Suppr超能文献

基于指标正则化非负矩阵分解方法的 COVID-19 药物再利用。

Indicator Regularized Non-Negative Matrix Factorization Method-Based Drug Repurposing for COVID-19.

机构信息

College of Information Science and Engineering, Hunan University, Changsha, China.

Department of Science, Geneis Beijing Co., Ltd., Beijing, China.

出版信息

Front Immunol. 2021 Jan 29;11:603615. doi: 10.3389/fimmu.2020.603615. eCollection 2020.

Abstract

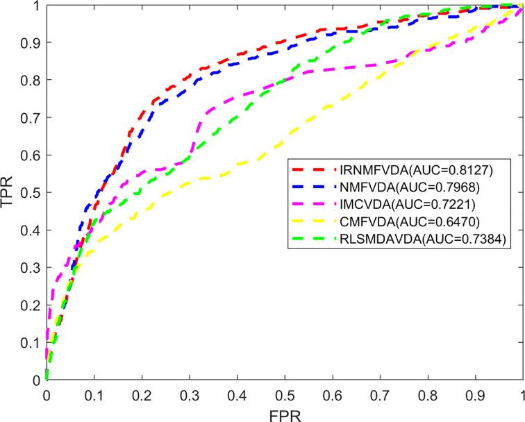
A novel coronavirus, named COVID-19, has become one of the most prevalent and severe infectious diseases in human history. Currently, there are only very few vaccines and therapeutic drugs against COVID-19, and their efficacies are yet to be tested. Drug repurposing aims to explore new applications of approved drugs, which can significantly reduce time and cost compared with drug discovery. In this study, we built a virus-drug dataset, which included 34 viruses, 210 drugs, and 437 confirmed related virus-drug pairs from existing literature. Besides, we developed an Indicator Regularized non-negative Matrix Factorization (IRNMF) method, which introduced the indicator matrix and Karush-Kuhn-Tucker condition into the non-negative matrix factorization algorithm. According to the 5-fold cross-validation on the virus-drug dataset, the performance of IRNMF was better than other methods, and its Area Under receiver operating characteristic Curve (AUC) value was 0.8127. Additionally, we analyzed the case on COVID-19 infection, and our results suggested that the IRNMF algorithm could prioritize unknown virus-drug associations.

摘要

一种新型冠状病毒,命名为 COVID-19,已成为人类历史上最流行和最严重的传染病之一。目前,针对 COVID-19 的疫苗和治疗药物非常有限,其疗效仍有待检验。药物再利用旨在探索已批准药物的新用途,与药物发现相比,这可以显著缩短时间和降低成本。在这项研究中,我们构建了一个病毒-药物数据集,其中包括来自现有文献的 34 种病毒、210 种药物和 437 对已确认的相关病毒-药物对。此外,我们开发了一种指示正则化非负矩阵分解(IRNMF)方法,该方法将指示矩阵和 Karush-Kuhn-Tucker 条件引入非负矩阵分解算法中。根据病毒-药物数据集的 5 折交叉验证,IRNMF 的性能优于其他方法,其接收器操作特性曲线(AUC)值为 0.8127。此外,我们分析了 COVID-19 感染的案例,结果表明,IRNMF 算法可以优先考虑未知的病毒-药物关联。

https://cdn.ncbi.nlm.nih.gov/pmc/blobs/389c/7878370/3649cf6aae6e/fimmu-11-603615-g001.jpg

文献检索

告别复杂PubMed语法,用中文像聊天一样搜索,搜遍4000万医学文献。AI智能推荐,让科研检索更轻松。

立即免费搜索

文件翻译

保留排版,准确专业,支持PDF/Word/PPT等文件格式,支持 12+语言互译。

免费翻译文档

深度研究

AI帮你快速写综述,25分钟生成高质量综述,智能提取关键信息,辅助科研写作。

立即免费体验