Suppr超能文献

一种针对心脏动作电位动力学对起搏器行为具有鲁棒性的双变量模型。

A two-variable model robust to pacemaker behaviour for the dynamics of the cardiac action potential.

作者信息

Corrado Cesare, Niederer Steven A

机构信息

Division of Imaging Sciences & Biomedical Engineering, King's College London, London SE17EH, United Kingdom.

出版信息

Math Biosci. 2016 Nov;281:46-54. doi: 10.1016/j.mbs.2016.08.010. Epub 2016 Aug 31.

Abstract

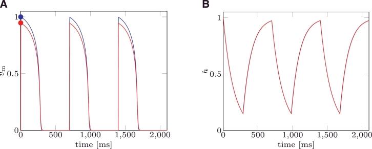
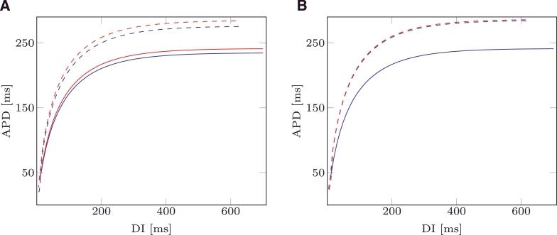
Ionic models with two state variables are routinely used in patient specific electro-physiology simulations due to the small number of parameters to be constrained and their computational tractability. Among these models, the Mitchell and Schaeffer (MS) action potential model is often used in ventricle electro-physiology due to its ability to reproduce the shape of the action potential and its restitution properties. However, for some choices of parameters characterising this ionic model, unwanted pacemaker behaviour is present. The absence of any a priori criterion to exclude unstable parameter combinations affects parameter fitting algorithms, as unphysiological solutions can only be discarded a posteriori. In this paper we propose an adaptation of the MS model that does not exhibit pacemaker behaviour for any combination of the parameters. The robustness to pacemaker behaviour makes this model suitable for inverse problem applications.

摘要

具有两个状态变量的离子模型由于需要约束的参数数量少且计算易处理,因此经常用于患者特定的电生理模拟。在这些模型中,米切尔和谢弗(MS)动作电位模型因其能够再现动作电位的形状及其恢复特性,常被用于心室电生理研究。然而,对于表征该离子模型的某些参数选择,会出现不必要的起搏器行为。由于缺乏排除不稳定参数组合的任何先验标准,这会影响参数拟合算法,因为只有在事后才能舍弃不符合生理的解。在本文中,我们提出了一种对MS模型的改进,该改进模型对于任何参数组合都不会表现出起搏器行为。对起搏器行为的鲁棒性使得该模型适用于反问题应用。

https://cdn.ncbi.nlm.nih.gov/pmc/blobs/17f8/5082966/26b15bff26b5/gr1.jpg

文献检索

告别复杂PubMed语法,用中文像聊天一样搜索,搜遍4000万医学文献。AI智能推荐,让科研检索更轻松。

立即免费搜索

文件翻译

保留排版,准确专业,支持PDF/Word/PPT等文件格式,支持 12+语言互译。

免费翻译文档

深度研究

AI帮你快速写综述,25分钟生成高质量综述,智能提取关键信息,辅助科研写作。

立即免费体验