• 文献检索
  • 文档翻译
  • 深度研究
  • 学术资讯
  • Suppr Zotero 插件Zotero 插件
  • 邀请有礼
  • 套餐&价格
  • 历史记录
应用&插件
Suppr Zotero 插件Zotero 插件浏览器插件Mac 客户端Windows 客户端微信小程序
定价
高级版会员购买积分包购买API积分包
服务
文献检索文档翻译深度研究API 文档MCP 服务
关于我们
关于 Suppr公司介绍联系我们用户协议隐私条款
关注我们

Suppr 超能文献

核心技术专利:CN118964589B侵权必究
粤ICP备2023148730 号-1Suppr @ 2026

文献检索

告别复杂PubMed语法,用中文像聊天一样搜索,搜遍4000万医学文献。AI智能推荐,让科研检索更轻松。

立即免费搜索

文件翻译

保留排版,准确专业,支持PDF/Word/PPT等文件格式,支持 12+语言互译。

免费翻译文档

深度研究

AI帮你快速写综述,25分钟生成高质量综述,智能提取关键信息,辅助科研写作。

立即免费体验

中国农村成年人植物性饮食与 2 型糖尿病的关联:河南农村队列研究。

Association of plant-based diet and type 2 diabetes mellitus in Chinese rural adults: The Henan Rural Cohort Study.

机构信息

Department of Epidemiology and Health Statistics, College of Public Health, Zhengzhou University, Zhengzhou, China.

Department of Clinical Pharmacology, School of Pharmaceutical Science, Zhengzhou University, Zhengzhou, China.

出版信息

J Diabetes Investig. 2021 Sep;12(9):1569-1576. doi: 10.1111/jdi.13522. Epub 2021 Mar 2.

DOI:10.1111/jdi.13522
PMID:33559976
原文链接:https://pmc.ncbi.nlm.nih.gov/articles/PMC8409831/
Abstract

AIMS/INTRODUCTION: Studies have found that a plant-based diet was associated with a lower risk of type 2 diabetes, but evidence is scarce on such associations in China. The aim of this study was to investigate whether a plant-based diet is related to a lower risk of type 2 diabetes among Chinese adults.

MATERIALS AND METHODS

A total of 37,985 participants were enrolled from the Henan Rural Cohort Study. An overall plant-based diet index (PDI) was created by assigning positive and reverse scores to 12 commonly consumed food groups. Multivariate logistic regression models and restricted cubic spline analysis were performed to estimate the odds ratio (OR) and 95% confidence interval (95% CI).

RESULTS

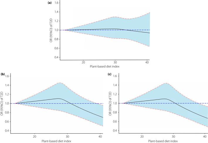
After multivariable adjustment, the risk of type 2 diabetes was inversely associated with the PDI (extreme-quartile OR = 0.88, 95% CI: 0.79-0.98; P = 0.027), the risk associated with a 1 standard deviation (SD) increase in PDI was 4% lower (95% CI, 0.93-1.00; P   = 0.043) for type 2 diabetes. Moreover, the odds of type 2 diabetes was decreased with an increment of PDI after fitting restricted cubic splines (P  < 0.01).

CONCLUSIONS

Among Chinese populations, diets higher in plant foods and lower in animal foods were associated with a reduced risk of type 2 diabetes.

摘要

目的/引言:研究发现,植物性饮食与 2 型糖尿病的风险降低有关,但在中国,关于这种关联的证据很少。本研究旨在调查植物性饮食是否与中国成年人 2 型糖尿病的风险降低有关。

材料和方法

共纳入 37985 名来自河南农村队列研究的参与者。通过给 12 种常见食用食物组分配正分和负分,创建了一个整体植物性饮食指数(PDI)。使用多变量逻辑回归模型和限制三次样条分析来估计比值比(OR)和 95%置信区间(95%CI)。

