• 文献检索
  • 文档翻译
  • 深度研究
  • 学术资讯
  • Suppr Zotero 插件Zotero 插件
  • 邀请有礼
  • 套餐&价格
  • 历史记录
应用&插件
Suppr Zotero 插件Zotero 插件浏览器插件Mac 客户端Windows 客户端微信小程序
定价
高级版会员购买积分包购买API积分包
服务
文献检索文档翻译深度研究API 文档MCP 服务
关于我们
关于 Suppr公司介绍联系我们用户协议隐私条款
关注我们

Suppr 超能文献

核心技术专利:CN118964589B侵权必究
粤ICP备2023148730 号-1Suppr @ 2026

文献检索

告别复杂PubMed语法,用中文像聊天一样搜索,搜遍4000万医学文献。AI智能推荐,让科研检索更轻松。

立即免费搜索

文件翻译

保留排版,准确专业,支持PDF/Word/PPT等文件格式,支持 12+语言互译。

免费翻译文档

深度研究

AI帮你快速写综述,25分钟生成高质量综述,智能提取关键信息,辅助科研写作。

立即免费体验

减少流感在航空网络中的传播。

Reducing in fl uenza spreading over the airline network.

作者信息

Marcelino Jose, Kaiser Marcus

机构信息

School of Computing Science - Newcastle University and Newcastle University.

出版信息

PLoS Curr. 2009 Aug 21;1:RRN1005. doi: 10.1371/currents.rrn1005.

DOI:10.1371/currents.rrn1005
PMID:20020673
原文链接:https://pmc.ncbi.nlm.nih.gov/articles/PMC2762335/
Abstract

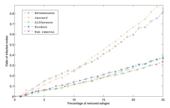
Disease spreading through human travel networks has been a topic of great interest in recent years, such as with swine in fl uenza or SARS pandemics. Most studies have proposed removing highly connected nodes (hubs) to control spreading. Here, we test alternative strategies using edge removal ( fl ight cancellation) for spreading over the airline network. Flight cancellation was more ef fi cient than shutting down whole airports: spreading took 81% longer if solely selected fl ights were removed, compared to a 52% reduction when entire airports were shutdown, affecting the same number of fl ights.

摘要

近年来,疾病通过人类旅行网络传播一直是备受关注的话题,比如猪流感或非典大流行。大多数研究都提议通过移除高度连接的节点(枢纽)来控制疾病传播。在此,我们测试了利用边移除(航班取消)来控制疾病在航空网络上传播的替代策略。航班取消比关闭整个机场更有效:如果只取消选定的航班,传播时间会延长81%,而当整个机场关闭时(影响相同数量的航班),传播时间减少了52%。

https://cdn.ncbi.nlm.nih.gov/pmc/blobs/93d8/2762335/730a702e6ac2/plot1b-brevia.jpg
https://cdn.ncbi.nlm.nih.gov/pmc/blobs/93d8/2762335/bd12b72d4571/world-wind-flat-world.jpg
https://cdn.ncbi.nlm.nih.gov/pmc/blobs/93d8/2762335/787f40dab5a1/plot1c-brevia.jpg
https://cdn.ncbi.nlm.nih.gov/pmc/blobs/93d8/2762335/4efd79037eec/plot2-rewired1.jpg
https://cdn.ncbi.nlm.nih.gov/pmc/blobs/93d8/2762335/730a702e6ac2/plot1b-brevia.jpg
https://cdn.ncbi.nlm.nih.gov/pmc/blobs/93d8/2762335/bd12b72d4571/world-wind-flat-world.jpg
https://cdn.ncbi.nlm.nih.gov/pmc/blobs/93d8/2762335/787f40dab5a1/plot1c-brevia.jpg
https://cdn.ncbi.nlm.nih.gov/pmc/blobs/93d8/2762335/4efd79037eec/plot2-rewired1.jpg
https://cdn.ncbi.nlm.nih.gov/pmc/blobs/93d8/2762335/730a702e6ac2/plot1b-brevia.jpg

