Suppr超能文献

液体摄入增加导致 100 公里超级马拉松运动员脚部肿胀——一项观察性实地研究。

An increased fluid intake leads to feet swelling in 100-km ultra-marathoners - an observational field study.

机构信息

Institute of General Practice and for Health Services Research, University of Zurich, Zurich, Switzerland.

出版信息

J Int Soc Sports Nutr. 2012 Apr 3;9(1):11. doi: 10.1186/1550-2783-9-11.

Abstract

BACKGROUND

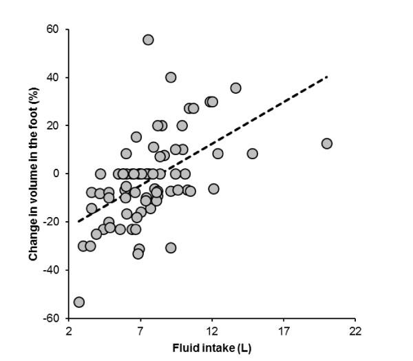
An association between fluid intake and changes in volumes of the upper and lower limb has been described in 100-km ultra-marathoners. The purpose of the present study was (i) to investigate the association between fluid intake and a potential development of peripheral oedemas leading to an increase of the feet volume in 100-km ultra-marathoners and (ii) to evaluate a possible association between the changes in plasma sodium concentration ([Na+]) and changes in feet volume.

METHODS

In seventy-six 100-km ultra-marathoners, body mass, plasma [Na+], haematocrit and urine specific gravity were determined pre- and post-race. Fluid intake and the changes of volume of the feet were measured where the changes of volume of the feet were estimated using plethysmography.

RESULTS

Body mass decreased by 1.8 kg (2.4%) (p < 0.0001); plasma [Na+] increased by 1.2% (p < 0.0001). Haematocrit decreased (p = 0.0005). The volume of the feet remained unchanged (p > 0.05). Plasma volume and urine specific gravity increased (p < 0.0001). Fluid intake was positively related to the change in the volume of the feet (r = 0.54, p < 0.0001) and negatively to post-race plasma [Na+] (r = -0.28, p = 0.0142). Running speed was negatively related to both fluid intake (r = -0.33, p = 0.0036) and the change in feet volume (r = -0.23, p = 0.0236). The change in the volume of the feet was negatively related to the change in plasma [Na+] (r = -0.26, p = 0.0227). The change in body mass was negatively related to both post-race plasma [Na+] (r = -0.28, p = 0.0129) and running speed (r = -0.34, p = 0.0028).

CONCLUSIONS

An increase in feet volume after a 100-km ultra-marathon was due to an increased fluid intake.

摘要

背景

在 100 公里超级马拉松运动员中,已经描述了液体摄入与上下肢体积变化之间的关联。本研究的目的是:(i)研究液体摄入与外周水肿的潜在发展之间的关联,导致 100 公里超级马拉松运动员的脚部体积增加,(ii)评估血浆钠浓度 ([Na+]) 变化与脚部体积变化之间的可能关联。

方法

在 76 名 100 公里超级马拉松运动员中,在比赛前后测定体重、血浆 [Na+]、红细胞压积和尿比重。使用体积描记法测量液体摄入和脚部体积的变化。

结果

体重下降 1.8 公斤(2.4%)(p < 0.0001);血浆 [Na+] 增加 1.2%(p < 0.0001)。红细胞压积下降(p = 0.0005)。脚部体积保持不变(p > 0.05)。血浆体积和尿比重增加(p < 0.0001)。液体摄入与脚部体积变化呈正相关(r = 0.54,p < 0.0001),与赛后血浆 [Na+] 呈负相关(r = -0.28,p = 0.0142)。跑步速度与液体摄入(r = -0.33,p = 0.0036)和脚部体积变化(r = -0.23,p = 0.0236)均呈负相关。脚部体积变化与血浆 [Na+] 变化呈负相关(r = -0.26,p = 0.0227)。体重变化与赛后血浆 [Na+](r = -0.28,p = 0.0129)和跑步速度(r = -0.34,p = 0.0028)均呈负相关。

结论

100 公里超级马拉松赛后脚部体积增加是由于液体摄入增加所致。

https://cdn.ncbi.nlm.nih.gov/pmc/blobs/3692/3366912/07c25d3fd46f/1550-2783-9-11-1.jpg

文献检索

告别复杂PubMed语法,用中文像聊天一样搜索,搜遍4000万医学文献。AI智能推荐,让科研检索更轻松。

立即免费搜索

文件翻译

保留排版,准确专业,支持PDF/Word/PPT等文件格式,支持 12+语言互译。

免费翻译文档

深度研究

AI帮你快速写综述,25分钟生成高质量综述,智能提取关键信息,辅助科研写作。

立即免费体验