Suppr超能文献

口罩、政策、行为对美国早期新冠疫情的因果影响

Causal impact of masks, policies, behavior on early covid-19 pandemic in the U.S.

作者信息

Chernozhukov Victor, Kasahara Hiroyuki, Schrimpf Paul

机构信息

Department of Economics and Center for Statistics and Data Science, MIT, MA 02139, United States of America.

Vancouver School of Economics, UBC, 6000 Iona Drive, Vancouver, BC, Canada.

出版信息

J Econom. 2021 Jan;220(1):23-62. doi: 10.1016/j.jeconom.2020.09.003. Epub 2020 Oct 17.

Abstract

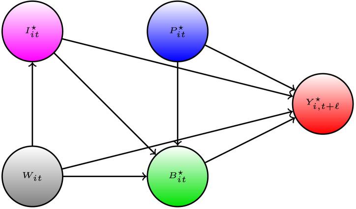
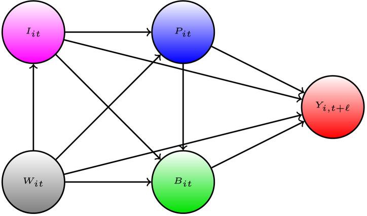
The paper evaluates the dynamic impact of various policies adopted by US states on the growth rates of confirmed Covid-19 cases and deaths as well as social distancing behavior measured by Google Mobility Reports, where we take into consideration people's voluntarily behavioral response to new information of transmission risks in a causal structural model framework. Our analysis finds that both policies and information on transmission risks are important determinants of Covid-19 cases and deaths and shows that a change in policies explains a large fraction of observed changes in social distancing behavior. Our main counterfactual experiments suggest that nationally mandating face masks for employees early in the pandemic could have reduced the weekly growth rate of cases and deaths by more than 10 percentage points in late April and could have led to as much as 19 to 47 percent less deaths nationally by the end of May, which roughly translates into 19 to 47 thousand saved lives. We also find that, without stay-at-home orders, cases would have been larger by 6 to 63 percent and without business closures, cases would have been larger by 17 to 78 percent. We find considerable uncertainty over the effects of school closures due to lack of cross-sectional variation; we could not robustly rule out either large or small effects. Overall, substantial declines in growth rates are attributable to private behavioral response, but policies played an important role as well. We also carry out sensitivity analyses to find neighborhoods of the models under which the results hold robustly: the results on mask policies appear to be much more robust than the results on business closures and stay-at-home orders. Finally, we stress that our study is observational and therefore should be interpreted with great caution. From a completely agnostic point of view, our findings uncover predictive effects (association) of observed policies and behavioral changes on future health outcomes, controlling for informational and other confounding variables.

摘要

本文评估了美国各州采取的各种政策对新冠确诊病例和死亡增长率的动态影响,以及谷歌移动报告所衡量的社会 distancing行为,在此过程中,我们在因果结构模型框架内考虑了人们对传播风险新信息的自愿行为反应。我们的分析发现,政策和传播风险信息都是新冠病例和死亡的重要决定因素,并表明政策变化解释了观察到的社会 distancing行为变化的很大一部分。我们的主要反事实实验表明,在疫情早期全国强制要求员工佩戴口罩,可能会使4月下旬病例和死亡的周增长率降低10多个百分点,并可能使到5月底全国死亡人数减少19%至47%,这大致相当于挽救了1.9万至4.7万人的生命。我们还发现,如果没有居家令,病例数会增加6%至63%,如果没有企业关闭措施,病例数会增加17%至78%。由于缺乏横截面变化,我们发现学校关闭的影响存在很大不确定性;我们无法有力地排除其影响是大还是小。总体而言,增长率的大幅下降归因于私人行为反应,但政策也起到了重要作用。我们还进行了敏感性分析,以找到模型结果稳健成立的邻域:口罩政策的结果似乎比企业关闭措施和居家令的结果更稳健。最后,我们强调我们的研究是观察性的,因此应极其谨慎地进行解释。从完全不可知的角度来看,我们的研究结果揭示了观察到的政策和行为变化对未来健康结果的预测作用(关联),同时控制了信息和其他混杂变量。

https://cdn.ncbi.nlm.nih.gov/pmc/blobs/c7f4/7568194/a5d0c923c5b4/gr1_lrg.jpg

文献检索

告别复杂PubMed语法,用中文像聊天一样搜索,搜遍4000万医学文献。AI智能推荐,让科研检索更轻松。

立即免费搜索

文件翻译

保留排版,准确专业,支持PDF/Word/PPT等文件格式,支持 12+语言互译。

免费翻译文档

深度研究

AI帮你快速写综述,25分钟生成高质量综述,智能提取关键信息,辅助科研写作。

立即免费体验