相似文献

1
Reducing in fl uenza spreading over the airline network.减少流感在航空网络中的传播。
PLoS Curr. 2009 Aug 21;1:RRN1005. doi: 10.1371/currents.rrn1005.
2
Critical paths in a metapopulation model of H1N1: Efficiently delaying influenza spreading through flight cancellation.H1N1集合种群模型中的关键路径:通过取消航班有效延缓流感传播
PLoS Curr. 2012 Apr 23;4:e4f8c9a2e1fca8. doi: 10.1371/4f8c9a2e1fca8.
3
Incidence of influenza-related hospitalizations in different age groups of children in Finland: a 16-year study.芬兰不同年龄段儿童流感相关住院的发生率:一项 16 年的研究。
Pediatr Infect Dis J. 2011 Feb;30(2):e24-8. doi: 10.1097/inf.0b013e3181fe37c8.
4
Modeling airport congestion contagion by heterogeneous SIS epidemic spreading on airline networks.基于航空公司网络上的异质SIS流行病传播对机场拥堵蔓延进行建模。
PLoS One. 2021 Jan 22;16(1):e0245043. doi: 10.1371/journal.pone.0245043. eCollection 2021.
5
Executive summary. Diagnosis, treatment and prophylaxis of influenza virus infection. Consensus statement of the Spanish Society of Infectious Diseases and Clinical Microbiology (SEIMC), the Spanish Society of Pediatric Infectious Diseases (SEIP), the Spanish Association of Vaccinology (AEV), the Spanish Society of Family and Community Medicine (SEMFYC) and the Spanish Society of Preventive Medicine, Public Health and Health Management (SEMPSPGS).执行摘要。 流感病毒感染的诊断、治疗和预防。 西班牙传染病和临床微生物学学会(SEIMC)、西班牙儿科传染病学会(SEIP)、西班牙疫苗学协会(AEV)、西班牙家庭和社区医学学会(SEMFYC)以及西班牙预防医学、公共卫生和健康管理学会(SEMPSPGS)的共识声明。
An Pediatr (Engl Ed). 2023 Mar;98(3):213-227. doi: 10.1016/j.anpede.2023.01.012. Epub 2023 Feb 20.
6
Influenza and Memory T Cells: How to Awake the Force.流感与记忆T细胞:如何唤醒这股力量。
Vaccines (Basel). 2016 Oct 13;4(4):33. doi: 10.3390/vaccines4040033.
7
[Monoclonal antibodies to hemagglutinin of influenza b viruses victoria evolutionary lineage.].针对乙型流感病毒维多利亚进化谱系血凝素的单克隆抗体。
Vopr Virusol. 2018;63(6):275-280. doi: 10.18821/0507-4088-2018-63-6-275-280.
8
Resilience and rewiring of the passenger airline networks in the United States.美国客运航空网络的恢复力与重新布线
Phys Rev E Stat Nonlin Soft Matter Phys. 2010 Nov;82(5 Pt 2):056101. doi: 10.1103/PhysRevE.82.056101. Epub 2010 Nov 2.
9
Understanding the impact of network structure on air travel pattern at different scales.理解网络结构对不同尺度下航空旅行模式的影响。
PLoS One. 2024 Mar 8;19(3):e0299897. doi: 10.1371/journal.pone.0299897. eCollection 2024.
10
Revealing the structure of the world airline network.揭示世界航空网络的结构。
Sci Rep. 2014 Jul 9;4:5638. doi: 10.1038/srep05638.

引用本文的文献

1
Impact of pandemic control over airport economics: Reconciling public health with airport business through a streamlined approach in pandemic control.疫情防控对机场经济的影响:通过简化疫情防控方法实现公共卫生与机场业务的协调
J Air Transp Manag. 2015 May-Jun;44:42-53. doi: 10.1016/j.jairtraman.2015.02.003. Epub 2015 Feb 27.
2
The use and reporting of airline passenger data for infectious disease modelling: a systematic review.航空旅客数据在传染病建模中的使用和报告:系统评价。
Euro Surveill. 2019 Aug;24(31). doi: 10.2807/1560-7917.ES.2019.24.31.1800216.
3
Link removal for the control of stochastically evolving epidemics over networks: a comparison of approaches.

