记尸检组织的虚拟组织化学染色。
Nat Commun. 2024 Feb 23;15(1):1684. doi: 10.1038/s41467-024-46077-2.
5
Virtual Staining of Nonfixed Tissue Histology.非固定组织学的虚拟染色。
Mod Pathol. 2024 May;37(5):100444. doi: 10.1016/j.modpat.2024.100444. Epub 2024 Feb 6.
6
Label-Free Virtual HER2 Immunohistochemical Staining of Breast Tissue using Deep Learning.使用深度学习对乳腺组织进行无标记虚拟HER2免疫组织化学染色
BME Front. 2022 Oct 25;2022:9786242. doi: 10.34133/2022/9786242. eCollection 2022.
7
The role of gram stain in reducing broad-spectrum antibiotic use: A systematic literature review and meta-analysis.革兰氏染色在减少广谱抗生素使用中的作用:一项系统文献综述与荟萃分析。
Infect Dis Now. 2023 Sep;53(6):104764. doi: 10.1016/j.idnow.2023.104764. Epub 2023 Jul 22.
8
DeepIFC: Virtual fluorescent labeling of blood cells in imaging flow cytometry data with deep learning.深度IFC:利用深度学习对成像流式细胞术数据中的血细胞进行虚拟荧光标记。
Cytometry A. 2023 Oct;103(10):807-817. doi: 10.1002/cyto.a.24770. Epub 2023 Jun 20.
9
Deep learning-enabled virtual histological staining of biological samples.基于深度学习的生物样本虚拟组织学染色
Light Sci Appl. 2023 Mar 3;12(1):57. doi: 10.1038/s41377-023-01104-7.
10
Rapid and label-free histological imaging of unprocessed surgical tissues via dark-field reflectance ultraviolet microscopy.通过暗场反射紫外显微镜对未处理手术组织进行快速且无标记的组织学成像。
iScience. 2022 Dec 21;26(1):105849. doi: 10.1016/j.isci.2022.105849. eCollection 2023 Jan 20.