Hallez Hans, Vanrumste Bart, Grech Roberta, Muscat Joseph, De Clercq Wim, Vergult Anneleen, D'Asseler Yves, Camilleri Kenneth P, Fabri Simon G, Van Huffel Sabine, Lemahieu Ignace
ELIS-MEDISIP, Ghent University, Ghent, Belgium.
J Neuroeng Rehabil. 2007 Nov 30;4:46. doi: 10.1186/1743-0003-4-46.
The aim of electroencephalogram (EEG) source localization is to find the brain areas responsible for EEG waves of interest. It consists of solving forward and inverse problems. The forward problem is solved by starting from a given electrical source and calculating the potentials at the electrodes. These evaluations are necessary to solve the inverse problem which is defined as finding brain sources which are responsible for the measured potentials at the EEG electrodes.
While other reviews give an extensive summary of the both forward and inverse problem, this review article focuses on different aspects of solving the forward problem and it is intended for newcomers in this research field.
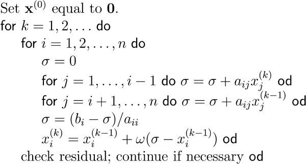
It starts with focusing on the generators of the EEG: the post-synaptic potentials in the apical dendrites of pyramidal neurons. These cells generate an extracellular current which can be modeled by Poisson's differential equation, and Neumann and Dirichlet boundary conditions. The compartments in which these currents flow can be anisotropic (e.g. skull and white matter). In a three-shell spherical head model an analytical expression exists to solve the forward problem. During the last two decades researchers have tried to solve Poisson's equation in a realistically shaped head model obtained from 3D medical images, which requires numerical methods. The following methods are compared with each other: the boundary element method (BEM), the finite element method (FEM) and the finite difference method (FDM). In the last two methods anisotropic conducting compartments can conveniently be introduced. Then the focus will be set on the use of reciprocity in EEG source localization. It is introduced to speed up the forward calculations which are here performed for each electrode position rather than for each dipole position. Solving Poisson's equation utilizing FEM and FDM corresponds to solving a large sparse linear system. Iterative methods are required to solve these sparse linear systems. The following iterative methods are discussed: successive over-relaxation, conjugate gradients method and algebraic multigrid method.
Solving the forward problem has been well documented in the past decades. In the past simplified spherical head models are used, whereas nowadays a combination of imaging modalities are used to accurately describe the geometry of the head model. Efforts have been done on realistically describing the shape of the head model, as well as the heterogenity of the tissue types and realistically determining the conductivity. However, the determination and validation of the in vivo conductivity values is still an important topic in this field. In addition, more studies have to be done on the influence of all the parameters of the head model and of the numerical techniques on the solution of the forward problem.
脑电图(EEG)源定位的目的是找到产生感兴趣脑电波的脑区。它包括求解正向问题和逆向问题。正向问题通过从给定的电源开始并计算电极处的电位来解决。这些评估对于解决逆向问题是必要的,逆向问题定义为找到对EEG电极处测量电位负责的脑源。
虽然其他综述广泛总结了正向和逆向问题,但本文综述重点关注解决正向问题的不同方面,旨在为该研究领域的新手提供参考。
首先关注EEG的发生器:锥体细胞顶树突中的突触后电位。这些细胞产生细胞外电流,该电流可以用泊松微分方程以及诺伊曼和狄利克雷边界条件进行建模。这些电流流动的隔室可以是各向异性的(例如颅骨和白质)。在三壳层球形头部模型中,存在求解正向问题的解析表达式。在过去的二十年中,研究人员试图在从3D医学图像获得的实际形状的头部模型中求解泊松方程,这需要数值方法。对以下方法进行了相互比较:边界元法(BEM)、有限元法(FEM)和有限差分法(FDM)。在后两种方法中,可以方便地引入各向异性导电隔室。然后将重点放在EEG源定位中互易性的应用上。引入互易性是为了加快正向计算,这里是针对每个电极位置而不是每个偶极子位置进行正向计算。利用有限元法和有限差分法求解泊松方程相当于求解一个大型稀疏线性系统。需要迭代方法来求解这些稀疏线性系统。讨论了以下迭代方法:逐次超松弛法、共轭梯度法和代数多重网格法。
在过去几十年中,解决正向问题已有充分的文献记载。过去使用简化的球形头部模型,而如今则使用多种成像方式的组合来准确描述头部模型的几何形状。在实际描述头部模型的形状、组织类型的异质性以及实际确定电导率方面已经做出了努力。然而,体内电导率值的确定和验证仍然是该领域的一个重要课题。此外,还需要对头部模型的所有参数以及数值技术对正向问题解的影响进行更多研究。