Suppr超能文献

一种新草药配方的安全性及其对精子质量影响的初步报告。

Preliminary report on the safety of a new herbal formula and its effect on sperm quality.

机构信息

Catholic Fertility Care Center, Seoul St. Mary's Hospital, The Catholic University of Korea, College of Medicine, Seoul, Korea.

Department of Obstetrics and Gynecology, Seoul St. Mary's Hospital, The Catholic University of Korea, College of Medicine, Seoul, Korea.

出版信息

World J Mens Health. 2013 Dec;31(3):254-61. doi: 10.5534/wjmh.2013.31.3.254. Epub 2013 Dec 24.

Abstract

PURPOSE

Male infertility is a serious problem, and its prevalence has been increasing. Therefore, we investigated the safety of a new herbal formula and its effects on sperm quality.

MATERIALS AND METHODS

An in vitro cytotoxicity test in TM3 Leydig cells was performed to evaluate cell viability after administration of five types of herbs separately and of a new herbal formula containing these five. An in vivo test in male mice was performed to evaluate the influence of the new herbal formula on the reproductive organs and sperm quality. After the 8- and 28-day oral administration of the new herbal formula, the weights of the reproductive organs were measured and the sperm count and motility were evaluated.

RESULTS

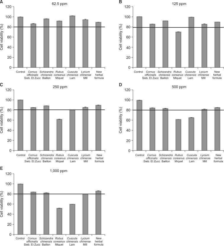
In the in vitro cytotoxicity test, less than 80% cell viability at concentrations of 500 mg/L and 1,000 mg/L of Rubus coreanus Miquel and Cuscuta chinensis Lam was observed. However, more than 80% cell viability was observed at all the tested concentrations of the new herbal formula. After the 8- and 28-day oral administration, there were no considerable changes in body weight. The weights of the testes, epididymis, and seminal vesicles after the 8- and 28-day oral administration were similar to those of the control. The sperm count and activity were significantly improved compared with those of the control group at 8 and 28 days after 100, 200, and 400 mg of oral administration.

CONCLUSIONS

The safety of the new formula and its positive effect on the sperm quality were observed after the oral administration of the formula.

摘要

目的

男性不育是一个严重的问题,其发病率一直在上升。因此,我们研究了一种新的草药配方的安全性及其对精子质量的影响。

材料和方法

在 TM3 莱迪希细胞中进行体外细胞毒性试验,以评估单独给予五种草药和包含这五种草药的新草药配方后的细胞活力。在雄性小鼠中进行体内试验,以评估新草药配方对生殖器官和精子质量的影响。在新草药配方连续口服 8 天和 28 天后,测量生殖器官的重量,并评估精子计数和活力。

结果

在体外细胞毒性试验中,浓度为 500 mg/L 和 1000 mg/L 的悬钩子和菟丝子的细胞活力低于 80%。然而,在所有测试浓度的新草药配方中均观察到超过 80%的细胞活力。在连续口服 8 天和 28 天后,体重没有明显变化。连续口服 8 天和 28 天后,睾丸、附睾和精囊的重量与对照组相似。与对照组相比,口服 100、200 和 400 mg 后 8 天和 28 天,精子计数和活力显著提高。

结论

在口服该配方后,观察到新配方的安全性及其对精子质量的积极影响。

https://cdn.ncbi.nlm.nih.gov/pmc/blobs/bb0f/3888896/6745eb785e96/wjmh-31-254-g001.jpg

文献AI研究员

20分钟写一篇综述,助力文献阅读效率提升50倍。

立即体验

用中文搜PubMed

大模型驱动的PubMed中文搜索引擎

马上搜索

文档翻译

学术文献翻译模型,支持多种主流文档格式。

立即体验