结果

经过多变量调整后,2 型糖尿病的发病风险与 PDI 呈负相关(极端四分位 OR=0.88,95%CI:0.79-0.98;P=0.027),PDI 每增加 1 个标准差(SD),2 型糖尿病的风险降低 4%(95%CI,0.93-1.00;P=0.043)。此外,在拟合限制三次样条后,PDI 的增加与 2 型糖尿病的几率降低相关(P<0.01)。

结论

在中国人群中,植物性食物摄入较高、动物性食物摄入较低的饮食与 2 型糖尿病风险降低有关。

https://cdn.ncbi.nlm.nih.gov/pmc/blobs/40b5/8409831/518b726be2fc/JDI-12-1569-g002.jpg
https://cdn.ncbi.nlm.nih.gov/pmc/blobs/40b5/8409831/af5d8beb77ad/JDI-12-1569-g001.jpg
https://cdn.ncbi.nlm.nih.gov/pmc/blobs/40b5/8409831/518b726be2fc/JDI-12-1569-g002.jpg
https://cdn.ncbi.nlm.nih.gov/pmc/blobs/40b5/8409831/af5d8beb77ad/JDI-12-1569-g001.jpg
https://cdn.ncbi.nlm.nih.gov/pmc/blobs/40b5/8409831/518b726be2fc/JDI-12-1569-g002.jpg

相似文献

1
Association of plant-based diet and type 2 diabetes mellitus in Chinese rural adults: The Henan Rural Cohort Study.中国农村成年人植物性饮食与 2 型糖尿病的关联:河南农村队列研究。
J Diabetes Investig. 2021 Sep;12(9):1569-1576. doi: 10.1111/jdi.13522. Epub 2021 Mar 2.
2
Association of low-carbohydrate diet scores and type 2 diabetes in Chinese rural adults: The Henan Rural Cohort Study.中国农村成年人低碳水化合物饮食评分与2型糖尿病的关联:河南农村队列研究
Endocrine. 2024 May;84(2):459-469. doi: 10.1007/s12020-023-03602-5. Epub 2024 Feb 7.
3
Plant-Based Dietary Patterns and Incidence of Type 2 Diabetes in US Men and Women: Results from Three Prospective Cohort Studies.植物性饮食模式与美国男性和女性2型糖尿病的发病率:三项前瞻性队列研究的结果
PLoS Med. 2016 Jun 14;13(6):e1002039. doi: 10.1371/journal.pmed.1002039. eCollection 2016 Jun.
4
Higher Adherence to Plant-Based Diet Lowers Type 2 Diabetes Risk among High and Non-High Cardiovascular Risk Populations: A Cross-Sectional Study in Shanxi, China.高植物性饮食依从性可降低高低心血管风险人群 2 型糖尿病风险:中国山西的一项横断面研究。
Nutrients. 2023 Feb 3;15(3):786. doi: 10.3390/nu15030786.
5
The overall plant-based diet index during pregnancy and risk of gestational diabetes mellitus: a prospective cohort study in China.孕期总体植物性饮食指数与妊娠期糖尿病发病风险的前瞻性队列研究:来自中国的研究。
Br J Nutr. 2021 Nov 28;126(10):1519-1528. doi: 10.1017/S0007114521000234. Epub 2021 Jan 20.
6
[Dietary Patterns and Their Association with Diabetes Mellitus in Middle-Aged and Older Rural Population in Xinxiang County, Henan Province].[河南省新乡县中老年农村人口的饮食模式及其与糖尿病的关联]
Sichuan Da Xue Xue Bao Yi Xue Ban. 2021 Jul;52(4):662-670. doi: 10.12182/20210760106.
7
Plasma metabolite profiles related to plant-based diets and the risk of type 2 diabetes.与植物性饮食相关的血浆代谢物谱与 2 型糖尿病风险的关系。
Diabetologia. 2022 Jul;65(7):1119-1132. doi: 10.1007/s00125-022-05692-8. Epub 2022 Apr 8.
8
Mineralocorticoids, glucose homeostasis and type 2 diabetes mellitus: The Henan Rural Cohort study.醛固酮、糖稳态与 2 型糖尿病:河南农村队列研究。
J Diabetes Complications. 2020 May;34(5):107558. doi: 10.1016/j.jdiacomp.2020.107558. Epub 2020 Feb 8.
9
The association between frequency of away-from home meals and type 2 diabetes mellitus in rural Chinese adults: the Henan Rural Cohort Study.中国农村成年人中外出就餐频率与 2 型糖尿病的关系:河南农村队列研究。
Eur J Nutr. 2020 Dec;59(8):3815-3825. doi: 10.1007/s00394-020-02212-5. Epub 2020 Mar 19.
10
Consumption of Dairy Products in Relation to Type 2 Diabetes Mellitus in Chinese People: The Henan Rural Cohort Study and an Updated Meta-Analysis.乳制品摄入与中国人 2 型糖尿病的关系:河南农村队列研究和更新的荟萃分析。
Nutrients. 2020 Dec 15;12(12):3827. doi: 10.3390/nu12123827.