本文引用的文献

1
Efficiency and cost of economical brain functional networks.经济脑功能网络的效率与成本
PLoS Comput Biol. 2007 Feb 2;3(2):e17. doi: 10.1371/journal.pcbi.0030017.
2
Nonoptimal component placement, but short processing paths, due to long-distance projections in neural systems.由于神经系统中的长距离投射,组件放置不理想,但处理路径较短。
PLoS Comput Biol. 2006 Jul 21;2(7):e95. doi: 10.1371/journal.pcbi.0020095. Epub 2006 Jun 8.
3
The role of the airline transportation network in the prediction and predictability of global epidemics.
通过链路移除控制网络上随机演化的流行病:方法比较
J Theor Biol. 2015 Apr 21;371:154-65. doi: 10.1016/j.jtbi.2015.02.005. Epub 2015 Feb 16.
4
Suppression of epidemic spreading in complex networks by local information based behavioral responses.基于局部信息的行为反应抑制复杂网络中的疫情传播
Chaos. 2014 Dec;24(4):043106. doi: 10.1063/1.4896333.
5
Critical paths in a metapopulation model of H1N1: Efficiently delaying influenza spreading through flight cancellation.H1N1集合种群模型中的关键路径:通过取消航班有效延缓流感传播
PLoS Curr. 2012 Apr 23;4:e4f8c9a2e1fca8. doi: 10.1371/4f8c9a2e1fca8.
6
Optimal link removal for epidemic mitigation: a two-way partitioning approach.最优链路移除以缓解疫情:一种双向分区方法。
Math Biosci. 2012 Feb;235(2):138-47. doi: 10.1016/j.mbs.2011.11.006. Epub 2011 Nov 16.
航空运输网络在全球流行病预测及可预测性中的作用。
Proc Natl Acad Sci U S A. 2006 Feb 14;103(7):2015-20. doi: 10.1073/pnas.0510525103. Epub 2006 Feb 3.
4
Multiple weak hits confuse complex systems: a transcriptional regulatory network as an example.多个微弱信号会使复杂系统变得混乱:以转录调控网络为例。
Phys Rev E Stat Nonlin Soft Matter Phys. 2005 May;71(5 Pt 1):051909. doi: 10.1103/PhysRevE.71.051909. Epub 2005 May 26.
5
The worldwide air transportation network: Anomalous centrality, community structure, and cities' global roles.全球航空运输网络:异常中心性、社区结构与城市的全球角色。
Proc Natl Acad Sci U S A. 2005 May 31;102(22):7794-9. doi: 10.1073/pnas.0407994102. Epub 2005 May 23.
6
Finding community structure in very large networks.在超大型网络中寻找社区结构。
Phys Rev E Stat Nonlin Soft Matter Phys. 2004 Dec;70(6 Pt 2):066111. doi: 10.1103/PhysRevE.70.066111. Epub 2004 Dec 6.
7
Forecast and control of epidemics in a globalized world.全球化世界中的疫情预测与防控
Proc Natl Acad Sci U S A. 2004 Oct 19;101(42):15124-9. doi: 10.1073/pnas.0308344101. Epub 2004 Oct 11.
8
Edge vulnerability in neural and metabolic networks.神经和代谢网络中的边缘脆弱性。
Biol Cybern. 2004 May;90(5):311-7. doi: 10.1007/s00422-004-0479-1. Epub 2004 May 10.
9
Modeling the Internet's large-scale topology.对互联网大规模拓扑结构进行建模。
Proc Natl Acad Sci U S A. 2002 Oct 15;99(21):13382-6. doi: 10.1073/pnas.172501399. Epub 2002 Oct 4.
10
Attack vulnerability of complex networks.复杂网络的攻击脆弱性。
Phys Rev E Stat Nonlin Soft Matter Phys. 2002 May;65(5 Pt 2):056109. doi: 10.1103/PhysRevE.65.056109. Epub 2002 May 7.