Ali Amira Mohammed, Al-Dossary Saeed A, Aljaberi Musheer A, Emad El-Gazar Heba, Laranjeira Carlos, Khatatbeh Haitham, Ali Zoromba Mohamed, Alamer Rasmieh, Amer Faten, Pakai Annamaria, Fekih-Romdhane Feten
Department of Psychiatric Nursing and Mental Health, Faculty of Nursing, Alexandria University, Smouha, Alexandria 21527, Egypt.
Department of Psychology, College of Education, University of Ha'il, Ha'il 1818, Saudi Arabia.
Nurs Res Pract. 2025 Jul 10;2025:9934710. doi: 10.1155/nrp/9934710. eCollection 2025.
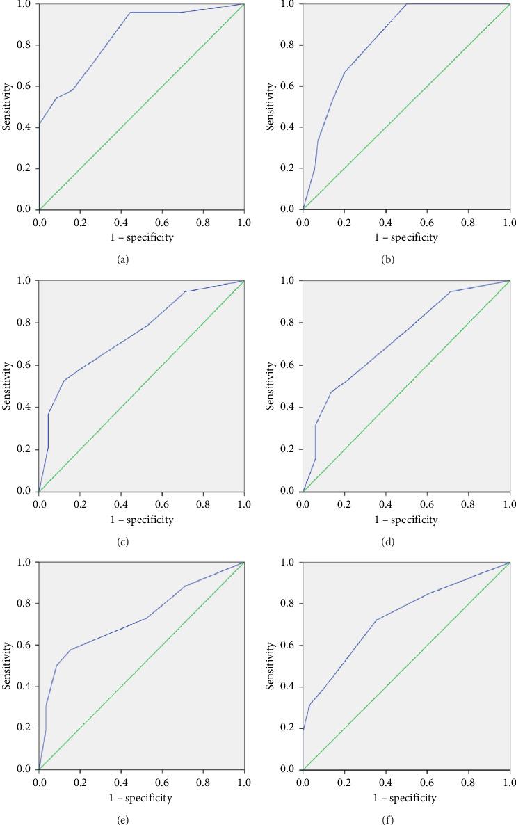
Mothers of children with intellectual disabilities are particularly vulnerable to mental distress due to demanding and exhausting caregiving. However, in the Arab world, they are seldom screened for depression because of limited diagnostic resources. Addressing the urgent need for brief and reliable screening tools, this study evaluated the psychometric properties of the Arabic version of the Patient Health Questionnaire-2 (PHQ-2) among 85 Saudi mothers. A cross-sectional study. The construct, convergent, and divergent validity of the PHQ-2 was examined through a latent variable model (LVM), while its cutoff score was examined through receiver-operating characteristic (ROC) curve analysis. The unidimensional PHQ-2 (item loadings > 0.7) was positively predicted by stress and negatively predicted by high mood and happiness, supporting its convergent and divergent validity. The PHQ-2 effectively predicted low mood, poor sleep quality, nightmares, high stress, low general physical health, and willingness to join a psychological support program (area under the curve [AUC] range = 0.72-0.84, values < 0.001). The best balance between sensitivity and specificity was achieved at the PHQ-2 threshold ≥ 2.5, while the cutoff ≥ 3.5 demonstrated a higher positive predictive value (PPV) for all outcomes (range = 30.0-78.8 vs. 23.0-70.8). The PHQ-2 is a brief, valid tool, which at cutoffs ≥ 2.5 and ≥ 3.5 can reliably detect clinically significant depression and related psychological and physical adverse effects. Mothers scoring ≥ 3.5 may require a clinician-based examination for depression, and they may benefit from specific mental health literacy interventions. However, the results should be interpreted with caution given convenience sampling, a small sample size, and elevated distress levels in the current population. These limitations highlight the need to replicate the study with larger, randomly selected samples from more diverse populations. Nurses can efficiently screen for depression and its mental/physical sequelae, as well as monitor response to treatment using only two items. The study provided two well-interpreted cutoffs of the PHQ-2, with real-world implications for mental health screening in under-resourced settings. The study adhered to STROBE guidelines. No patient or public contribution.
智障儿童的母亲由于照顾孩子的要求高且令人疲惫,特别容易出现精神困扰。然而,在阿拉伯世界,由于诊断资源有限,她们很少接受抑郁症筛查。为满足对简短可靠筛查工具的迫切需求,本研究评估了阿拉伯语版患者健康问卷-2(PHQ-2)在85名沙特母亲中的心理测量特性。一项横断面研究。通过潜在变量模型(LVM)检验了PHQ-2的结构效度、收敛效度和区分效度,同时通过受试者操作特征(ROC)曲线分析检验了其临界值。单维度的PHQ-2(项目负荷>0.7)受到压力的正向预测,受到高情绪和幸福感的负向预测,支持了其收敛效度和区分效度。PHQ-2有效地预测了情绪低落、睡眠质量差、噩梦、高压力、总体身体健康状况差以及参与心理支持项目的意愿(曲线下面积[AUC]范围=0.72-0.84,P值<0.001)。在PHQ-2阈值≥2.5时,敏感性和特异性之间达到了最佳平衡,而临界值≥3.5对所有结果显示出更高的阳性预测值(PPV)(范围=30.0-78.8对23.0-70.8)。PHQ-2是一种简短有效的工具,在临界值≥2.5和≥3.5时,可以可靠地检测出具有临床意义的抑郁症以及相关的心理和身体不良反应。得分≥3.5的母亲可能需要基于临床医生的抑郁症检查,她们可能会从特定的心理健康素养干预中受益。然而,鉴于便利抽样、样本量小以及当前人群中困扰水平较高,对结果的解释应谨慎。这些局限性凸显了需要用来自更多样化人群的更大规模随机样本重复该研究。护士仅使用两个项目就能有效地筛查抑郁症及其心理/身体后遗症,以及监测治疗反应。该研究提供了两个经过充分解释的PHQ-2临界值,对资源不足环境中的心理健康筛查具有实际意义。该研究遵循了STROBE指南。无患者或公众参与。