引用本文的文献

1
Plant-Based Diet Indices with Greenhouse Gas Emissions and Risk of Cardiometabolic Diseases and All-Cause Mortality: Longitudinal China Cohort Study.基于植物性饮食指数与温室气体排放、心血管代谢疾病风险及全因死亡率:中国纵向队列研究
Nutrients. 2025 Mar 26;17(7):1152. doi: 10.3390/nu17071152.
2
Plant-Based Food for the Prevention of Type 2 Diabetes: Scoping Review.植物性食物预防 2 型糖尿病:范围综述。
Nutrients. 2024 May 29;16(11):1671. doi: 10.3390/nu16111671.
3
A plant-based diet index to study the relation between diet and disease risk among adults: a narrative review.

本文引用的文献

1
Dietary Protein Consumption and the Risk of Type 2 Diabetes: ADose-Response Meta-Analysis of Prospective Studies.饮食蛋白质摄入与 2 型糖尿病风险:前瞻性研究的剂量-反应荟萃分析。
Nutrients. 2019 Nov 15;11(11):2783. doi: 10.3390/nu11112783.
2
Global and regional diabetes prevalence estimates for 2019 and projections for 2030 and 2045: Results from the International Diabetes Federation Diabetes Atlas, 9 edition.2019 年全球及各区域糖尿病患病率估算值及 2030 年和 2045 年预测值:国际糖尿病联盟糖尿病地图集(第 9 版)的结果。
Diabetes Res Clin Pract. 2019 Nov;157:107843. doi: 10.1016/j.diabres.2019.107843. Epub 2019 Sep 10.
3
基于植物的饮食指数用于研究成年人饮食与疾病风险之间的关系:叙述性综述。
J Nutr Health Aging. 2024 Jun;28(6):100272. doi: 10.1016/j.jnha.2024.100272. Epub 2024 May 29.
4
Association between plant-based diets and the risk of coronary heart disease predicted using the Framingham Risk Score in Korean men: data from the HEXA cohort study.基于弗雷明汉风险评分的韩国男性植物性饮食与冠心病风险的相关性:HEXA 队列研究的数据。
Epidemiol Health. 2024;46:e2024035. doi: 10.4178/epih.e2024035. Epub 2024 Feb 28.
5
Association of plant-based dietary patterns with the risk of type 2 diabetes mellitus using cross-sectional results from RaNCD cohort.基于横断面 RaNCD 队列研究的植物性饮食模式与 2 型糖尿病风险的关系。
Sci Rep. 2024 Feb 15;14(1):3814. doi: 10.1038/s41598-024-52946-z.
6
Plant-Based Nutrition: Exploring Health Benefits for Atherosclerosis, Chronic Diseases, and Metabolic Syndrome-A Comprehensive Review.植物性营养:探索对动脉粥样硬化、慢性病和代谢综合征的健康益处——综合综述。
Nutrients. 2023 Jul 21;15(14):3244. doi: 10.3390/nu15143244.
7
Diet and exercise are a fundamental part of comprehensive care for type 2 diabetes.饮食和运动是2型糖尿病综合治疗的基本组成部分。
J Diabetes Investig. 2023 Aug;14(8):936-939. doi: 10.1111/jdi.14043. Epub 2023 Jun 20.
8
A scoping review of approaches used to develop plant-based diet quality indices.关于用于制定植物性饮食质量指数的方法的范围综述。
