Suppr超能文献

监测珍稀物种:极度濒危的撒哈拉猎豹作为受威胁生态系统的旗舰物种

Monitoring rarity: the critically endangered Saharan cheetah as a flagship species for a threatened ecosystem.

作者信息

Belbachir Farid, Pettorelli Nathalie, Wacher Tim, Belbachir-Bazi Amel, Durant Sarah M

机构信息

Institute of Zoology, Zoological Society of London, London, United Kingdom; Department of Anthropology, University College London, London, United Kingdom; Laboratoire d'Ecologie et Environnement, Université de Béjaïa, Béjaïa, Algeria.

Institute of Zoology, Zoological Society of London, London, United Kingdom.

出版信息

PLoS One. 2015 Jan 28;10(1):e0115136. doi: 10.1371/journal.pone.0115136. eCollection 2015.

Abstract

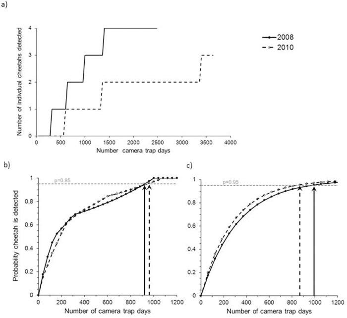
Deserts are particularly vulnerable to human impacts and have already suffered a substantial loss of biodiversity. In harsh and variable desert environments, large herbivores typically occur at low densities, and their large carnivore predators occur at even lower densities. The continued survival of large carnivores is key to healthy functioning desert ecosystems, and the ability to gather reliable information on these rare low density species, including presence, abundance and density, is critical to their monitoring and management. Here we test camera trap methodologies as a monitoring tool for an extremely rare wide-ranging large felid, the critically endangered Saharan cheetah (Acinonyx jubatus hecki). Two camera trapping surveys were carried out over 2-3 months across a 2,551 km2 grid in the Ti-n-hağğen region in the Ahaggar Cultural Park, south central Algeria. A total of 32 records of Saharan cheetah were obtained. We show the behaviour and ecology of the Saharan cheetah is severely constrained by the harsh desert environment, leading them to be more nocturnal, be more wide-ranging, and occur at lower densities relative to cheetah in savannah environments. Density estimates ranged from 0.21-0.55/1,000 km2, some of the lowest large carnivore densities ever recorded in Africa, and average home range size over 2-3 months was estimated at 1,583 km2. We use our results to predict that, in order to detect presence of cheetah with p>0.95 a survey effort of at least 1,000 camera trap days is required. Our study identifies the Ahaggar Cultural Park as a key area for the conservation of the Saharan cheetah. The Saharan cheetah meets the requirements for a charismatic flagship species that can be used to "market" the Saharan landscape at a sufficiently large scale to help reverse the historical neglect of threatened Saharan ecosystems.

摘要

沙漠特别容易受到人类影响,并且已经遭受了生物多样性的大量损失。在恶劣多变的沙漠环境中,大型食草动物的密度通常很低,而它们的大型食肉动物天敌的密度则更低。大型食肉动物的持续生存是沙漠生态系统健康运转的关键,而收集有关这些稀有低密度物种的可靠信息(包括其存在、数量和密度)的能力对于它们的监测和管理至关重要。在此,我们测试了相机陷阱方法作为一种监测工具,用于监测一种极其稀有的、分布广泛的大型猫科动物——极度濒危的撒哈拉猎豹(Acinonyx jubatus hecki)。在阿尔及利亚中南部阿哈加尔文化公园的提恩-哈根地区,我们在一个2551平方公里的网格上进行了为期2至3个月的两次相机陷阱调查。总共获得了32次撒哈拉猎豹的记录。我们发现,撒哈拉猎豹的行为和生态受到恶劣沙漠环境的严重限制,这使得它们更倾向于夜间活动,活动范围更广,并且相对于草原环境中的猎豹,其密度更低。密度估计范围为每1000平方公里0.21至0.55只,这是非洲有记录以来一些最低的大型食肉动物密度,并且估计在2至3个月内的平均家域面积为1583平方公里。我们利用研究结果预测,为了以p>0.95的概率检测到猎豹的存在,至少需要1000个相机陷阱日的调查工作量。我们的研究确定阿哈加尔文化公园是保护撒哈拉猎豹的关键区域。撒哈拉猎豹符合魅力型旗舰物种的要求,可用于在足够大的规模上“推销”撒哈拉景观,以帮助扭转历史上对受威胁的撒哈拉生态系统的忽视。

https://cdn.ncbi.nlm.nih.gov/pmc/blobs/607f/4309643/69f91889c96e/pone.0115136.g001.jpg

文献检索

告别复杂PubMed语法,用中文像聊天一样搜索,搜遍4000万医学文献。AI智能推荐,让科研检索更轻松。

立即免费搜索

文件翻译

保留排版,准确专业,支持PDF/Word/PPT等文件格式,支持 12+语言互译。

免费翻译文档

深度研究

AI帮你快速写综述,25分钟生成高质量综述,智能提取关键信息,辅助科研写作。

立即免费体验