Curr Dev Nutr. 2023 Feb 28;7(4):100061. doi: 10.1016/j.cdnut.2023.100061. eCollection 2023 Apr.
9
Associations of healthful and unhealthful plant-based diets with plasma markers of cardiometabolic risk.植物性饮食与心血管代谢风险的血浆标志物的关联。
Eur J Nutr. 2023 Sep;62(6):2567-2579. doi: 10.1007/s00394-023-03170-4. Epub 2023 May 18.
10
Higher Adherence to Plant-Based Diet Lowers Type 2 Diabetes Risk among High and Non-High Cardiovascular Risk Populations: A Cross-Sectional Study in Shanxi, China.高植物性饮食依从性可降低高低心血管风险人群 2 型糖尿病风险:中国山西的一项横断面研究。
Nutrients. 2023 Feb 3;15(3):786. doi: 10.3390/nu15030786.
Reproducibility and validity of an FFQ in the Henan Rural Cohort Study.
在河南农村队列研究中,FFQ 的可重复性和有效性。
Public Health Nutr. 2020 Jan;23(1):34-40. doi: 10.1017/S1368980019002416. Epub 2019 Sep 2.
4
Plant-Based Diets Are Associated With a Lower Risk of Incident Cardiovascular Disease, Cardiovascular Disease Mortality, and All-Cause Mortality in a General Population of Middle-Aged Adults.植物性饮食与中年人群中心血管疾病的发病风险、心血管疾病死亡率和全因死亡率的降低相关。
J Am Heart Assoc. 2019 Aug 20;8(16):e012865. doi: 10.1161/JAHA.119.012865. Epub 2019 Aug 7.
5
Association Between Plant-Based Dietary Patterns and Risk of Type 2 Diabetes: A Systematic Review and Meta-analysis.植物性饮食模式与2型糖尿病风险之间的关联:一项系统评价和荟萃分析。
JAMA Intern Med. 2019 Oct 1;179(10):1335-1344. doi: 10.1001/jamainternmed.2019.2195.
6
Polyunsaturated Fatty Acids and Glycemic Control in Type 2 Diabetes.多不饱和脂肪酸与 2 型糖尿病患者的血糖控制
Nutrients. 2019 May 14;11(5):1067. doi: 10.3390/nu11051067.
7
A Global Review of Food-Based Dietary Guidelines.全球食物膳食指南综述。
Adv Nutr. 2019 Jul 1;10(4):590-605. doi: 10.1093/advances/nmy130.
8
Dietary protein intake and subsequent risk of type 2 diabetes: a dose-response meta-analysis of prospective cohort studies.饮食蛋白质摄入量与 2 型糖尿病风险的关系:前瞻性队列研究的剂量反应荟萃分析。
Acta Diabetol. 2019 Aug;56(8):851-870. doi: 10.1007/s00592-019-01320-x. Epub 2019 Mar 30.
9
Cohort Profile: The Henan Rural Cohort: a prospective study of chronic non-communicable diseases.队列简介:河南农村队列:一项慢性非传染性疾病的前瞻性研究。
Int J Epidemiol. 2019 Dec 1;48(6):1756-1756j. doi: 10.1093/ije/dyz039.
10
Egg consumption is associated with a lower risk of type 2 diabetes in middle-aged and older men.中年及老年男性食用鸡蛋与患2型糖尿病的风险较低有关。
Nutr Res Pract. 2018 Oct;12(5):396-405. doi: 10.4162/nrp.2018.12.5.396. Epub 2018 Jul 20.